Тесты онлайн, бесплатный конструктор тестов. Психологические тестирования, тесты на проверку знаний.
Список вопросов базы знанийФизика.
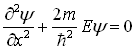
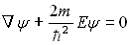
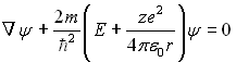
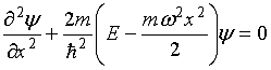
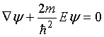
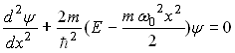
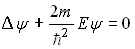
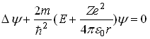
Вопрос id:1824461 Одна и та же дифракционная решетка освещается различными монохроматическими излучениями с разными интенсивностями. Какой рисунок соответствует случаю освещения светом с наибольшей частотой? (J - интенсивность света, - угол дифракции).?) ![]() ?) ![]() ?) ![]() Вопрос id:1824462 Оптические разности хода лучей для соседних темных интерференционных полос ?) отличаются на ![]() ?) отличаются на 2?) отличаются на /4?) отличаются на 2 ![]() Вопрос id:1824463 Поверхность металла освещается светом, длина волны которого больше длины волны, соответствующей красной границе фотоэффекта для этого вещества. При увеличении интенсивности света ?) фотоэффекта не будет при любой интенсивности ?) уменьшается количество фотоэлектронов ?) увеличивается энергия фотоэлектронов ?) увеличивается количество фотоэлектронов Вопрос id:1824464 Положение пылинки массой m=10 -9кг можно установить с неопределенностью . Учитывая, что постоянная Планка , неопределенность скорости (в м/с) будет не менее?) ![]() ?) ![]() ?) ![]() ?) ![]() Вопрос id:1824465 При интерференции когерентных лучей с длиной волны 500 нм максимум первого порядка возникает при разности хода ?) 250 нм ?) 500 нм ?) 1000 нм ?) 1200 нм Вопрос id:1824466 При освещении катода вакуумного фотоэлемента потоком монохроматического света происходит освобождение фотоэлектронов. Если интенсивность света уменьшится в 4 раза, то количество фотоэлектронов, вырываемых светом за 1 с ?) уменьшится в 4 раза ?) увеличится в 4 раза ?) уменьшится в 2 раза ?) уменьшится в 16 раз Вопрос id:1824467 При падении света из воздуха на диэлектрик отраженный луч полностью поляризован при угле падения 60о. При этом угол преломления равен ?) 90° ?) 60° ?) 30° ?) 45° Вопрос id:1824468 При падении света из воздуха на диэлектрик отраженный луч полностью поляризован. Угол преломления равен 30о. Тогда показатель преломления диэлектрика равен ?) 2,0 ?) 1,41 ?) 1,5 ?) 1,73 Вопрос id:1824469 Пучок естественного света проходит через два идеальных поляризатора. Интенсивность естественного света равна , угол между плоскостями пропускания поляризаторов равен . Согласно закону Малюса интенсивность света после первого поляризатора равна ...?) ![]() ?) ![]() ?) ![]() ?) ![]() Вопрос id:1824470 Распределение энергии в спектре излучения абсолютно черного тела в зависимости от длины волны для температур и ( ) верно представлено на рисунке?) ![]() ?) ![]() ?) ![]() ?) ![]() Вопрос id:1824472 С помощью волновой функции , входящей в уравнение Шрёдингера, можно определить?) с какой вероятностью частица может быть обнаружена в различных точках пространства ?) траекторию, по которой движется частица в пространстве ?) импульс частицы в любой точке пространства Вопрос id:1824474 Свет от некоторого источника представляет собой две плоские монохроматические волны с длинами l1 и l2. У экспериментатора имеется две дифракционных решетки. Число щелей в этих решетках и , а их постоянные и , соответственно. При нормальном падении света на дифракционную решетку 1 получено изображение в максимуме m, показанное на рисунке 1. После того, как дифракционную решетку 1 поменяли на решетку 2, изображение максимума m стало таким, как показано на рисунке 2. Постоянная решетки и число щелей у этих решеток соотносятся следующим образом ![]() ?) ; ![]() ?) ; ![]() ?) ; ![]() ?) ; ![]() Вопрос id:1824475 Серия Бальмера в спектре излучения атомарного водорода характеризует переходы электрона на второй энергетический уровень. Согласно правилам отбора в ней возможны переходы между электронными состояниями ?) 3d®2s ?) 4s®2s ?) 4p®2s ?) 3p®2p Вопрос id:1824476 Серия Пашена в спектре излучения атомарного водорода характеризует переходы электрона на третий энергетический уровень. Согласно правилам отбора в ней запрещены переходы между электронными состояниями ?) 4d®3p ?) 5d®3p ?) 4p®3s ?) 