Тесты онлайн, бесплатный конструктор тестов. Психологические тестирования, тесты на проверку знаний.
Список вопросов базы знанийФизика.
Вопрос id:1826859 На рисунках изображены зависимости от времени координаты и скорости материальной точки, колеблющейся по гармоническому закону. ![]() ![]() Циклическая частота колебаний точки равна ?) 4 с-1 ?) 1 с-1 ?) 3 с-1 ?) 2 с-1 Вопрос id:1826860 На рисунках изображены зависимости от времени координаты и ускорения материальной точки, колеблющейся по гармоническому закону. ![]() ![]() Циклическая частота колебаний точки равна ?) 3 с-1 ?) 2 с-1 ?) 4 с-1 ?) 1 с-1 Вопрос id:1826864 На рисунке показана фотография взаимодействия -мезона с протоном в водородной пузырьковой камере, которое идет по схеме![]() Если спин p-мезона S=0, то спин частицы X будет... ?) ![]() ?) ![]() ?) ![]() Вопрос id:1826865 На рисунке показана фотография взаимодействия – мезона с протоном в водородной пузырьковой камере, которое идет по схеме![]() Если спин p-мезона , то спин – гиперона ...?) ![]() ?) ![]() ?) ![]() Вопрос id:1826867 На рисунке представлена зависимость амплитуды колебаний груза на пружине с жесткостью k = 10Н/м от частоты внешней силы. Масса колеблющегося груза равна?) 10кг ?) 0,01кг ?) 0,1кг ?) 1т Вопрос id:1826868 На рисунке изображен проводник массой m, подвешенный на проводящих нитях, через которые подведен ток. ![]() Укажите правильную комбинацию направления вектора магнитной индукции и направления тока в проводнике, чтобы сила натяжения нитей стала равной нулю. ?) Ток в направлении L; магнитная индукция от нас ?) Ток в направлении L; магнитная индукция вниз ?) Ток в направлении M; магнитная индукция вверх ?) Ток в направлении M; магнитная индукция от нас Вопрос id:1826870 На рисунке изображена плотность вероятности обнаружения микрочастицы на различных расстояниях от «стенок» ямы. Вероятность ее обнаружения на участке равна ![]() ?) 3/4 ?) 0 ?) 1/2 ?) 1/4 Вопрос id:1826871 На рисунке изображены сечения двух параллельных прямолинейных длинных проводников с одинаково направленными токами, причем J2 больше J1 (например, J2=2J1). Индукция результирующего магнитного поля равна нулю в некоторой точке интервала![]() ?) b ?) a ?) c ?) d Вопрос id:1826873 На рисунке изображены стационарные орбиты атома водорода согласно модели Бора, а также условно изображены переходы электрона с одной стационарной орбиты на другую, сопровождающиеся излучением кванта энергии. В ультрафиолетовой области спектра эти переходы дают серию Лаймана, в видимой – серию Бальмера, в инфракрасной – серию Пашена. ![]() Наибольшей частоте кванта в серии Лаймана соответствует переход ?) ![]() ?) ![]() ?) ![]() Вопрос id:1826878 На рисунке показана зависимость силы тока от времени в электрической цепи с индуктивностью 1 мГн. ![]() Модуль среднего значения ЭДС самоиндукции на интервале от 0 до 5 с. (в мкВ) равен ?) 6 ?) 30 ?) 0 ?) 15 Вопрос id:1826879 На рисунке показана зависимость силы тока от времени в электрической цепи с индуктивностью 1 мГн. ![]() Модуль среднего значения ЭДС самоиндукции на интервале от 5 до 10 с (в мкВ) равен ?) 2 ?) 0 ?) 10 ?) 20 Вопрос id:1826880 На рисунке показана зависимость силы тока от времени в электрической цепи с индуктивностью 1 мГн. ![]() Модуль среднего значения ЭДС самоиндукции на интервале от 15 до 20 с. (в мкВ) равен... ?) 20 ?) 0 ?) 10 ?) 4 Вопрос id:1826881 На рисунке показана кварковая диаграмма захвата нуклоном – мезона.![]() Эта диаграмма соответствует реакции ?) ![]() ?) ![]() ?) ![]() ?) ![]() Вопрос id:1826882 На рисунке показана кварковая диаграмма распада –гиперона.![]() Эта диаграмма соответствует реакции ?) ![]() ?) ![]() ?) ![]() ?) ![]() Вопрос id:1826883 На рисунке показана кварковая диаграмма распада –мезона.![]() Эта диаграмма соответствует реакции ?) ![]() ?) ![]() ?) ![]() ?) ![]() Вопрос id:1826884 На рисунке показана ориентация векторов напряженности электрического ( ) и магнитного ( ) полей в электромагнитной волне. Вектор плотности потока энергии электромагнитного поля ориентирован в направлении![]() ?) 2 ?) 3 ?) 1 ?) 