Тесты онлайн, бесплатный конструктор тестов. Психологические тестирования, тесты на проверку знаний.
Список вопросов базы знанийФизика.
Вопрос id:1824404 Период колебаний груза массой m на двух пружинах жесткостью k, соединенных последовательно, равен
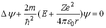
![]() ?) `4 π sqrt(m/k) ` ?) `pi sqrt(m/k) ` ?) `2 π sqrt(m/(2 k)) ` ?) `2 π sqrt(2 m/k) ` Вопрос id:1824405 При сложении двух одинаково направленных колебаний `х=а cos w t ` и
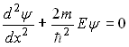
`x=a cos(w t + π/2) ` результирующее колебание подчиняется закону ?) `x=2 a cos(w t + π/4) ` ?) `x=2 a cos(w t - π/4) ` ?) `x=sqrt(2)a cos(ω t + π/4) ` ?) `x=a^2 sin w t ` Вопрос id:1824406 Гармонические колебания происходят по закону ?) только синуса ?) синуса или косинуса ?) котангенса ?) тангенса Вопрос id:1824407 Если обозначено – масса тела, колеблющегося на пружине, – жесткость пружины, то период колебаний пружинного маятника равен?) ![]() ?) ![]() ?) ![]() ?) ![]() Вопрос id:1824408 Если частота колебаний 50 Гц, то период колебаний равен ?) 50 c ?) 20 мc ?) 0,25 c ?) 125 мс Вопрос id:1824409 За 5 секунд маятник совершает 10 колебаний. Период колебаний равен ?) 0,5 с ?) 5 с ?) 50 с ?) 2 с Вопрос id:1824410 За 6 секунд маятник совершает 12 колебаний. Частота колебаний равна ?) 6 Гц ?) 2 Гц ?) 72 Гц ?) 0,5 Гц Вопрос id:1824411 Из предложенных колебаний свободными являются ?) шарика, подвешенного на нити ?) листьев на деревьях во время ветра ?) биения сердца ?) тела на пружине ?) струны после того, как ее выведут из положения равновесия и предоставят самой себе ?) поршня в цилиндре двигателя ?) качелей Вопрос id:1824412 Координата колеблющегося тела изменяется по закону х = 5cospt (м). Все величины выражены в единицах СИ. Период колебаний равен ?) 1/2 с ?) 4 с ?) 2 с ?) 1/4 с Вопрос id:1824413 Логарифмический декремент затухания тела, колеблющегося с частотой 50 Гц, равен 0,01. Определите время, за которое амплитуда колебаний уменьшиться в 20 ?) 6 с ?) раз. ?) 10 с ?) 3 с Вопрос id:1824414 Материальная точка совершает гармонические колебания с амплитудой А = 4 см и периодом Т = 2 с. Написать уравнение движения точки, если ее движение начинается из положения х0 = 2 см. ?) x(t) = 0,04 cos(πt +π/3) ?) x(t) = 0,04 cos(π/3t +π/3) ?) x(t) = 0,01 cos(π +π/2) ?) x(t) = 0,01 cos(π +π/3) Вопрос id:1824415 Начальной фазой гармонических колебаний х(t) = Асоs(wt + j0) называется величина ?) А ?) w·t + j0 ?) j0 ?) w Вопрос id:1824416 Период колебаний груза на пружине при увеличении жесткости пружины в 4 раза ?) увеличится в 4 раза ?) уменьшится в 2 раза ?) увеличится в 2 раза ?) уменьшится в 4 раза Вопрос id:1824417 Период колебаний груза на пружине при увеличении массы груза в 4 раза ?) увеличится в 2 раза ?) уменьшится в 2 раза ?) увеличится в 4 раза ?) уменьшится в 4 раза Вопрос id:1824418 Уравнение гармонических колебаний имеет вид: `x=0.2 sin(10 π t + π/2) ` . Амплитуда колебаний равна ?) 0,2 м ?) 5π м ?) 0,02 м ?) 10π м Вопрос id:1824419 Фазой гармонических колебаний х(t) = Аcos(wt + j0) называется величина ?) w ?) w·t + j0 ?) j0 ?) А Вопрос id:1824420 В единицах постоянной Планка спин фотона равен ...?) 3/2 ?) 1 ?) 0 ?) 1/2 Вопрос id:1824421 В единицах постоянной Планка спин электрона равен?) 1 ?) 1/2 ?) 0 ?) 3/2 Вопрос id:1824422 Вероятность обнаружить электрон на участке (a,b) одномерного потенциального ящика с бесконечно высокими стенками вычисляется по формуле , где ![]() ?) `1/2 ` ?) `1/3 ` ?) `2/3 ` ?) `5/6 ` Вопрос id:1824423 Вероятность обнаружить электрон на участке (a,b) одномерного потенциального ящика с бесконечно высокими стенками вычисляется по формуле , где - плотность вероятности, определяемая -функцией. Если -функция имеет вид, указанный на рисунке, то вероятность обнаружить электрон на участке равна ![]() ?) ![]() ?) ![]() ?) ![]() ?) ![]() Вопрос id:1824424 Вероятность обнаружить электрон на участке (a,b) одномерного потенциального ящика с бесконечно высокими стенками вычисляется по формуле , где - плотность вероятности, определяемая -функцией. Если -функция имеет вид, указанный на рисунке, то вероятность обнаружить электрон на участке равна ![]() ?) ![]() ?) ![]() ?) ![]() ?) ![]() Вопрос id:1824425 Вероятность обнаружить электрон на участке (a,b) одномерного потенциального ящика с бесконечно высокими стенками вычисляется по формуле , где - плотность вероятности, определяемая -функцией. Если -функция имеет вид, указанный на рисунке, то вероятность обнаружить электрон на участке равна ![]() ?) ![]() ?) ![]() ?) ![]() ?) ![]() Вопрос id:1824426 Время жизни атома в возбужденном состоянии 10 нс. Учитывая, что постоянная Планка , ширина энергетического уровня (в эВ) составляет не менее?) ![]() ?) ![]() ?) ![]() ?) ![]() Вопрос id:1824427 Групповая скорость волны де Бройля ?) равна скорости частицы ?) зависит от квадрата длины волны ?) равна скорости света в вакууме ?) не имеет смысла как физическая величина ?) больше скорости света в вакууме Вопрос id:1824428 Давление света зависит от ?) степени поляризованности света ?) показателя преломления вещества, на которое падает свет ?) энергии фотона ?) скорости света в среде Вопрос id:1824429 Два источника излучают свет с длиной волны 375 нм и 750 нм. Отношение импульсов фотонов, излучаемых первым и вторым источником равно ?) 4 ?) 1/2 ?) 1/4 ?) 