5s®3d Вопрос id:1824477 Стационарное уравнение Шредингера в общем случае имеет вид: , где U - потенциальная энергия микрочастицы. Электрону в атоме водорода соответствует уравнение?) ![]() ?) ![]() ?) ![]() ?) ![]() Вопрос id:1824478 Стационарное уравнение Шредингера в общем случае имеет вид: , где U - потенциальная энергия микрочастицы. Электрону, движущемуся в одномерной потенциальной яме с бесконечно высокими стенками, соответствует уравнение?) ![]() ?) ![]() ?) ![]() ?) ![]() Вопрос id:1824479 Стационарным уравнением Шредингера для электрона в водородоподобном ионе является уравнение ?) ![]() ?) ![]() ?) ![]() ?) ![]() Вопрос id:1824480 Стеклянная призма разлагает белый свет. На рисунках представлен ход лучей в призме. Правильно отражает реальный ход лучей рисунок ?) ![]() ?) ![]() ?) ![]() ?) ![]() Вопрос id:1824481 Тонкая стеклянная пластинка с показателем преломления n и толщиной d помещена между двумя средами с показателями преломления и причем . На пластинку нормально падает свет с длиной волны . Разность хода интерферирующих отраженных лучей равна?) ![]() ?) ![]() ?) ![]() ?) ![]() Вопрос id:1824482 Угол дифракции в спектре k-ого порядка больше для ?) фиолетовых лучей ?) красных лучей ?) желтых лучей ?) зеленых лучей Вопрос id:1824483 Угол между плоскостями пропускания двух поляризаторов равен 450. Если угол увеличить в 2 раза, то интенсивность света, прошедшего через оба поляризатора ?) увеличится в 2 раза ?) увеличится в 3 раза ?) увеличится в 1,41 раз ?) станет равной нулю Вопрос id:1824484 Угол между плоскостями пропускания двух поляризаторов равен 45°. Если угол увеличить в 2 раза, то интенсивность света, прошедшего через оба поляризатора ?) увеличится в 3 раза ?) станет равной нулю ?) увеличится в 1,41 раз ?) увеличится в 2 раза Вопрос id:1824485 Частица массой m с энергией подлетает к потенциальному барьеру высотой . Для области III уравнение Шредингера имеет вид ![]() ?) ![]() ?) ![]() ?) ![]() ?) ![]() Вопрос id:1824486 Электрон находится в одномерном потенциальном ящике шириной а с бесконечно высокими стенками. Плотность вероятности нахождения электрона на первом и втором энергетических уровнях одинакова в точках с координатами ?) ![]() ![]() ?) ![]() ![]() ?) ![]() ![]() ?) ![]() ![]() Вопрос id:1824487 Бесконечно длинный прямолинейный проводник имеет плоскую петлю. Магнитная индукция в т. О имеет направление ![]() ?) к нам ?) влево ?) от нас ?) вправо Вопрос id:1824488 Вещество является однородным изотропным диамагнетиком, если ?) магнитная восприимчивость мала, вектор намагниченности направлен в сторону, противоположную направлению вектора напряженности магнитного поля ?) магнитная восприимчивость мала, вектор намагниченности направлен в ту же сторону, что и вектор напряженности магнитного поля ?) магнитная восприимчивость велика, вектор намагниченности направлен в ту же сторону, что и вектор напряженности магнитного поля ?) магнитная восприимчивость велика, вектор намагниченности направлен в сторону, противоположную направлению вектора напряженности магнитного поля Вопрос id:1824489 Вольт-амперные характеристики двух нагревательных спиралей изображены на рисунке. Из графиков следует, что сопротивление одной спирали больше сопротивления другой на ![]() ?) 5 Ом ?) 0,1 Ом ?) 25 Ом ?) 10 Ом Вопрос id:1824493 Если внести металлический проводник в электрическое поле, то ?) у молекул возникнут дипольные моменты, ориентированные в направлении, противоположном силовым линиям внешнего электрического поля ?) у молекул возникнут индуцированные дипольные моменты, ориентированные вдоль линий поля ?) возникнут индуцированные заряды, которые распределятся по внешней поверхности проводника, а электрическое поле внутри проводника будет отсутствовать ?) жесткие диполи молекул будут ориентироваться в среднем в направлении вдоль вектора напряженности электрического поля Вопрос id:1824494 Если воздушный конденсатор отключить от источника, а затем заполнить диэлектриком, то ?) напряжение между обкладками не изменится, заряд на обкладках увеличится ?) емкость уменьшится, заряд на обкладках увеличится ?) емкость увеличиться, напряжение между обкладками не изменится ?) емкость увеличится, заряд на обкладках не изменится Вопрос id:1824495 Если увеличить в 2 раза напряжение между концами проводника, а площадь его сечения уменьшить в 2 раза, то сила тока, протекающего через проводник, ?) уменьшится в 4 раза ?) увеличится в 2 раза ?) не изменится ?) увеличится в 4 раза Вопрос id:1824496 Если уменьшить в 2 раза объемную плотность энергии при неизменной скорости распространения упругих волн, то плотность потока энергии ?) уменьшится в 4 раза ?) уменьшится в 2 раза ?) останется неизменной Вопрос id:1824497 Источник тока был замкнут сначала на сопротивление R, а затем на сопротивление 5R. Если в общих случаях на сопротивлениях выделяется одинаковая мощность, то внутреннее сопротивление источника r равно ?) ![]() ?) ![]() ?) ![]() ?) ![]() Вопрос id:1824499 Магнитный момент кругового тока, изображенный на рисунке, направлен ![]() ?) против направления тока ?) по оси контура влево ?) по направлению тока ?) по оси контура вправо Вопрос id:1824502 На рисунке представлена зависимость амплитуды колебаний груза на пружине с жесткостью k = 10Н/м от частоты внешней силы. Масса колеблющегося груза равна?) 