4 Вопрос id:1826887 На рисунке показаны кривые зависимости спектральной плотности энергетической светимости абсолютно черного тела от длины волны при разных температурах. Если кривая 1 соответствует спектру излучения абсолютно черного тела при температуре 5800 К, то кривая 2 соответствует температуре (в К) ![]() ?) 2900 ?) 750 ?) 1000 ?) 1450 Вопрос id:1826888 На рисунке представлена диаграмма энергетических уровней атома. Переход с поглощением фотона наибольшей длины волны обозначен цифрой ![]() ?) 3 ?) 4 ?) 2 ?) 1 Вопрос id:1826890 На рисунке представлена зависимость магнитного потока, пронизывающего некоторый контур, от времени. ![]() График зависимости ЭДС индукции в контуре от времени представлен на рисунке ?) ![]() ?) ![]() ?) ![]() ?) ![]() Вопрос id:1826891 На рисунке представлена зависимость плотности тока j, протекающего в проводниках 1 и 2, от напряженности электрического поля Е. ![]() Отношение удельных сопротивлений этих проводников r 1/r2 равно ?) 2 ?) 1/4 ?) 4 ?) 1/2 Вопрос id:1826894 На рисунке представлены графики, отражающие характер зависимости величины намагниченности I вещества (по модулю) от напряженности магнитного поля Н. ![]() Укажите зависимость, соответствующую ферромагнетикам. ?) 2 ?) 4 ?) 1 ?) 3 Вопрос id:1826895 На рисунке представлены графики, отражающие характер зависимости поляризованности Р от напряженности поля Е. ![]() Укажите зависимость, соответствующую сегнетоэлектрикам. ?) 4 ?) 2 ?) 3 ?) 1 Вопрос id:1826898 Нуклоны в ядре взаимодействуют посредством обмена виртуальными частицами. Процесс их образования соответствует схеме ?) ![]() ?) ![]() ?) ![]() ?) ![]() Вопрос id:1826899 Нуклоны в ядре взаимодействуют посредством обмена виртуальными частицами. Процесс их образования соответствует схеме ?) ![]() ?) ![]() ?) ![]() ?) ![]() Вопрос id:1826903 Отсоединенный от источника тока плоский конденсатор, заполненный диэлектриком с диэлектрической проницаемостью , заряжен до разности потенциалов U. Если удалить диэлектрик, то разность потенциалов между обкладками конденсатора станет равной?) ![]() ?) ![]() ?) eU ?) останется равной U Вопрос id:1826904 Позитрон является античастицей по отношению к ?) нейтрону ?) фотону ?) электрону ?) протону Вопрос id:1826910 При -распаде?) заряд ядра не изменяется, масса ядра уменьшается на 4 а.е.м. ?) заряд ядра уменьшается на 2e, масса ядра уменьшается на 4 а.е.м. ?) заряд ядра уменьшается на 4e, масса ядра уменьшается на 2 а.е.м. ?) заряд ядра уменьшается на 2e, масса не изменяется Вопрос id:1826913 Рамка с током с магнитным дипольным моментом, направление которого указано на рисунке, находится в однородном магнитном поле. ![]() Момент сил, действующий на диполь, направлен ?) от нас ?) против вектора магнитной индукции ?) к нам ?) вдоль вектора магнитной индукции Вопрос id:1826917 Реакция не может идти из-за нарушения закона сохранения?) барионного заряда ?) лептонного заряда ?) электрического заряда ?) спинового момента импульса Вопрос id:1826918 Реакция не может идти из-за нарушения закона сохранения?) электрического заряда ?) спинового момента импульса ?) барионного заряда ?) лептонного заряда Вопрос id:1826923 Складываются два гармонических колебания одного направления с одинаковыми частотами и равными амплитудами . При разности фаз амплитуда результирующего колебания равна?) ![]() ?) ![]() ?) ![]() ?) 0 Вопрос id:1826924 Складываются два гармонических колебания одного направления с одинаковыми частотами и равными амплитудами . При разности фаз амплитуда результирующего колебания равна?) 0 ?) ![]() ?) ![]() ?) ![]() Вопрос id:1826925 Сколько a – и b – распадов должно произойти, чтобы актиний превратился в стабильный изотоп свинца .?) 6 a – распадов и 3 b– – распадов ?) 4 a – распадов и 4 b– – распадов ?) 5 a – распадов и 3 b– – распадов ?) 5 a – распадов и 5 b– – распадов Вопрос id:1826926 Сколько a – и b – распадов должно произойти, чтобы америция превратился в стабильный изотоп висмута .?) 9 a – распадов и 3 b– – распадов ?) 8 a – распадов и 4 b– – распадов ?) 6 a – распадов и 5 b– – распадов ?) 7 a – распадов и 3 b– – распадов Вопрос id:1826927 Сколько a – и b – распадов должно произойти, чтобы торий превратился в стабильный изотоп свинца .?) 