2 Вопрос id:1824430 Если зеркальную пластинку, на которую падает свет, заменить на зачерненную той же площади, то световое давление ?) увеличится в 2 раза ?) уменьшится 2 раза ?) останется неизменным Вопрос id:1824431 Если частицы имеют одинаковую длину волны де Бройля, то наибольшей скоростью обладает ?) нейтрон ?) -частица?) протон ?) позитрон Вопрос id:1824432 Если частицы имеют одинаковую скорость, то наименьшей длиной волны де Бройля обладает ?) нейтрон ?) -частица?) электрон ?) протон Вопрос id:1824433 Зависимость показателя преломления n вещества от длины световой волны l при нормальной дисперсии отражена на рисунке ?) ![]() ?) ![]() ?) ![]() Вопрос id:1824434 Задана пси-функция частицы. Вероятность того, что частица будет обнаружена в объёме V определяется выражением?) ![]() ?) ![]() ?) ![]() ?) ![]() Вопрос id:1824435 Квадрат модуля волновой функции , входящей в уравнение Шрёдингера, равен?) энергии частицы в соответствующем месте пространства ?) плотности вероятности обнаружения частицы в соответствующем месте пространства ?) импульсу частицы в соответствующем месте пространства Вопрос id:1824436 Кинетическая энергия классической частицы увеличилась в 2 раза. Длина волны де Бройля этой частицы ?) увеличилась в раз?) увеличилась в 2 раза ?) уменьшилась в раз?) уменьшилась в два раза ?) не изменилась Вопрос id:1824437 Когерентные волны с начальными фазами `φ_1 и φ_2 ` и разностью хода `/_\ ` при наложении максимально ослабляются при выполнении условия ( к=0, 1, 2 ) ?) `/_\ kappa λ ` ?) `/_\=lambda/4 ` ?) `/_\=(2 κ + 1)λ //2 ` ?) `φ_1 - φ_2 =2 κ π ` Вопрос id:1824438 Когерентными называются волны, которые имеют ?) одинаковые амплитуды и фазы ?) одинаковые интенсивности ?) разные длины волн, но одинаковые фазы ?) одинаковую поляризованность и постоянную разность фаз Вопрос id:1824439 Магнитное квантовое число m определяет ?) проекцию орбитального момента импульса электрона на заданное направление ?) собственный механический момент электрона в атоме ?) энергию стационарного состояния электрона в атоме ?) орбитальный механический момент электрона в атоме Вопрос id:1824440 На диэлектрическое зеркало под углом Брюстера падает луч естественного света. Для отраженного и преломленного луча справедливы утверждения ... ?) отраженный луч поляризован частично ?) отраженный луч полностью поляризован ?) преломленный луч полностью поляризован ?) оба луча не поляризованы Вопрос id:1824441 На зеркальную пластинку падает поток света. Если объемную плотность энергии падающего излучения уменьшить в 2 раза, а площадь пластинки увеличить в 2 раза, то световое давление ?) останется неизменным ?) уменьшится в 4 раза ?) увеличится в 4 раза ?) уменьшится в 2 раза Вопрос id:1824442 На зеркальную пластинку падает поток света. Если число фотонов, падающих на единицу поверхности в единицу времени, уменьшить в 2 раза, а зеркальную пластинку заменить черной, то световое давление ?) уменьшится в 2 раза ?) уменьшится в 4 раза ?) останется неизменным ?) увеличится в 2 раза Вопрос id:1824445 На пути естественного света помещены две пластинки турмалина. После прохождения пластинки 1 свет полностью поляризован. Если J1 и J2 - интенсивности света, прошедшего пластинки 1 и 2 соответственно, и J2= 0, то угол между направлениями OO и O’O’ равен ![]() ?) 0° ?) 60° ?) 30° ?) 90° Вопрос id:1824446 На рисунках приведены картины распределения плотности вероятности нахождения микрочастицы в потенциальной яме с бесконечно высокими стенками. Состоянию с квантовым числом n=3 соответствует ?) ![]() ?) ![]() ?) ![]() ?) ![]() Вопрос id:1824448 На рисунках приведены картины распределения плотности вероятности, нахождения микрочастицы в потенциальной яме с бесконечно высокими стенками. Состоянию с квантовым числом соответствует?) ![]() ?) ![]() ?) ![]() ?) ![]() Вопрос id:1824449 На рисунке изображен спектр излучения абсолютно черного тела при температуре Т. При температуре площадь под кривой увеличилась в 16 раз. Температура равна ![]() ?) Т/2 ?) Т/4 ?) 4Т ?) 2Т Вопрос id:1824452 На рисунке изображены стационарные орбиты атома водорода согласно модели Бора, а также условно изображены переходы электрона с одной стационарной орбиты на другую, сопровождающиеся излучением кванта энергии. В ультрафиолетовой области спектра эти переходы дают серию Лаймана, в видимой - серию Бальмера, в инфракрасной - серию Пашена. Наименьшей частоте кванта в серии Бальмера соответствует переход?) ![]() ?) ![]() ?) ![]() ?) ![]() Вопрос id:1824455 На рисунке приведены две вольтамперные характеристики вакуумного фотоэлемента. ![]() Если E - освещенность фотоэлемента, а ?) , ![]() ?) , ![]() ?) , ![]() ?) , ![]() Вопрос id:1824456 На черную пластинку падает поток света. Если число фотонов, падающих на единицу поверхности в единицу времени увеличить в 2 раза, а черную пластинку заменить зеркальной, то световое давление ?) увеличится в 2 раза ?) уменьшится в 2 раза ?) останется неизменным ?) увеличится в 4 раза Вопрос id:1824457 На черную пластинку падает поток света. Если число фотонов, падающих на единицу поверхности в единицу времени уменьшить в 2 раза, а черную пластинку заменить зеркальной, то световое давление ?) останется неизменным ?) увеличится в 2 раза ?) уменьшится в 2 раза ?) уменьшится в 4 раза Вопрос id:1824458 Нестационарным уравнением Шредингера является уравнение ?) ![]() ?) ![]() ?) ![]() ?) ![]() Вопрос id:1824459 Один и тот же световой поток падает нормально на абсолютно белую (в условии задачи слова «абсолютно белую» лучше заменить на «зеркальную») и абсолютно черную поверхность. Отношение давления света на первую и вторую поверхности равно ?) 1/4 ?) 1/2 ?) 2 ?) 4 Вопрос id:1824460 Одинаковое количество фотонов с длиной волны нормально падает на непрозрачную поверхность. Наибольшее давление свет будет оказывать в случае?) нм, поверхность - идеальное зеркало?) , поверхность абсолютно черная?) нм, поверхность - идеальное зеркало?) нм, поверхность абсолютно черная |
Copyright tests.ithead.ru 2013-2026