1т ?) 0,01кг ?) 10кг ?) 0,1кг Вопрос id:1824504 На рисунке представлена зависимость относительной амплитуды колебаний силы тока в катушке индуктивностью 1мГн, включенной в колебательный контур. Емкость конденсатора этого контура равна?) 1нф ?) 10нф ?) 0,1нф ?) 100нф Вопрос id:1824507 На рисунке изображены сечения двух параллельных прямолинейных длинных проводников с одинаково направленными токами, причем J2 меньше J1 (например ). Индукция результирующего магнитного поля равна нулю в некоторой точке интервала ![]() ?) d ?) a ?) c ?) b Вопрос id:1824508 На рисунке показана зависимость проекции вектора индукции магнитного поля В в ферромагнетике от напряженности Н внешнего магнитного поля. Участок соответствует?) остаточной намагниченности ферромагнетика ?) остаточной магнитной индукции ферромагнетика ?) магнитной индукции насыщения ферромагнетика ?) коэрцитивной силе ферромагнетика Вопрос id:1824509 На рисунке показана зависимость силы тока в электрической цепи от времени. Заряд, прошедший по проводнику в интервале времени от 5 до 15 с (в мКл) равен?) 225 ?) 250 ?) 200 ?) 450 Вопрос id:1824510 На рисунке показана зависимость силы тока в электрической цепи от времени. Заряд, прошедший по проводнику в интервале времени от 10 до 20 с (в мКл) равен...?) 200 ?) 150 ?) 100 ?) 300 Вопрос id:1824514 На рисунке показана ориентация векторов напряженности электрического ( ) и магнитного ( ) полей в электромагнитной волне. Вектор плотности потока энергии электромагнитного поля ориентирован в направлении ![]() ?) 4 ?) 3 ?) 2 ?) 1 Вопрос id:1824515 На рисунке показана ориентация векторов напряженности электрического ( ) и магнитного ( ) полей в электромагнитной волне. Вектор плотности потока энергии электромагнитного поля ориентирован в направлении ![]() ?) 1 ?) 2 ?) 3 ?) 4 Вопрос id:1824517 На рисунке показаны две проводящие параллельные бесконечные плоскости с поверхностными плотностями заряда и . Направление вектора градиента потенциала в точке А указывает стрелка?) 2 ?) 1 ?) 3 ?) 4 Вопрос id:1824518 На рисунке представлена зависимость магнитного потока, пронизывающего некоторый замкнутый контур, от времени. ЭДС индукции в контуре не возникает на интервале ![]() ?) D ?) В ?) E ?) А Вопрос id:1824521 На рисунке представлена мгновенная фотография электрической составляющей электромагнитной волны, переходящей из среды 1 в среду 2 перпендикулярно границе раздела АВ. Отношение скорости света в среде 2 к его скорости в среде 1 равно?) 1,75 ?) 0,84 ?) 1,5 ?) 0,67 Вопрос id:1824522 На рисунке представлена схема электрической цепи, включающая два идеальных источника тока с ЭДС Е1 и Е2 и три резистора сопротивлениями R1, R2 и R3. Направления токов в ветвях показаны стрелками. Направление обхода контуров - по часовой стрелке. Для контура ABCA уравнение по второму правилу Кирхгофа имеет вид ![]() ?) ![]() ?) ![]() ?) ![]() ?) ![]() Вопрос id:1824526 εОтсоединенный от источника тока плоский конденсатор, заполненный диэлектриком с диэлектрической проницаемостью ε , заряжен до разности потенциалов U. Если удалить диэлектрик, то разность потенциалов между обкладками конденсатора станет равной ?) `U/ε - 1 ` ?) `U/epsi ` ?) останется равной U ?) εU Вопрос id:1824527 Поле создано бесконечной равномерно заряженной плоскостью с поверхностной плотностью заряда -s. Укажите направление вектора градиента потенциала в точке А. ![]() ?) А - 4 ?) А - 1 ?) А - 2 ?) А - 3 Вопрос id:1824528 Поле создано равномерно заряженной сферической поверхностью с зарядом +q. Укажите направление вектора градиента потенциала в точке А. ![]() ?) А - 1 ?) А - 3 ?) А - 4 ?) А - 2 Вопрос id:1824529 Поле создано равномерно заряженной сферической поверхностью с зарядом -q. Укажите направление вектора градиента потенциала в точке А. ![]() ?) А - 1 ?) А - 2 ?) А - 4 ?) А - 3 Вопрос id:1824530 Поток вектора напряженности электрического поля через сферическую поверхность равен ФЕ . Внутри сферы добавили заряд q, а снаружи - -q. При этом поток вектора напряженности электрического поля через сферическую поверхность?) увеличился ?) не изменился ?) уменьшился |
Copyright tests.ithead.ru 2013-2026
- угол дифракции).



