Тесты онлайн, бесплатный конструктор тестов. Психологические тестирования, тесты на проверку знаний.
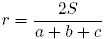
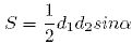
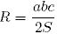
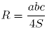
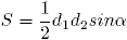
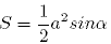
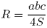
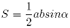
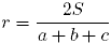
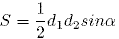
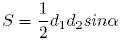
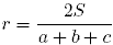
Список вопросов базы знанийМатематикаВопрос id:367046 Тема/шкала: Геометрия Найдите площадь параллелограмма, построенного на векторах и , если они составляют угол 30° и * = 2√3?) √3/2 ?) 2√3 ?) 1 ?) 2 Вопрос id:367047 Тема/шкала: Геометрия Какие из следующих утверждений правильны? ?) радиус описанной окружности треугольника , где а, b, c - стороны треугольника, а S его площадь?) площадь ромба можно найти по формуле S = a2sinα, где а - сторона ромба, α - между соседними сторонами ?) площади подобных фигур относятся как квадраты их соответствующих линейных размеров Вопрос id:367048 Тема/шкала: Геометрия Какие из следующих утверждений правильны? ?) радиус вписанной окружности треугольника , где а, b, c - стороны треугольника, а S его площадь;?) площадь ромба можно найти по формуле , где а сторона ромба, α угол между соседними сторонами?) площадь кругового сектора вычисляется по формуле , где R радиус круга, α градусная мера соответствующего центрального углаВопрос id:367049 Тема/шкала: Геометрия Какие из следующих утверждений неправильны? ?) площадь треугольника можно найти по формуле S = absinα, где а и b стороны треугольника, α угол между а и b ?) площади подобных фигур относятся как квадраты их соответствующих линейных размеров ?) радиус вписанной окружности треугольника , где а, b, с - стороны треугольника, а S его площадьВопрос id:367050 Тема/шкала: Геометрия Какие из следующих утверждений неправильны? ?) радиус вписанной окружности треугольника , где а, b, c - стороны треугольника, а S - его площадь?) площадь кругового сектора вычисляется по формуле , где R - радиус круга, α - градусная мера соответствующего центрального угла?) площадь выпуклого четырехугольника можно найти по формуле , где d1 и d2 диагонали четырехугольника, α угол между d1 и d2Вопрос id:367051 Тема/шкала: Геометрия Какие из следующих утверждений правильны? ?) площадь параллелограмма можно найти по формуле , где а и b соседние стороны параллелограмма, α - угол между а и b?) площадь кругового сектора вычисляется по формуле , где R - радиус круга, α - градусная мера соответствующего центрального угла?) радиус вписанной окружности треугольника , где а, b, c - стороны треугольника, а S - его площадьВопрос id:367052 Тема/шкала: Геометрия Какие из следующих утверждений неправильны? ?) площадь кругового сектора вычисляется по формуле , где R - радиус круга, α - градусная мера соответствующего центрального угла?) площадь ромба можно найти по формуле , где а - сторона ромба, α - угол между соседними сторонами?) радиус описанной окружности треугольника , где а, b, с - стороны треугольника, а S - его площадьВопрос id:367053 Тема/шкала: Геометрия Какие из следующих утверждений правильны? ?) радиус описанной окружности треугольника , где а, b, с - стороны треугольника, а S - его площадь?) площадь выпуклого четырехугольника можно найти по формуле , где d1 и d2 - диагонали четырехугольника, α - угол между d1 и d2?) радиус вписанной окружности треугольника , где а, b, с- стороны треугольника, а S - его площадьВопрос id:367054 Тема/шкала: Геометрия Какие из следующих утверждений правильны? ?) площадь параллелограмма можно найти по формуле S = absinα, где а и b - соседние стороны параллелограмма, α - угол между а и b ?) площадь ромба можно найти по формуле , где а - сторона ромба, α - между соседними сторонами?) радиус вписанной окружности треугольника , где а, b, с - стороны треугольника, а S - его площадь?) площадь выпуклого четырехугольника можно найти по формуле , где d1 и d2 - диагонали четырехугольника, α - угол между d1 и d2Вопрос id:367055 Тема/шкала: