Список вопросов базы знанийФизика.
Вопрос id:1828249 К источнику тока с ЭДС 12 В подключили реостат. На рисунке показан график зависимости силы тока в реостате от его сопротивления.
Внутреннее сопротивление этого источника тока равно … ?) 0,5 Ом ?) 6 Ом ?) 1 Ом ?) 0 Ом ?) 2 Ом Вопрос id:1828250 На рисунке изображен вектор скорости движущегося электрона. Вектор индукции
?) сверху вниз ?) на нас ?) от нас ?) снизу вверх Вопрос id:1828251 На рисунке показана зависимость магнитной проницаемости
?) любого магнетика ?) ферромагнетика ?) парамагнетика ?) диамагнетика Вопрос id:1828252 На рисунке показаны эквипотенциальные поверхности электростатического поля.
?) 3 ?) 4 ?) 2 ?) 1 Вопрос id:1828253 На рисунке представлен график зависимости количества теплоты, выделяющейся в двух последовательно соединенных проводниках, от времени.
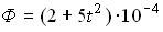
Отношение сопротивлений проводников ?) 2 ?) 4 ?) 0,5 ?) 0,25 Вопрос id:1828254 На рисунке представлена зависимость магнитного потока, пронизывающего некоторый контур, от времени. Максимальное значение ЭДС индукции в контуре равно...
?) 10 В ?) В?) В?) ВВопрос id:1828255 На рисунке представлена электрическая схема, составленная из источника тока, катушки, резистора и трех ламп.
После замыкания ключа К позже всех остальных загорится лампа номер … ?) 1 ?) 2 ?) 3 Вопрос id:1828256 На рисунке представлены графики, отражающие характер зависимости величины намагниченности I вещества (по модулю) от напряженности магнитного поля Н.
Укажите зависимость, соответствующую диамагнетикам. ?) 2 ?) 1 ?) 3 ?) 4 Вопрос id:1828257 На рисунке приведена петля гистерезиса (B – индукция, H –напряжённость магнитного поля). Коэрцитивной силе на графике соответствует отрезок…
?) СD ?) ОС ?) ОМ ?) АМ Вопрос id:1828258 Поле создано бесконечной равномерно заряженной плоскостью с поверхностной плотностью заряда
?) А – 4 ?) А – 1 ?) А – 2 ?) А – 3 Вопрос id:1828259 Поле создано равномерно заряженной сферической поверхностью с зарядом +q. Укажите направление вектора градиента потенциала в точке А.
?) А – 4 ?) А – 3 ?) А – 2 ?) А – 1 Вопрос id:1828260 Поле создано равномерно заряженной сферической поверхностью с зарядом –q. Укажите направление вектора градиента потенциала в точке А.
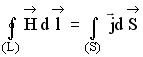
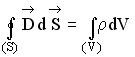
?) А – 2 ?) А – 3 ?) А – 4 ?) А – 1 Вопрос id:1828261 Полная система уравнений Максвелла для электромагнитного поля имеет вид:
Следующая система уравнений справедлива для …
?) стационарных электрических и магнитных полей ?) стационарного электромагнитного поля в отсутствие заряженных тел ?) стационарного электромагнитного поля в отсутствие токов проводимости ?) переменного электромагнитного поля при наличии заряженных тел и токов проводимости Вопрос id:1828262 Проводник в форме кольца помещен в однородное магнитное поле, как показано на рисунке. Индукция магнитного поля уменьшается со временем. Индукционный ток в проводнике направлен …
?) против часовой стрелки ?) для однозначного ответа недостаточно данных ?) по часовой стрелке ?) ток в кольце не возникает Вопрос id:1828263 Через лампу, подключенную к источнику тока с ЭДС 8 В и внутренним сопротивлением 0,5 Ом протекает ток 2 А. Зависимость тока от приложенного к лампе напряжения показана на графике …
?) 3 ?) 4 ?) 1 ?) 2 Вопрос id:1828266 В длинный соленоид поместили ферритовый сердечник с магнитной проницаемостью . Индуктивность соленоида при этом …?) не изменится ?) увеличится в ( + 1) раз?) уменьшится в ( + 1) раз?) увеличится в раз?) уменьшится в разВопрос id:1828272 Вектор характеризует электростатическое поле, создаваемое свободными зарядами (т.е. в вакууме), но при таком их распределении в пространстве, какое имеется при наличии?) диэлектрика ?) диэлектрика и полупроводника ?) полупроводника ?) проводника ?) проводника и полупроводника Вопрос id:1828279 Два параллельных тока одинакового направления притягиваются друг к другу с силой ?) ![]() ?) ![]() ?) ![]() ?) ![]() ?) ![]() Вопрос id:1828280 Для большого класса диэлектриков поляризованность линейно зависит от напряженности поля ; если диэлектрик изотропный и не слишком велика, то?) ![]() ?) ![]() ?) ![]() ?) ![]() Вопрос id:1828286 Если увеличить в два раза напряженность электрического поля в проводнике, то удельная тепловая мощность тока … ?) увеличится в 4 раза ?) увеличится в два раза; ?) не изменится ?) уменьшится в 4 раза ?) уменьшится в два раза Вопрос id:1828287 Если уменьшить в два раза напряженность электрического поля в проводнике, то плотность тока ?) не изменится ?) уменьшится в 4 раза ?) увеличится в 4 раза ?) уменьшится в два раза Вопрос id:1828288 Зависимость удельного сопротивления металлического проводника от температуры соответствует графику… ?) ![]() ?) ![]() ?) ![]() ?) ![]() Вопрос id:1828294 Интенсивному изучению сегнетоэлектриков послужило открытие академиком ___ аномальных диэлектрических свойств титаната бария ?) А.