2
/4
. Учитывая, что постоянная Планка
, неопределенность скорости
(в м/с) будет не менее



, угол между плоскостями пропускания поляризаторов равен
. Согласно закону Малюса интенсивность света после первого поляризатора равна ...



и
(
) верно представлено на рисунке



, входящей в уравнение Шрёдингера, можно определить
и
, а их постоянные
и
, соответственно. При нормальном падении света на дифракционную решетку 1 получено изображение в максимуме m, показанное на рисунке 1. После того, как дифракционную решетку 1 поменяли на решетку 2, изображение максимума m стало таким, как показано на рисунке 2. Постоянная решетки и число щелей у этих решеток соотносятся следующим образом 
; 
; 
; 
; 
, где U - потенциальная энергия микрочастицы. Электрону в атоме водорода соответствует уравнение



, где U - потенциальная энергия микрочастицы. Электрону, движущемуся в одномерной потенциальной яме с бесконечно высокими стенками, соответствует уравнение











и
причем
. На пластинку нормально падает свет с длиной волны
.
Разность хода интерферирующих отраженных лучей равна



подлетает к потенциальному барьеру высотой
. Для области III уравнение Шредингера имеет вид 



















представлена зависимость амплитуды колебаний груза на пружине с жесткостью k = 10Н/м от частоты внешней силы. Масса колеблющегося груза равна
представлена зависимость относительной амплитуды колебаний силы тока в катушке индуктивностью 1мГн, включенной в колебательный контур. Емкость конденсатора этого контура равна
). Индукция
результирующего магнитного поля равна нулю в некоторой точке интервала 
Участок
соответствует
Заряд, прошедший по проводнику в интервале времени от 5 до 15 с (в мКл) равен
Заряд, прошедший по проводнику в интервале времени от 10 до 20 с (в мКл) равен...
) и магнитного (
) полей в электромагнитной волне. Вектор плотности потока энергии электромагнитного поля ориентирован в направлении 
) и магнитного (
) полей в электромагнитной волне. Вектор плотности потока энергии электромагнитного поля ориентирован в направлении 
и
.
Направление вектора градиента потенциала в точке А указывает стрелка
Отношение скорости света в среде 2 к его скорости в среде 1 равно







. Внутри сферы добавили заряд q, а снаружи - -q. При этом поток вектора напряженности электрического поля через сферическую поверхность