Геометрия Какие из следующих утверждений неправильны? ?) площадь треугольника можно найти по формуле , где а и b - стороны треугольника, α - угол между а и b?) площади подобных фигур относятся как их соответствующие линейные размеры ?) площадь параллелограмма можно найти по формуле , где а и b - соседние стороны параллелограмма, α - угол между а и bВопрос id:367056 Тема/шкала: Геометрия Какие из следующих утверждений правильны? ?) площадь кругового сектора вычисляется по формуле , где R - радиус круга, α - градусная мера соответствующего центрального угла?) радиус описанной окружности треугольника , где а, b, c - стороны треугольника, а S - его площадь?) площади подобных фигур относятся как квадраты их соответствующих линейных размеров ?) площадь ромба можно найти по формуле , где а - сторона ромба, α - угол между соседними сторонамиВопрос id:367057 Тема/шкала: Геометрия Какие из следующих утверждений правильны? ?) площади подобных фигур относятся как их соответствующие линейные размеры ?) радиус описанной окружности треугольника , где а, b, c - стороны треугольника, а S - его площадь?) площадь треугольника можно найти по формуле , где а и b - стороны треугольника, α - угол между а и bВопрос id:367058 Тема/шкала: Геометрия Какие из следующих утверждений правильны? ?) площадь параллелограмма можно найти по формуле S = absinα, где а и b - соседние стороны параллелограмма, α - угол между а и b ?) площадь выпуклого четырехугольника можно найти по формуле , где d-, и d2 - диагонали четырехугольника, α - между d1 и d2?) площадь треугольника можно найти по формуле S = 1/2absinα, где а и b - стороны треугольника, α - угол между а и b Вопрос id:367059 Тема/шкала: Геометрия Какие из следующих утверждений правильны? ?) площадь кругового сектора вычисляется по , где R - радиус круга, α - градусная мера соответствующего центрального угла?) радиус описанной окружности треугольника , где а, b, c - стороны треугольника, а S - его площадь?) площади подобных фигур относятся как квадраты их соответствующих линейных размеров ?) площадь треугольника можно найти по формуле , где а и b - стороны треугольника, α - угол между а и bВопрос id:367060 Тема/шкала: Геометрия Какие из следующих утверждений правильны? ?) площадь кругового сектора вычисляется по формуле , где R - радиус круга, α - градусная мера соответствующего центрального угла?) площади подобных фигур относятся как их соответствующие линейные размеры ?) площадь выпуклого четырехугольника можно найти по формуле , где d1 и d2 диагонали четырехугольника, а - угол между d1 и d2?) площадь ромба можно найти по формуле S = a2sinα, где а - сторона ромба, α - угол между соседними сторонами Вопрос id:367061 Тема/шкала: Геометрия Какие из следующих утверждений неправильны? ?) площадь выпуклого четырехугольника можно найти по формуле , где d1 и d2 - диагонали четырехугольника, α - угол между d1 и d2?) площади подобных фигур относятся как их соответствующие линейные размеры ?) радиус вписанной окружности треугольника , где а, b, c - стороны треугольника, а S - его площадьВопрос id:367062 Тема/шкала: Геометрия Какие из следующих утверждений правильны? ?) площадь кругового сектора вычисляется по формуле , где R - радиус круга, а - градусная мера соответствующего центрального угла?) радиус описанной окружности треугольника , где а, b, c - стороны треугольника, а S - его площадь?) радиус вписанной окружности треугольника , где а, b, c - стороны треугольника, а S - его площадь?) площадь треугольника можно найти по формуле , где а и b - стороны треугольника, α - угол между а и bВопрос id:367063 Тема/шкала: Геометрия Какие из следующих утверждений неправильны? ?) площадь кругового сектора вычисляется по формуле , где R - радиус круга, α - градусная мера соответствующего центрального угла?) площадь выпуклого четырехугольника можно найти по формуле , где d1 и d2 - диагонали четырехугольника, α - угол между d1 и d2 ?) площадь параллелограмма можно найти по формуле S = absinα, где а и b - соседние стороны параллелограмма, α - угол между а и b Вопрос id:367065 Тема/шкала: Геометрия Какие из следующих утверждений неправильны? ?) площади подобных фигур относятся как их соответствующие