5 a – распадов и 5 b– – распадов ?) 4 a – распадов и 6 b– – распадов ?) 6 a – распадов и 4 b– – распадов ?) 7 a – распадов и 3 b– – распадов Вопрос id:1826928 Сколько a – и b – распадов должно произойти, чтобы уран превратился в стабильный изотоп свинца .?) 7 a – распадов и 4 b– – распадов ?) 8 a – распадов и 3 b– – распадов ?) 6 a – распадов и 5 b– – распадов ?) 5 a – распадов и 6 b– – распадов Вопрос id:1826935 Точечный заряд +q находится в центре сферической поверхности. Если добавить заряд –q внутрь сферы, то поток вектора напряженности электростатического поля через поверхность сферы?) увеличится ?) уменьшится ?) не изменится Вопрос id:1826936 Угол дифракции в спектре k–ого порядка больше для ?) зеленых лучей ?) фиолетовых лучей ?) желтых лучей ?) красных лучей Вопрос id:1826937 Уравнение плоской синусоидальной волны, распространяющейся вдоль оси OХ со скоростью 500 м/с, имеет вид . Циклическая частота w в (с-1) равна?) 1000 ?) 0,001 ?) 159 Вопрос id:1826938 Уравнение плоской синусоидальной волны, распространяющейся вдоль оси OХ, имеет вид . Волновое число имеет размерность?) 1/с ?) 1/м ?) м ?) с Вопрос id:1826939 Уравнение плоской синусоидальной волны, распространяющейся вдоль оси OХ, имеет вид . Период (в мс) равен?) 2 ?) 6,28 ?) 1 Вопрос id:1826940 Уравнение плоской синусоидальной волны, распространяющейся вдоль оси OХ, имеет вид . Длина волны (в м) равна?) 1000 ?) 2 ?) 3,14 Вопрос id:1826943 Чем меньше энергия связи ядра, тем ?) больше у него дефект масс ?) меньше у него энергия покоя ?) больше энергии выделится при распаде этого ядра на отдельные нуклоны ?) меньше энергии выделится в реакции термоядерного синтеза этого ядра с другими ядрами ?) меньшую работу нужно совершить, чтобы разделить это ядро на отдельные нуклоны Вопрос id:1826944 Шарик, прикрепленный к пружине и насаженный на горизонтальную направляющую, совершает гармонические колебания. ![]() На графике представлена зависимость проекции силы упругости пружины на положительное направление оси Х от координаты шарика. ![]() Работа силы упругости при смещении шарика из положения B в положение 0 составляет ?) 4·10-2 Дж ?) 0 Дж ?) 8·10-2 Дж ?) -4·10-2 Дж Вопрос id:1826945 Шарик, прикрепленный к пружине и насаженный на горизонтальную направляющую, совершает гармонические колебания. ![]() На графике представлена зависимость проекции силы упругости пружины на положительное направление оси Х от координаты шарика. ![]() Работа силы упругости на участке 0–B–0 составляет ?) -4·10-2 Дж ?) 8·10-2 Дж ?) 0 Дж ?) 4·10-2 Дж Вопрос id:1826946 Шарик, прикрепленный к пружине и насаженный на горизонтальную направляющую, совершает гармонические колебания. ![]() На графике представлена зависимость проекции силы упругости пружины на положительное направление оси Х от координаты шарика. ![]() Работа силы упругости на этапе 0–В–А равна ?) 0 Дж ?) -4·10-2 Дж ?) 8·10-2 Дж ?) 4·10-2 Дж Вопрос id:1826947 Шарик, прикрепленный к пружине и насаженный на горизонтальную направляющую, совершает гармонические колебания. ![]() На графике представлена зависимость проекции силы упругости пружины на положительное направление оси Х от координаты шарика. ![]() Работа силы упругости на этапе В–А–0 равна ?) 4·10-2 Дж ?) 0 Дж ?) 8·10-2 Дж ?) -4·10-2 Дж Вопрос id:1826948 Шарик, прикрепленный к пружине и насаженный на горизонтальную направляющую, совершает гармонические колебания. ![]() На графике представлена зависимость проекции силы упругости пружины на положительное направление оси Х от координаты шарика. ![]() Работа силы упругости на этапе 0–А–В равна ?) 8·10-2 Дж ?) 0 Дж ?) -4·10-2 Дж ?) 4·10-2 Дж Вопрос id:1826950 ___ волны, распространяясь в идеальной кристаллической решетке, как бы огибают узлы решетки и проходят значительные расстояния ?) Электромагнитные ?) Фотонные ?) Фононные ?) Электронные ?) Световые Вопрос id:1826951 ___ дефектоскопия позволяет обнаружить тончайшие трещины на поверхности деталей машин и других изделий ?) Фотолюминесцентная ?) Катодолюминесцентная ?) Люминесцентная ?) Электролюминесцентная ?) Рентгенолюминесцентная ?) Фосфоресцентная |
Copyright tests.ithead.ru 2013-2026