Х. Лодыгигым ?) И.В. Курчатовым ?) П.П. Кобеко ?) Б.М. Вулом Вопрос id:1828299 Конденсатор с диэлектриком с относительной диэлектрической проницаемостью присоединен к источнику тока. Энергия электрического поля этого конденсатора равна w. После удаления диэлектрика энергия электрического поля конденсатора будет равна …?) 4w ?) 2w ?) ![]() ?) ![]() ?) w Вопрос id:1828300 Контур площадью м2 расположен перпендикулярно к линиям магнитной индукции. Магнитная индукция изменяется по закону . Магнитный поток, пронизывающий контур, изменяется по закону...?) ![]() ?) ![]() ?) ![]() ?) ![]() Вопрос id:1828301 Контур площадью м2 расположен перпендикулярно к линиям магнитной индукции. Магнитная индукция изменяется по закону . Модуль ЭДС индукции, возникающая в контуре, изменяется по закону...?) ![]() ?) ![]() ?) ![]() Вопрос id:1828319 Потенциал электрического поля изменяется по закону , где - постоянный вектор, - радиус-вектор точки поля. Напряженность этого поля равна…?) ![]() ?) ![]() ?) ![]() ?) ![]() Вопрос id:1828328 При помещении диэлектрика в электрическое поле напряженность электрического поля внутри бесконечного однородного изотропного диэлектрика с диэлектрической проницаемостью ...?) уменьшается в раз?) увеличивается в раз?) остается равной нулю ?) остается неизменной Вопрос id:1828330 Протон находится на расстоянии r от положительно заряженной нити и на него действует сила F. При расстоянии r/2 сила, действующая на протон, будет равна ?) F ?) 0,5F ?) 2F ?) 4F ?) 0,25F Вопрос id:1828341 Сила взаимодействия двух отрицательных точечных зарядов, находящихся на расстоянии R друг от друга, равна F. Расстояние между частицами уменьшили в два раза. Чтобы сила взаимодействия F не изменилась, надо … ?) один из зарядов уменьшить по модулю в 2 раза ?) каждый заряд уменьшить по модулю в раз?) каждый заряд уменьшить по модулю в 2 раза ?) каждый заряд увеличить по модулю в 2 раза ?) один из зарядов увеличить по модулю в 2 раза Вопрос id:1828342 Сила тока в проводнике в течение интервала времени t равномерно увеличивается от 0 до I, затем в течение такого же промежутка времени остается постоянной, а затем за тот же интервал времени равномерно уменьшается до нуля t. За все время через проводник прошел заряд q, равный … ?) ![]() ?) ![]() ?) ![]() ?) 0 Вопрос id:1828343 Сила тока, протекающего в катушке, изменяется по закону . Если индуктивность катушки Гн, то мгновенное значение магнитного потока, пронизывающего катушку в момент времени мс, равно...?) 0 ?) 1 Вб ?) -1 Вб ?) 5 Вб Вопрос id:1828344 Сила тока, протекающего в катушке, изменяется по закону . Если при этом на концах катушки наводится ЭДС самоиндукции В, то индуктивность катушки равна...?) 0,1 Гн ?) 0,4 Гн ?) 1 Гн ?) 4 Гн Вопрос id:1828345 Сила, действующая на проводник с током в магнитном поле, имеет направление ![]() ?) б ?) а ?) в ?) г Вопрос id:1828352 Температура Кюри для железа составляет 768 . При температуре 1000 железо является ...?) парамагнетиком ?) диамагнетиком ?) ферромагнетиком ?) ферроэлектриком Вопрос id:1828355 У присоединенного к источнику тока плоского конденсатора заряд на обкладках равен Q. Если между обкладок конденсатора поместить диэлектрик с диэлектрической проницаемостью , то заряд станет равным?) ![]() ?) ![]() ?) ![]() ?) Q ?) ![]() Вопрос id:1828356 Удельное электрическое сопротивление диэлектриков ?) ![]() ?) ![]() ?) ![]() ?) ![]() ?) ![]() ?) ![]() Вопрос id:1828357 Укажите соответствие понятий и определений
Вопрос id:1828358 Укажите соответствие понятий и определений
Вопрос id:1828359 Укажите соответствие понятий и определений
Вопрос id:1828360 Укажите соответствие понятий и определений
Вопрос id:1828361 Укажите соответствие понятий и определений
Вопрос id:1828362 Укажите соответствие понятий и определений
Вопрос id:1828363 Укажите соответствие понятий и определений
Вопрос id:1828364 Уравнение Максвелла, описывающее отсутствие в природе магнитных зарядов, имеет вид ... ?) ![]() ?) ![]() ?) ![]() ?) ![]() Вопрос id:1828366 Формула выражает принцип ___ электростатических полей, согласно которому напряженность результирующего поля, создаваемого системой зарядов, равна геометрической сумме напряженностей полей, создаваемых в данной точке каждым из зарядов в отдельностиВопрос id:1828375 1 Гц – частота периодического процесса, при которой за 1 ___ совершается один цикл процесса ?) час ?) оборот ?) секунду ?) минуту Вопрос id:1828376 1 Гц – это единица ___ колебания ?) амплитуды ?) фазы ?) частоты ?) периода Вопрос id:1828377 `λ=v T ` здесь v ?) частота колебаний ?) длина волны ?) период ?) скорость распространения волны Вопрос id:1828378 `λ=v T ` здесь T ?) период ?) частота колебаний ?) скорость распространения волны ?) длина волны |