линейные размеры ?) радиус вписанной окружности треугольника , где а, b, c - стороны треугольника, а S - его площадь?) площадь параллелограмма можно найти по формуле S = absinα, где а и b - соседние стороны параллелограмма, α - угол между а и b Вопрос id:367066 Тема/шкала: Геометрия Какие из следующих утверждений правильны? ?) площадь треугольника можно найти по формуле S = absinα, где а и b - стороны треугольника, α - угол между а и b ?) площадь ромба можно найти по формуле S = a2sinα, где а - сторона ромба, α - угол между соседними сторонами ?) площадь выпуклого четырехугольника можно найти по формуле , где d1 и d2 - диагонали четырехугольника, α - угол между d1 и d2?) площадь параллелограмма можно найти по формуле S = absinα, где а и b - соседние стороны параллелограмма, α угол между а и b Вопрос id:367067 Тема/шкала: Геометрия Какие из следующих утверждений неправильны? ?) радиус описанной окружности треугольника , где а, b, c - стороны треугольника, а S - его площадь?) площадь ромба можно найти по формуле , где а сторона ромба, α угол между соседними сторонами?) площадь кругового сектора вычисляется по формуле , где R радиус круга, α градусная мера соответствующего центрального углаВопрос id:367068 Тема/шкала: Геометрия Какие из следующих утверждений правильны? ?) площади подобных фигур относятся как квадраты их соответствующих линейных размеров ?) радиус вписанной окружности треугольника , где а, b, c - стороны треугольника, а S - его площадь?) площадь кругового сектора вычисляется по формуле , где R - радиус круга, α градусная мера соответствующего центрального угла?) площадь треугольника можно найти по формуле , где а и b - стороны треугольника, α - угол между а и bВопрос id:367069 Тема/шкала: Геометрия Какие из следующих утверждений правильны? ?) площадь ромба можно найти по формуле , где а - сторона ромба, α - угол между соседними сторонами?) площадь параллелограмма можно найти по формуле S = absinα, где а и b - соседние стороны параллелограмма, α - угол между а и b ?) радиус описанной окружности треугольника , где а, b, c - стороны треугольника, а S - его площадь?) площадь кругового сектора вычисляется по формуле , где R - радиус круга, α - градусная мера соответствующего центрального углаВопрос id:367070 Тема/шкала: Геометрия Какие из следующих утверждений неправильны? ?) площади подобных фигур относятся как их соответствующие линейные размеры ?) площадь параллелограмма можно найти по формуле , где а и b - соседние стороны параллелограмма, α - угол между а и b?) радиус вписанной окружности треугольника , где а, b, c - стороны треугольника, а S - его площадьВопрос id:367071 Тема/шкала: Геометрия Какие из следующих утверждений правильны? ?) радиус вписанной окружности треугольника , где а, b, с - стороны треугольника, а S - его площадь?) площади подобных фигур относятся как квадраты их соответствующих линейных размеров ?) площадь ромба можно найти по формуле , где а - сторона ромба, α - угол между соседними сторонами?) площадь параллелограмма можно найти по формуле S = absinα, где а и b - соседние стороны параллелограмма, α - угол между а и b Вопрос id:367072 Тема/шкала: Геометрия Какие из следующих утверждений правильны? ?) площади подобных фигур относятся как их соответствующие линейные размеры ?) площадь треугольника можно найти по формуле S = 1/2absinα, где а и b - стороны треугольника, α - угол между а и b ?) радиус описанной окружности треугольника , где а, b, с - стороны треугольника, а S - его площадьВопрос id:367073 Тема/шкала: Геометрия Какие из следующих утверждений правильны? ?) площади подобных фигур относятся как квадраты их соответствующих линейных размеров ?) радиус описанной окружности треугольника , где а, b, с - стороны треугольника, а S - его площадь?) площадь ромба можно найти по формуле S = a2sinα, где а - сторона ромба, α - угол между соседними сторонами Вопрос id:367074 Тема/шкала: Геометрия Какие из следующих утверждений правильны? ?) радиус вписанной окружности треугольника , где а, b, c - стороны треугольника, а S - его площадь?) площадь ромба можно найти по формуле , где а - сторона ромба, α - угол между соседними сторонами?) площадь кругового сектора