Тесты онлайн, бесплатный конструктор тестов. Психологические тестирования, тесты на проверку знаний.
Список вопросов базы знанийФизика.
Вопрос id:1827517 При высоких температурах излучаются короткие электромагнитные волны, при низких - преимущественно ___ волны ?) ультрафиолетовые ?) средние ?) инфракрасные ?) видимые Вопрос id:1827518 При достаточно большой энергии бомбардирующих анод электронов на фоне сплошного спектра появляются отдельные резкие линии - линейчатый спектр, определяемый материалом анода и называемый характеристическим ___ спектром ?) катодным ?) тормозным ?) однотипным ?) оптическим ?) анодным ?) рентгеновским Вопрос id:1827519 При изучении вольт-амперных характеристик разнообразных материалов установлены следующие три закона внешнего фотоэффекта. Соотнесите законы с их формулировками
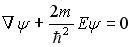
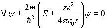
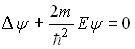
Вопрос id:1827520 При переходе от легких элементов к тяжелым структура характеристического спектра не изменяется, лишь весь спектр смещается в сторону ___ волн ?) длинных ?) ультракоротких ?) средних ?) коротких Вопрос id:1827521 При столкновении фотона со свободным электроном не может произойти поглощения фотона, так как это находится в противоречии с законами сохранения импульса и энергии - поэтому при взаимодействии фотонов со свободными электронами может наблюдаться только их рассеяние, т. е. эффект ?) Вина ?) Комптона ?) Бройла ?) Зеемана ?) Штарка ?) Кирхгофа Вопрос id:1827522 Различают такие фотоэффекты, как ?) сквозной ?) вентильный ?) смешанный ?) внешний ?) внутренний ?) сплошной Вопрос id:1827523 Размеры фотоэлектронных умножителей немного превышают размеры обычной радиолампы, общий коэффициент усиления составляет ?) 1010?) 107?) 108?) 105?) 109?) 106Вопрос id:1827524 Рассмотрение структуры и особенностей характеристических рентгеновских спектров приводит к выводу, что их возникновение связано с процессами, происходящими во внутренних, застроенных электронных оболочках атомов, которые имеют ?) сходное строение ?) одинаковое строение ?) однородное строение ?) однотипное строение Вопрос id:1827525 С классической точки зрения, прохождение частицы сквозь потенциальный барьер при E < U невозможно, так как частица, находясь в области барьера, должна была бы обладать отрицательной кинетической энергией - туннельный эффект является специфическим ?) квантовым эффектом ?) молекулярным эффектом ?) атомным эффектом ?) волновым эффектом ?) ядерным эффектом Вопрос id:1827526 Свободная частица - частица, движущаяся в отсутствие внешних полей, тогда полная энергия частицы совпадает с ее кинетической энергией; в таком случае уравнение Шредингера для стационарных состояний примет вид ?) ![]() ?) E = - ![]() ?) E = - ![]() ?) ![]() ?) ![]() Вопрос id:1827527 Серии в спектре атома водорода могут быть описаны одной формулой, называемой обобщенной формулой Бальмера ?) v = R (n = 4,5,6,…)?) v = R ![]() ?) v = R ![]() ?) v = R (n = 5,6,7,…)Вопрос id:1827528 Следуя Бору, рассмотрим движение электрона в водородоподобной системе, ограничиваясь круговыми стационарными орбитами; энергия электрона может принимать только следующие дозволенные дискретные значения ?) Еn = ![]() ![]() ?) En=- ![]() ?) En = n2 ![]() ?) En = ![]() ?) En = ![]() Вопрос id:1827529 Сложение волновых функций, а не вероятностей, принципиально отличает квантовую теорию от классической статистической теории, в которой для независимых событий справедлива теорема ?) комбинации вероятностей ?) непрерывности вероятностей ?) вычитание вероятностей ?) сложения вероятностей ?) суперпозиции вероятностей Вопрос id:1827531 Согласно гипотезе световых квантов ___, свет испускается, поглощается и распространяется дискретными порциями (квантами), названными фотонами ?) Гейзенберга ?) Планка ?) Шредингера ?) Максвелла ?) Эйнштейна Вопрос id:1827532 