Тесты онлайн, бесплатный конструктор тестов. Психологические тестирования, тесты на проверку знаний.
Список вопросов базы знанийМатематикаВопрос id:366340 Тема/шкала: Элементарная математика Упростите выражение: a(b + c - bс) - b(с + а - ас) + с(b - а) ?) 2ас ?) -2bс ?) -2abc ?) 0 Вопрос id:366341 Тема/шкала: Элементарная математика Вычислите:
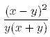
?) 3,2 ?) 2,5 ?) 3 ?) 2 Вопрос id:366342 Тема/шкала: Элементарная математика Упростите выражение:
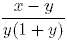
?) 1/y ?) ![]() ?) ?) Вопрос id:366343 Тема/шкала: Элементарная математика Упростите выражение: а(b - с) + b(с -a) -c(b-a) ?) - с(b - а)-2ас ?) 2 ?) 2аb ?) 0 Вопрос id:366344 Тема/шкала: Элементарная математика Упростите выражение:
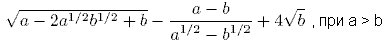
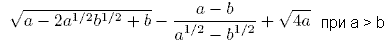
?) -2b1/2 ?) 2а1/2 ?) -2а1/2 ?) 2b1/2 Вопрос id:366345 Тема/шкала: Элементарная математика Упростите выражение:
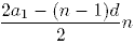
?) 2а1/2 - 2b1/2 ?) 2b1/2 ?) 2а1/2 ?) -2b1/2 Вопрос id:366346 Тема/шкала: Элементарная математика Разложите на множители: 9 - (2с - 1)2 ?) 4(с + 1)(2 - с) ?) 2(с - 1)(с + 2) ?) 4(с - 1)(с + 1) ?) (3с - 1)(с + 4) Вопрос id:366347 Тема/шкала: Элементарная математика Одна сторона треугольника х см (х > 7), вторая на 4 см меньше, а третья на 3 см больше первой. Найдите периметр треугольника ?) 3х + 7 ?) 3х - 3 ?) 3х - 1 ?) 3х + 4 Вопрос id:366348 Тема/шкала: Элементарная математика Упростите выражение:
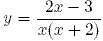
?) а + 1,3 ?) 1 2/3а - 2/5 ?) 0,6 + а ?) а + 2/5 Вопрос id:366349 Тема/шкала: Элементарная математика В каких координатных четвертях расположен график функции у = ах2+ bх + с, если а > 0 и b2- 4ас < 0? ?) I, IV ?) I, II ?) I, II, III и IV ?) только в IV Вопрос id:366350 Тема/шкала: Элементарная математика Укажите область определения функции:
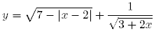
?) (-∞; 0) U (2; ∞) ?) (-∞; 1,5) U (1,5; ∞) ?) (-∞; —2) U (—2; 0) U (0; ∞) ?) (-∞; —2) U (0; ∞) Вопрос id:366351 Тема/шкала: Элементарная математика Какова область определения функции: f(x) = ?) (—∞; 8] ?) (-∞;-2) U (-2; 8) ?) (-∞; 8) ?) [—8; —2) U (—2; ∞) Вопрос id:366352 Тема/шкала: Элементарная математика Найдите значения а и b, если функции f(х) = 2 - ах2 и g(х) = 2b + х принимают одинаковые значения при x = 1 и х = 0 ?) а = -1, b = -1 ?) а = -1, b = 1 ?) а = 1, b = 1 ?) а = 1, b = -1 Вопрос id:366353 Тема/шкала: Элементарная математика Укажите область определения функции:
?) [-5; 1,5) ?) (-1,5; 9] ?) (-∞; -1,5) ?) [-7; -1,5) Вопрос id:366354 Тема/шкала: Элементарная математика Укажите функцию обратную функции:
?) ?) ?) ?) y = x - 2 Вопрос id:366355 Тема/шкала: Элементарная математика Найдите множество значений функции: у = -х2 + 6х - 6 ?) (-3; ∞) ?) (-∞; -3) ?) [-3; ∞) ?) (-∞; 3] Вопрос id:366356 Тема/шкала: Элементарная математика Найдите наибольшее значение ху, если известно, что 2х + у = 2√6 ?) 3 ?) 4,5 ?) 2,5 ?) -2,5 Вопрос id:366357 Тема/шкала: Элементарная математика Вычислите f(4 - √11), если f(х) = х2 - 8х + 8 ?) 3 ?) 2 + √11 ?) 2 ?) 2 - √2 Вопрос id:366358 Тема/шкала: Элементарная математика Найдите область определения функции:
?) (-∞; ∞) ?) (1,5; ∞) ?) (-∞; 1,5) ?) (0; 3) Вопрос id:366359 Тема/шкала: Математический анализ Решите неравенство 2 * (х - 1 )(х + 1) - х(х + 3) < 2 - 3х ?) (-2;2) ?) (1;∞) ?) (0;4) ?) (-∞; 2) Вопрос id:366360 Тема/шкала: Математический анализ Сколько натуральных решений имеет система?