вычисляется по формуле , где R - радиус круга, α - градусная мера соответствующего центрального углаВопрос id:367075 Тема/шкала: Геометрия Какие из следующих утверждений правильны? ?) площадь параллелограмма можно найти по формуле S = absinα, где а и b - соседние стороны параллелограмма, α - угол между а и b ?) площадь выпуклого четырехугольника можно найти по формуле , где d1 и d2 - диагонали четырехугольника, α - угол между d1 и d2?) площадь треугольника можно найти по формуле S = 1/2absinα, где а и b - стороны треугольника, α - угол между а и b Вопрос id:367077 Тема/шкала: Геометрия Какие из следующих утверждений правильны? ?) радиус описанной окружности треугольника , где а, b, c - стороны треугольника, а S - его площадь?) площадь выпуклого четырехугольника можно найти по формуле , где d1 и d2 диагонали четырехугольника, α - угол между d1 и d2?) радиус вписанной окружности треугольника , где а, b, c - стороны треугольника, а S - его площадьВопрос id:367078 Тема/шкала: Геометрия Какие из следующих утверждений неправильны? ?) площадь выпуклого четырехугольника можно найти по формуле , где d1 и d2 - диагонали четырехугольника, α - угол между d1 и d2?) радиус описанной окружности треугольника , где а, b, с - стороны треугольника, а S - его площадь?) площадь кругового сектора вычисляется по формуле , где R - радиус круга, α - градусная мера соответствующего центрального углаВопрос id:367079 Тема/шкала: Геометрия Какие из следующих утверждений правильны? ?) радиус описанной окружности треугольника , где а, b, с - стороны треугольника, а S - его площадь?) площадь треугольника можно найти по формуле , где а и b - стороны треугольника, α - угол между а и b?) площадь кругового сектора вычисляется по формуле , где R - радиус круга, α - градусная мера соответствующего центрального углаВопрос id:367080 Тема/шкала: Геометрия Какие из следующих утверждений правильны? ?) радиус вписанной окружности треугольника , где а, b, с - стороны треугольника, а S - его площадь?) площадь параллелограмма можно найти по формуле S = absinα, где а и b - соседние стороны параллелограмма, α - угол между а и b ?) площадь кругового сектора вычисляется по формуле , где R - радиус круга, α - градусная мера соответствующего центрального углаВопрос id:367081 Тема/шкала: Геометрия Какие из следующих утверждений неправильны? ?) площадь выпуклого четырехугольника можно найти по формуле , где d1 и d2 - диагонали четырехугольника, α - угол между d1 и d2?) площадь параллелограмма можно найти по формуле S = 1/2absinα, где а и b - соседние стороны параллелограмма, α - угол между а и b ?) площадь ромба можно найти по формуле S = a2sinα, где а - сторона ромба, a - угол между соседними сторонами Вопрос id:367082 Тема/шкала: Геометрия Какие из следующих утверждений правильны? ?) площадь параллелограмма можно найти по формуле S = absinα, где а и b - соседние стороны параллелограмма, α - угол между а и b ?) радиус вписанной окружности треугольника , где а, b, с - стороны треугольника, а S - его площадь?) площадь кругового сектора вычисляется по формуле , где R - радиус круга, α - градусная мера соответствующего центрального углаВопрос id:367083 Тема/шкала: Геометрия Какие из следующих утверждений неправильны? ?) площадь выпуклого четырехугольника можно найти по формуле , где d1 и d2 - диагонали четырехугольника, α - угол между d1 и d2?) площадь параллелограмма можно найти по формуле S = 1/2absinα, где а и b - соседние стороны параллелограмма, α - угол между а и b ?) площадь ромба можно найти по формуле S = a2sinα, где а - сторона ромба, α - угол между соседними сторонами Вопрос id:367084 Тема/шкала: Геометрия Какие из следующих утверждений правильны? ?) площадь треугольника можно найти по формуле S = 1/2absinα, где а и b - стороны треугольника, α - угол между а и b ?) площадь кругового сектора вычисляется по формуле , где R - радиус круга, α - градусная мера соответствующего центрального угла?) радиус описанной окружности треугольника , где а, b, с - стороны треугольника, а S - его площадьВопрос id:367085 Тема/шкала: Геометрия Какие из следующих утверждений правильны? ?) площадь параллелограмма можно найти по формуле S = 1/2absinα, где