Согласно закону смещения Вина ?) ![]() ?) ![]() ?) ![]() ?) ![]() ?) ![]() ?) ![]() Вопрос id:1827533 Согласно классической электродинамике, ускоренно движущиеся электроны должны излучать электромагнитные волны и вследствие этого непрерывно терять энергию - в результате электроны будут приближаться к ядру и в конце концов ?) разрушат его ?) войдут в его состав ?) будут преобразованы ?) упадут на него Вопрос id:1827534 Согласно модели Дж. Дж. Томсона атом представляет собой непрерывно заряженный положительным зарядом шар радиусом порядка ___, внутри которого около своих положений равновесия колеблются электроны ?) 10-8м ?) 10-12м ![]() ?) 10-11м ?) 10-9м ?) 10-10м Вопрос id:1827535 Согласно общим выводам квантовой механики, спин квантуется по закону ?) Ls= ![]() ?) Ls= ![]() ?) Ls=m ![]() ?) Ls=n ![]() Вопрос id:1827537 Состояние системы микрочастиц, определенное в квантовой механике, однозначно вытекает из предшествующего состояния, как того требует принцип ?) необходимости ?) вероятности ?) причинности ?) производности ?) неопределенности Вопрос id:1827538 Спектр поглощения атома водорода является линейчатым, но содержит при нормальных условиях только серию ___; он также объясняется теорией Бора ?) Лаймана ?) Пашена ?) Бальмера ?) Хэмфри ?) Брэкета ?) Пфунда Вопрос id:1827539 Сплошной рентгеновский спектр называют ?) катодным спектром ?) оптическим спектром ?) однотипным спектром ?) линейным спектром ?) анодным спектром ?) тормозным спектром Вопрос id:1827541 Статистическое толкование волн де Бройля и соотношение неопределенностей Гейзенберга привели к выводу, что уравнением движения в квантовой механике, описывающим движение микрочастиц в различных силовых полях. ?) должно быть уравнение, из которого бы вытекали наблюдаемые на опыте корпускулярные свойства частиц ?) должно быть уравнение, из которого бы вытекали наблюдаемые на опыте волновые свойства частиц ?) должно быть уравнение, из которого бы вытекали наблюдаемые на опыте квантовые свойства частиц ?) должно быть уравнение, из которого бы вытекали наблюдаемые на опыте энергетические свойства частиц Вопрос id:1827542 Стационарное уравнение Шредингера в общем случае имеет вид: , где U – потенциальная энергия микрочастицы. Линейному гармоническому осциллятору соответствует уравнение …?) ![]() ?) ![]() ?) ![]() ?) ![]() Вопрос id:1827543 Стационарные состояния квантового осциллятора определяются уравнением Шредингера вида ?) Е0 = ![]() ?) ![]() =0?) U=m ![]() ?) En = (n+1/2) ![]() Вопрос id:1827544 Стационарным уравнением Шредингера для частицы в одномерном ящике с бесконечно высокими стенками является уравнение… ?) ![]() ?) ![]() ?) ![]() ?) ![]() Вопрос id:1827545 Структура энергетических уровней молекул определяет их спектр излучения, возникающей при квантовых переходах между соответствующими ___ уровнями ?) ковалентными ?) валентными ?) энергетическими ?) молекулярными ?) электронными Вопрос id:1827546 Тело, способное поглощать полностью при любой температуре все падающее на него излучение любой частоты, называется ___ телом ?) абсолютно черным ?) относительно черным ?) относительно серым ?) абсолютно серым Вопрос id:1827547 Температура вольфрамовой нити в вакуумных лампах не должна превышать ___, поскольку при более высоких температурах происходит ее сильное распыление ?) 2500 К ?) 2350 К ?) 2400 К ?) 2450 К Вопрос id:1827548 Тепловое излучение, являясь самым распространенным в природе, совершается за счет энергии теплового движения атомов и молекул вещества и свойственно всем телам при температуре ?) выше 40 К ?) выше 10 К ?) выше 20 К ?) выше 30 К ?) выше 50 К ?) выше 0 К Вопрос id:1827549 Типичные молекулярные спектры - совокупность более или менее узких полос в ультрафиолетовой, видимой и инфракрасной областях - это ___ спектры ?) полосатые ?) колебательно-вращательные ?) электронно-колебательные ?) колебательные ?) вращательные ?) линейчатые Вопрос id:1827550 Третий электрон атома Li (Z = 3), согласно принципу ___, уже не может разместиться в целиком заполненной К-оболочке и занимает низшее энергетическое состояние с n = 2 (L-оболочка), т.е. 2s-состояние ?) Бора ?) Шредингера ?) Паули ?) де Бройля ?) Гейзенберга ?) Комптона Вопрос id:1827551 Укажите соответствие понятий и определений