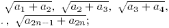
?) 1 ?) 3 ?) 4 ?) 2 Вопрос id:366361 Тема/шкала: Математический анализ Найдите сумму всех целых решений неравенства: (x - 4) / (2x + 6) ≤ 0 ?) 8 ?) 6 ?) 5 ?) 7 Вопрос id:366362 Тема/шкала: Математический анализ Найдите среднее арифметическое целых решений системы:
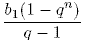
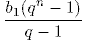
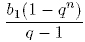
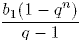
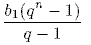
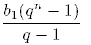
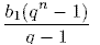
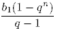
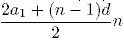
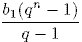
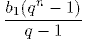
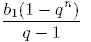
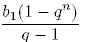
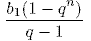
?) 2 ?) 2,5 ?) 0,75 ?) 1,5 Вопрос id:366363 Тема/шкала: Математический анализ Решите неравенство: |х - 4| > |х + 4| ?) (-∞; 0) ?) (-4; ∞) ?) (0; 4) U (4; ∞) ?) (-4; 4) Вопрос id:366364 Тема/шкала: Математический анализ Решите неравенство^ |х - 4| < |х + 4| ?) (-∞; -4) U (-4; 0) ?) (-4; 4) ?) (0; ∞) ?) (0; 4) U (4; ∞) Вопрос id:366365 Тема/шкала: Математический анализ Сколько всего дробей со знаменателем 33, которые больше 9/11 и меньше 1? ?) 6 ?) 1 ?) 5 ?) 2 Вопрос id:366366 Тема/шкала: Математический анализ При каких значениях у значения дроби (2y + 1) / 3 принадлежат промежутку (-1; 5/3)? ?) (-1/2;1) ?) (0;2) ?) (-2;2) ?) (-1;2) Вопрос id:366367 Тема/шкала: Математический анализ Укажите верные соотношения для чисел а и b, удовлетворяющие условию а > b > 0. 1) а3 < ab2; 2) а4 ≥ a2b2; 3) a2b2 < b4; 4) 2/a < 2/b ?) 1;2 ?) 2;4 ?) 1 ?) 3 Вопрос id:366368 Тема/шкала: Математический анализ Какие из следующих утверждений неправильны? ?) для разности арифметической прогрессии справедливо соотношение d = (an+a1)/(n-1), n≠1 ?) числа sin(α + β), sinαcosβ и sin(α - β) являются последовательными членами арифметической прогрессии ?) сумму первых n членов арифметической прогрессии можно найти по формуле Sn = ?) сумма бесконечно убывающей геометрической прогрессии S равна S = b1/(q-1), где b1 и q - первый член и знаменатель геометрической прогрессии ?) сумму первых n членов геометрической прогрессии можно найти по формуле Sn = Вопрос id:366369 Тема/шкала: Математический анализ Какие из следующих утверждений неправильны? ?) для разности арифметической прогрессии справедливо соотношение d = (an+a1)/(n-1), n≠1 ?) числа sin(α + β), sinαcosβ и sin(α - β) являются последовательными членами арифметической прогрессии ?) сумму первых n членов арифметической прогрессии можно найти по формуле Sn = ?) сумма бесконечно убывающей геометрической прогрессии S равна S = b1/(q-1), где b1 и q - первый член и знаменатель геометрической прогрессии ?) сумму первых n членов геометрической прогрессии можно найти по формуле Sn = Вопрос id:366370 Тема/шкала: Математический анализ Какие из следующих утверждений неправильны? ?) для разности арифметической прогрессии справедливо соотношение d = (an-a1)/(n-1), n≠1 ?) числа sin(α + β), sin(α - β) и sinαcosβ являются последовательными членами арифметической прогрессии ?) сумму первых n членов арифметической прогрессии можно найти по формуле Sn = ?) сумма бесконечно убывающей геометрической прогрессии S равна S = b1/(q-1), где b1 и q - первый член и знаменатель геометрической прогрессии ?) сумму первых n членов геометрической прогрессии можно найти по формуле Sn = Вопрос id:366371 Тема/шкала: Математический анализ Какие из следующих утверждений неправильны? ?) для разности арифметической прогрессии справедливо соотношение d = (an+a1)/(n-1), n≠1 ?) числа sin(α + β), sinαcosβ и sin(α - β) являются последовательными членами арифметической прогрессии ?) сумму первых n членов арифметической прогрессии можно найти по формуле Sn = ?) сумма бесконечно убывающей геометрической прогрессии S