а и b - соседние стороны параллелограмма, α - угол между а и b ?) площадь кругового сектора вычисляется по формуле , где R - радиус круга, α - градусная мера соответствующего центрального угла?) радиус описанной окружности треугольника , где а, b, с - стороны треугольника, а S - его площадьВопрос id:367086 Тема/шкала: Геометрия Какие из следующих утверждений неправильны? ?) радиус описанной окружности треугольника , где а, b, с - стороны треугольника, а S - его площадь?) площадь выпуклого четырехугольника можно найти по формуле , где d1 и d2 - диагонали четырехугольника, α - угол между d1 и d2?) площадь кругового сектора вычисляется по формуле , где R - радиус круга, α - градусная мера соответствующего центрального углаВопрос id:367087 Тема/шкала: Геометрия Сторона правильного шестиугольника равна 8√2. Найдите площадь кольца между окружностями, одна из которых описана около этого шестиугольника, а другая вписана в него ?) 32π ?) 24π ?) 13π ?) 8π Вопрос id:367088 Тема/шкала: Геометрия Гипотенуза прямоугольного треугольника √182, а катеты относятся как 2:3. Найдите площадь треугольника ?) 24 ?) 42 ?) 39 ?) 36 Вопрос id:367089 Тема/шкала: Геометрия В равносторонней трапеции меньшее основание и боковые стороны равны 5. Высота трапеции равна 4. Найдите площадь трапеции ?) 32 ?) 22 ?) 40 ?) 20 Вопрос id:367090 Тема/шкала: Геометрия Произведение диагоналей ромба равно 90. Высота ромба равна 5. Найдите периметр ромба ?) 32 ?) 36 ?) 16 ?) 28 Вопрос id:367091 Тема/шкала: Геометрия Сторона ромба равна 10 и одна из диагоналей 16. Найдите площадь ромба ?) 64 ?) 24 ?) 72 ?) 96 Вопрос id:367092 Тема/шкала: Геометрия Сторона ΔАВС пересечена прямой MN||АC, которая делит сторону АВ на отрезки ВМ=2 и АМ=4. Площадь ΔMBN равна 18. Чему равна площадь Δ4АВС? ?) 96 ?) 144 ?) 162 ?) 108 Вопрос id:367093 Тема/шкала: Геометрия В параллелограмме АBCD OB⊥АС, АО=8, ОС=5 и ВО=4. Найдите площадь параллелограмма. ![]() ?) 52 ?) 56 ?) 28 ?) 50 Вопрос id:367094 Тема/шкала: Геометрия Один из катетов прямоугольного треугольника 16, а гипотенуза относится к другому катету как 5:3. Найдите площадь треугольника ?) 96 ?) 24 ?) 72 ?) 12 Вопрос id:367095 Тема/шкала: Геометрия Площадь ромба равна 18√3, а сторона его 6. Чему может равняться тупой угол ромба? ?) 135° ?) 150° ?) 120° ?) 140° Вопрос id:367096 Тема/шкала: Геометрия Расстояние отточки пересечения диагоналей прямоугольника до его большей стороны равно 3. Найдите площадь прямоугольника, если его большая сторона равна 13 ?) 72 ?) 48 ?) 78 ?) 96 Вопрос id:367097 Тема/шкала: Геометрия Один из углов ромба в пять раз больше, чем другой, а его периметр равен 32. Найдите площадь ромба ?) 32 ?) 24 ?) 48 ?) 64 |
Copyright tests.ithead.ru 2013-2026
и
, если они составляют угол 30° и
*
= 2√3
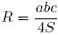
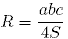
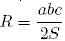
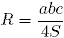
, где а, b, c - стороны треугольника, а S его площадь
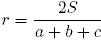
, где а, b, c - стороны треугольника, а S его площадь;
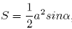
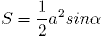
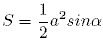
, где а сторона ромба, α угол между соседними сторонами
, где R радиус круга, α градусная мера соответствующего центрального угла
, где а, b, с - стороны треугольника, а S его площадь
, где а, b, c - стороны треугольника, а S - его площадь
, где R - радиус круга, α - градусная мера соответствующего центрального угла
, где d1 и d2 диагонали четырехугольника, α угол между d1 и d2
, где а и b соседние стороны параллелограмма, α - угол между а и b
, где R - радиус круга, α - градусная мера соответствующего центрального угла
, где а, b, c - стороны треугольника, а S - его площадь
, где R - радиус круга, α - градусная мера соответствующего центрального угла
, где а - сторона ромба, α - угол между соседними сторонами
, где а, b, с - стороны треугольника, а S - его площадь
, где а, b, с - стороны треугольника, а S - его площадь
, где d1 и d2 - диагонали четырехугольника, α - угол между d1 и d2
, где а, b, с- стороны треугольника, а S - его площадь
, где а - сторона ромба, α - между соседними сторонами