Вопрос id:1827552 Укажите соответствие понятий и определений
Вопрос id:1827553 Укажите соответствие понятий и определений
Вопрос id:1827554 Укажите соответствие понятий и определений
Вопрос id:1827555 Укажите соответствие понятий и определений
Вопрос id:1827556 Укажите соответствие понятий и определений
Вопрос id:1827557 Укажите соответствие символов оболочки и главных квантовых чисел n при распределении электронов в атоме по состоянию
Вопрос id:1827558 Укажите соответствие символов оболочки и максимальных чисел электронов в оболочке при распределении электронов в атоме по состояниям
Вопрос id:1827559 Укажите соответствие символов подоболочки и максимальных чисел электронов в подоболочке при распределении электронов в атоме по состоянию
Вопрос id:1827560 Укажите соответствие символов подоболочки и максимальных чисел электронов в подоболочке при распределении электронов в атоме по состоянию
Вопрос id:1827561 Укажите соответствие символов подоболочки и орбитальных квантовых чисел при распределении электронов в атоме по состоянию
Вопрос id:1827562 Укажите соответствие символов подоболочки и орбитальных квантовых чисел при распределении электронов в атоме по состоянию
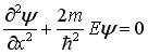
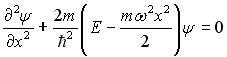
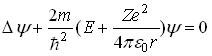
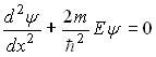
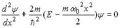
Вопрос id:1827563 Универсальная функция Кирхгофа - это спектральная ___ энергетической светимости черного тела ?) частота ?) изучаемость ?) составляющая ?) плотность ?) способность Вопрос id:1827564 Уравнение называется ___ для стационарных состояний?) кинетическим уравнением ?) уравнением Шредингера ?) стационарным уравнением для стационарных состояний ?) квантовым уравнением для ?) общим уравнением Вопрос id:1827565 Уравнение Шредингера для стационарных состояний в случае одномерной задачи будет иметь вид?) ![]() ?) ![]() ?) ![]() ?) ![]() Вопрос id:1827566 Уравнение Шредингера для стационарных состояний для каждой области имеет вид?) для области 2 q2=2m(E-U)/![]() ?) для областей 1 и 3 k2=2mE/![]() ?) для области 2 q2=2m(E-U)/![]() ?) для областей 1 и 3 k2=2mE/![]() Вопрос id:1827567 Уравнение Шредингера дополняется следующими условиями, налагаемыми на волновую функцию ?) функция должна быть интегрируема?) волновая функция должна быть конечной, однозначной и непрерывной ?) производные должны быть непрерывны?) волновая функция должна быть конечной, однозначной Вопрос id:1827568 Уравнение Эйнштейна для внешнего фотоэффекта имеет следующий вид ?) ![]() ?) ![]() ?) ![]() ?) ![]() Вопрос id:1827569 Уравнение Эйнштейна для многофотонного фотоэффекта имеет следующий вид ?) ![]() ?) ![]() ?) ![]() ?) ![]() |
Copyright tests.ithead.ru 2013-2026
катода) (закон Столетова)
(зависящая от химической природы вещества и состояния его поверхности), ниже которой фотоэффект невозможен
1010
107
108
105
109
106




(n = 4,5,6,…)

(n = 5,6,7,…)
















, где U – потенциальная энергия микрочастицы. Линейному гармоническому осциллятору соответствует уравнение …





=0





(зависящая от химической природы вещества и состояния его поверхности), ниже которой фотоэффект невозможен
называется ___ для стационарных состояний
для стационарных состояний в случае одномерной задачи будет иметь вид



для стационарных состояний для каждой области имеет вид
для области 2 q2=2m(E-U)/
для областей 1 и 3 k2=2mE/
для области 2 q2=2m(E-U)/
для областей 1 и 3 k2=2mE/
должна быть интегрируема
должны быть непрерывны