магнитного поля, создаваемого электроном при движении в точке С направлен …
от напряженности внешнего магнитного поля Н для ...


равно …
В
В
В


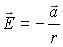
. Укажите направление вектора градиента потенциала в точке А.












. Индуктивность соленоида при этом …
+ 1) раз
+ 1) раз
раз
раз
характеризует электростатическое поле, создаваемое свободными зарядами (т.е. в вакууме), но при таком их распределении в пространстве, какое имеется при наличии




линейно зависит от напряженности поля
; если диэлектрик изотропный и
не слишком велика, то







присоединен к источнику тока. Энергия электрического поля этого конденсатора равна w. После удаления диэлектрика энергия электрического поля конденсатора будет равна …

м2 расположен перпендикулярно к линиям магнитной индукции. Магнитная индукция изменяется по закону
. Магнитный поток, пронизывающий контур, изменяется по закону...



м2 расположен перпендикулярно к линиям магнитной индукции. Магнитная индукция изменяется по закону
. Модуль ЭДС индукции, возникающая в контуре, изменяется по закону...


, где
- постоянный вектор,
- радиус-вектор точки поля. Напряженность этого поля равна…



...
раз
раз
раз


. Если индуктивность катушки
Гн, то мгновенное значение магнитного потока, пронизывающего катушку в момент времени
мс, равно...
. Если при этом на концах катушки наводится ЭДС самоиндукции
В, то индуктивность катушки равна...
. При температуре 1000
железо является ...
, то заряд станет равным










по произвольному замкнутому контуру равна произведению магнитной постоянной μ0 на алгебраическую сумму токов, охватываемых этим контуром:
, где n - число проводников с токами, охватываемых контуром L произвольной формы
, где k - коэффициент пропорциональности, в СИ 
. Направление вектора
совпадает с направлением силы, действующей на положительный заряд
результирующего поля, создаваемого системой зарядов, равна геометрической сумме напряженностей полей, создаваемых в данной точке каждым из зарядов в отдельности
, где Е - напряженность поля, D - электрическое смещение





, где
-вектор, по модулю равный длине dl элемента проводника и совпадающий по направлению с током,
- радиус-вектор, проведенный из элемента dl проводника в точку А поля, r - модуль радиуса-вектора
. Направление
перпендикулярно
и
, т.е. перпендикулярно плоскости, в которой они лежат, и совпадает с касательной к линии магнитной индукции
по произвольному замкнутому контуру равна произведению магнитной постоянной μ0 на алгебраическую сумму токов, охватываемых этим контуром:
, где n - число проводников с токами, охватываемых контуром L произвольной формы
, с которой магнитное поле действует на элемент проводника с током dl, находящегося в магнитном поле, равна
, где
- вектор, по модулю равный dl и совпадающий по направлению с током,
- вектор магнитной индукции
, помещенном в магнитное поле
, электрического поля в направлении, перпендикулярном
и 
, выражается формулой
, где
- индукция магнитного поля, в котором заряд движется




выражает принцип ___ электростатических полей, согласно которому напряженность
результирующего поля, создаваемого системой зарядов, равна геометрической сумме напряженностей полей, создаваемых в данной точке каждым из зарядов в отдельности