, где а, b, с - стороны треугольника, а S - его площадь
, где d1 и d2 - диагонали четырехугольника, α - угол между d1 и d2
, где а и b - стороны треугольника, α - угол между а и b
, где а и b - соседние стороны параллелограмма, α - угол между а и b
, где R - радиус круга, α - градусная мера соответствующего центрального угла
, где а, b, c - стороны треугольника, а S - его площадь
, где а - сторона ромба, α - угол между соседними сторонами
, где а, b, c - стороны треугольника, а S - его площадь
, где а и b - стороны треугольника, α - угол между а и b
, где d-, и d2 - диагонали четырехугольника, α - между d1 и d2
, где R - радиус круга, α - градусная мера соответствующего центрального угла
, где а, b, c - стороны треугольника, а S - его площадь
, где а и b - стороны треугольника, α - угол между а и b
, где R - радиус круга, α - градусная мера соответствующего центрального угла
, где d1 и d2 диагонали четырехугольника, а - угол между d1 и d2
, где d1 и d2 - диагонали четырехугольника, α - угол между d1 и d2
, где а, b, c - стороны треугольника, а S - его площадь
, где R - радиус круга, а - градусная мера соответствующего центрального угла
, где а, b, c - стороны треугольника, а S - его площадь
, где а, b, c - стороны треугольника, а S - его площадь
, где а и b - стороны треугольника, α - угол между а и b
, где R - радиус круга, α - градусная мера соответствующего центрального угла
, где а, b, c - стороны треугольника, а S - его площадь
, где d1 и d2 - диагонали четырехугольника, α - угол между d1 и d2
, где а, b, c - стороны треугольника, а S - его площадь
, где а сторона ромба, α угол между соседними сторонами
, где R радиус круга, α градусная мера соответствующего центрального угла
, где а, b, c - стороны треугольника, а S - его площадь
, где R - радиус круга, α градусная мера соответствующего центрального угла
, где а и b - стороны треугольника, α - угол между а и b
, где а - сторона ромба, α - угол между соседними сторонами
, где а, b, c - стороны треугольника, а S - его площадь
, где R - радиус круга, α - градусная мера соответствующего центрального угла
, где а и b - соседние стороны параллелограмма, α - угол между а и b
, где а, b, c - стороны треугольника, а S - его площадь
, где а, b, с - стороны треугольника, а S - его площадь
, где а - сторона ромба, α - угол между соседними сторонами
, где а, b, с - стороны треугольника, а S - его площадь
, где а, b, с - стороны треугольника, а S - его площадь
, где а, b, c - стороны треугольника, а S - его площадь
, где а - сторона ромба, α - угол между соседними сторонами
, где R - радиус круга, α - градусная мера соответствующего центрального угла
, где d1 и d2 - диагонали четырехугольника, α - угол между d1 и d2
, где а, b, c - стороны треугольника, а S - его площадь
, где d1 и d2 диагонали четырехугольника, α - угол между d1 и d2
, где а, b, c - стороны треугольника, а S - его площадь
, где d1 и d2 - диагонали четырехугольника, α - угол между d1 и d2
, где а, b, с - стороны треугольника, а S - его площадь
, где R - радиус круга, α - градусная мера соответствующего центрального угла
, где а, b, с - стороны треугольника, а S - его площадь
, где а и b - стороны треугольника, α - угол между а и b
, где R - радиус круга, α - градусная мера соответствующего центрального угла
, где а, b, с - стороны треугольника, а S - его площадь
, где R - радиус круга, α - градусная мера соответствующего центрального угла
, где d1 и d2 - диагонали четырехугольника, α - угол между d1 и d2
, где а, b, с - стороны треугольника, а S - его площадь
, где R - радиус круга, α - градусная мера соответствующего центрального угла
, где d1 и d2 - диагонали четырехугольника, α - угол между d1 и d2
, где R - радиус круга, α - градусная мера соответствующего центрального угла
, где а, b, с - стороны треугольника, а S - его площадь
, где R - радиус круга, α - градусная мера соответствующего центрального угла
, где а, b, с - стороны треугольника, а S - его площадь
, где а, b, с - стороны треугольника, а S - его площадь
, где d1 и d2 - диагонали четырехугольника, α - угол между d1 и d2
, где R - радиус круга, α - градусная мера соответствующего центрального угла