равна S = b1/(1-q), где b1 и q - первый член и знаменатель геометрической прогрессии ?) сумму первых n членов геометрической прогрессии можно найти по формуле Sn = Вопрос id:366372 Тема/шкала: Математический анализ Дана арифметическая прогрессия a1,а2,...,аn (d≠0). Какие из следующих чисел составляют арифметическую прогрессию? ?) a1, a3, a5, ..., a2n-1 ?) a2, a4, a6, ..., a2n ?) ?) a1+a3, a3+a5, a5+a7, ..., a2n-3+a2n-1 ?) Вопрос id:366373 Тема/шкала: Математический анализ Какие из следующих утверждений неправильны? ?) для разности арифметической прогрессии справедливо соотношение d = (an+a1)/(n-1), n≠1 ?) числа sin(α + β), sin(α - β) и sinαcosβ являются последовательными членами арифметической прогрессии ?) сумму первых n членов арифметической прогрессии можно найти по формуле Sn = ?) сумма бесконечно убывающей геометрической прогрессии S равна S = b1/(q-1), где b1 и q - первый член и знаменатель геометрической прогрессии ?) сумму первых n членов геометрической прогрессии можно найти по формуле Sn = Вопрос id:366374 Тема/шкала: Математический анализ Какие из следующих утверждений неправильны? ?) для разности арифметической прогрессии справедливо соотношение d = (an-a1)/(n-1), n≠1 ?) числа sin(α + β), sin(α - β) и sinαcosβ являются последовательными членами арифметической прогрессии ?) сумму первых n членов арифметической прогрессии можно найти по формуле Sn = ?) сумма бесконечно убывающей геометрической прогрессии S равна S = b1/(q-1), где b1 и q - первый член и знаменатель геометрической прогрессии ?) сумму первых n членов геометрической прогрессии можно найти по формуле Sn = Вопрос id:366375 Тема/шкала: Математический анализ Какие из следующих утверждений правильны? ?) для разности арифметической прогрессии справедливо соотношение d = (an-a1)/(n-1), n≠1 ?) числа sin(α + β), sinαcosβ и sin(α - β) являются последовательными членами арифметической прогрессии ?) сумму первых n членов арифметической прогрессии можно найти по формуле Sn = ?) сумма бесконечно убывающей геометрической прогрессии S равна S = b1/(q-1), где b1 и q - первый член и знаменатель геометрической прогрессии; ?) сумму первых n членов геометрической прогрессии можно найти по формуле Sn = Вопрос id:366376 Тема/шкала: Математический анализ Какие из следующих утверждений неправильны? ?) для разности арифметической прогрессии справедливо соотношение d = (an+a1)/(n-1), n≠1 ?) числа sin(α + β), sin(α - β) и sinαcosβ являются последовательными членами арифметической прогрессии ?) сумму первых n членов арифметической прогрессии можно найти по формуле Sn = ?) сумма бесконечно убывающей геометрической прогрессии S равна S = b1/(1-q), где b1 и q - первый член и знаменатель геометрической прогрессии ?) сумму первых n членов геометрической прогрессии можно найти по формуле Sn = Вопрос id:366377 Тема/шкала: Математический анализ Какие из следующих утверждений правильны? ?) для разности арифметической прогрессии справедливо соотношение d = (an-a1)/(n-1), n≠1 ?) числа sin(α + β), sin(α - β) и sinαcosβ являются последовательными членами арифметической прогрессии ?) сумму первых n членов арифметической прогрессии можно найти по формуле Sn = ?) сумма бесконечно убывающей геометрической прогрессии S равна S = b1/(q-1), где b1 и q - первый член и знаменатель геометрической прогрессии ?) сумму первых n членов геометрической прогрессии можно найти по формуле Sn = Вопрос id:366378 Тема/шкала: Математический анализ Какие из следующих утверждений неправильны? ?) для разности арифметической прогрессии справедливо соотношение d = (an-a1)/(n-1), n≠1 ?) числа sin(α + β), sin(α - β) и sinαcosβ являются последовательными членами арифметической прогрессии ?) сумму первых n членов арифметической прогрессии можно найти по формуле Sn = ?) сумма бесконечно убывающей геометрической прогрессии S равна S = b1/(1-q), где b1 и q - первый член и знаменатель геометрической прогрессии ?) сумму первых n членов геометрической