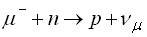
показана фотография взаимодействия
-мезона с протоном в водородной пузырьковой камере, которое идет по схеме



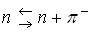
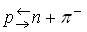
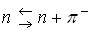
показана фотография взаимодействия
– мезона с протоном в водородной пузырьковой камере, которое идет по схеме
, то спин
– гиперона ...


представлена зависимость амплитуды колебаний груза на пружине с жесткостью k = 10Н/м от частоты внешней силы. Масса колеблющегося груза равна
равна 
результирующего магнитного поля равна нулю в некоторой точке интервала







– мезона.




–гиперона.




–мезона.




) и магнитного (
) полей в электромагнитной волне. Вектор плотности потока энергии электромагнитного поля ориентирован в направлении


















, заряжен до разности потенциалов U. Если удалить диэлектрик, то разность потенциалов между обкладками конденсатора станет равной

-распаде
не может идти из-за нарушения закона сохранения
не может идти из-за нарушения закона сохранения
. При разности фаз
амплитуда результирующего колебания равна


. При разности фаз
амплитуда результирующего колебания равна


превратился в стабильный изотоп свинца
.
превратился в стабильный изотоп висмута
.
превратился в стабильный изотоп свинца
.
превратился в стабильный изотоп свинца
.
через поверхность сферы
. Циклическая частота w в (с-1) равна
. Волновое число имеет размерность
. Период (в мс) равен
. Длина волны (в м) равна