– масса тела, колеблющегося на пружине,
– жесткость пружины, то период колебаний пружинного маятника равен



спин фотона равен ...
спин электрона равен
, где 
, где
- плотность вероятности, определяемая
-функцией. Если
-функция имеет вид, указанный на рисунке, то вероятность обнаружить электрон на участке
равна 




, где
- плотность вероятности, определяемая
-функцией. Если
-функция имеет вид, указанный на рисунке, то вероятность обнаружить электрон на участке
равна 




, где
- плотность вероятности, определяемая
-функцией. Если
-функция имеет вид, указанный на рисунке, то вероятность обнаружить электрон на участке
равна 




, ширина энергетического уровня (в эВ) составляет не менее



-частица
-частица


частицы. Вероятность того, что частица будет обнаружена в объёме V определяется выражением



, входящей в уравнение Шрёдингера, равен
раз
раз




соответствует



площадь под кривой увеличилась в 16 раз. Температура
равна 
Наименьшей частоте кванта в серии Бальмера соответствует переход




, 
, 
, 
, 




нормально падает на непрозрачную поверхность. Наибольшее давление свет будет оказывать в случае
нм, поверхность - идеальное зеркало
, поверхность абсолютно черная
нм, поверхность - идеальное зеркало
нм, поверхность абсолютно черная