прогрессии можно найти по формуле Sn = Вопрос id:366379 Тема/шкала: Математический анализ Какие из следующих утверждений неправильны? ?) для разности арифметической прогрессии справедливо соотношение d = (an-a1)/(n-1), n≠1 ?) числа sin(α + β), sin(α - β) и sinαcosβ являются последовательными членами арифметической прогрессии ?) сумму первых n членов арифметической прогрессии можно найти по формуле Sn = ?) сумма бесконечно убывающей геометрической прогрессии S равна S = b1/(1-q), где b1 и q - первый член и знаменатель геометрической прогрессии ?) сумму первых n членов геометрической прогрессии можно найти по формуле Sn = Вопрос id:366380 Тема/шкала: Математический анализ Какие из формул верны для геометрической прогрессии? 1) bn = b1qn-1 2) b2n = bn-1 * bn+2 ?) 2;3 ?) 3 ?) 1;3 ?) 1 Вопрос id:366381 Тема/шкала: Математический анализ Какие из следующих утверждений правильны? ?) для разности арифметической прогрессии справедливо соотношение d = (an+a1)/(n-1), n≠1 ?) числа sin(α + β), sinαcosβ и sin(α - β) являются последовательными членами арифметической прогрессии ?) сумму первых n членов арифметической прогрессии можно найти по формуле Sn = ?) сумма бесконечно убывающей геометрической прогрессии S равна S = b1/(1-q), где b1 и q - первый член и знаменатель геометрической прогрессии; ?) сумму первых n членов геометрической прогрессии можно найти по формуле Sn = Вопрос id:366382 Тема/шкала: Математический анализ Какая последовательность является геометрической прогрессией? ?) an = 2/3 * 2n ?) аn = 3 * 2-n ?) bn = (-1/3)n + 1 Вопрос id:366383 Тема/шкала: Математический анализ Какие из следующих утверждений правильны? ?) для разности арифметической прогрессии справедливо соотношение d = (an+a1)/(n-1), n≠1 ?) числа sin(α + β), sinαcosβ и sin(α - β) являются последовательными членами арифметической прогрессии ?) сумму первых n членов арифметической прогрессии можно найти по формуле Sn = ?) сумма бесконечно убывающей геометрической прогрессии S равна S = b1/(q-1), где b1 и q - первый член и знаменатель геометрической прогрессии ?) сумму первых n членов геометрической прогрессии можно найти по формуле Sn = Вопрос id:366384 Тема/шкала: Математический анализ Какие из формул неверны для арифметической прогрессии? 1) a1 - 2a2 + a3 = 0; 2) a1 = a3 - a2; 3) n = - (an - a1 + d)/d ?) 2 ?) 1 ?) 2: 3 ?) 1; 2 Вопрос id:366385 Тема/шкала: Математический анализ Какие из следующих утверждений правильны? ?) для разности арифметической прогрессии справедливо соотношение d = (an+a1)/(n-1), n≠1 ?) числа sin(α + β), sinαcosβ и sin(α - β) являются последовательными членами арифметической прогрессии ?) сумму первых n членов арифметической прогрессии можно найти по формуле Sn = ?) сумма бесконечно убывающей геометрической прогрессии S равна S = b1/(1-q), где b1 и q - первый член и знаменатель геометрической прогрессии ?) сумму первых n членов геометрической прогрессии можно найти по формуле Sn = Вопрос id:366386 Тема/шкала: Математический анализ Какому из данных чисел равно число 0,(81)? ?) 9/11 ?) 14/18 ?) 24/27 ?) 7/10 Вопрос id:366387 Тема/шкала: Математический анализ Обратите периодическую дробь 0,2(6) в обыкновенную ?) 3/8 ?) 2/7 ?) 7/30 ?) 4/15 Вопрос id:366388 Тема/шкала: Математический анализ Какому из данных чисел равно число 0,(36)? ?) 2/3 ?) 4/11 ?) 4/18 ?) 1/9 Вопрос id:366389 Тема/шкала: Математический анализ Какие из следующих утверждений правильны? ?) для разности арифметической прогрессии справедливо соотношение d = (an+a1)/(n-1), n≠1 ?) числа sin(α + β), sinαcosβ и sin(α - β) являются последовательными членами арифметической прогрессии ?) сумму первых n членов арифметической прогрессии можно найти по формуле Sn = ?) сумма бесконечно убывающей геометрической прогрессии S равна S = b1/(1-q), где b1 и q - первый член и знаменатель геометрической прогрессии ?) сумму первых n членов геометрической прогрессии можно найти по формуле Sn = |
Copyright tests.ithead.ru 2013-2026

