Тесты онлайн, бесплатный конструктор тестов. Психологические тестирования, тесты на проверку знаний.
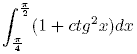
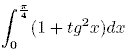
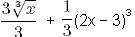
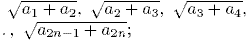
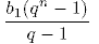
Список вопросов базы знанийМатематикаВопрос id:366390 Тема/шкала: Математический анализ Какие из следующих утверждений правильны? ?) для разности арифметической прогрессии справедливо соотношение d = (an-a1)/(n-1), n≠1 ?) числа sin(α + β), sin(α - β) и sinαcosβ являются последовательными членами арифметической прогрессии ?) сумму первых n членов арифметической прогрессии можно найти по формуле Sn = ?) сумма бесконечно убывающей геометрической прогрессии S равна S = b1/(1-q), где b1 и q - первый член и знаменатель геометрической прогрессии ?) сумму первых n членов геометрической прогрессии можно найти по формуле Sn = Вопрос id:366391 Тема/шкала: Математический анализ Дана арифметическая прогрессия a1,а2,...,аn (d≠0). Какие из следующих чисел не составляют арифметическую прогрессию? ?) a1, a3, a5, ..., a2n-1 ?) √a2, √a4, √a6, ..., √a2n ?) ?) ?) a2+a3, a3+a4, a4+a5, ..., a2n-2+a2n-1 Вопрос id:366392 Тема/шкала: Математический анализ Дана арифметическая прогрессия a1,а2,...,аn (d≠0). Какие из следующих чисел не составляют арифметическую прогрессию? ?) 1/a1, 1/a3, 1/a5, ..., 1/a2n-1 ?) √a2, √a4, √a6, ..., √a2n ?) ?) a1+a3, a3+a5, a5+a7, ..., a2n-3+a2n-1 ?) a2+a3, a3+a4, a4+a5, ..., a2n-2+a2n-1 Вопрос id:366393 Тема/шкала: Математический анализ Дана арифметическая прогрессия a1,а2,...,аn (d≠0). Какие из следующих чисел не составляют арифметическую прогрессию? ?) a1, a3, a5, ..., a2n-1 ?) √a2, √a4, √a6, ..., √a2n ?) a1+a2, a2+a3, a3+a4, ..., a2n-1+a2n ?) ?) Вопрос id:366394 Тема/шкала: Математический анализ Дана арифметическая прогрессия a1,а2,...,аn (d≠0). Какие из следующих чисел составляют арифметическую прогрессию? ?) a1, a3, a5, ..., a2n-1 ?) √a2, √a4, √a6, ..., √a2n ?) a1+a2, a2+a3, a3+a4, ..., a2n-1+a2n ?) ?) a2+a3, a3+a4, a4+a5, ..., a2n-2+a2n-1 Вопрос id:366395 Тема/шкала: Математический анализ Дана арифметическая прогрессия a1,а2,...,аn (d≠0). Какие из следующих чисел составляют арифметическую прогрессию? ?) 1/a1, 1/a3, 1/a5, ..., 1/a2n-1 ?) a2, a4, a6, ..., a2n ?) ?) a1+a3, a3+a5, a5+a7, ..., a2n-3+a2n-1 ?) a2+a3, a3+a4, a4+a5, ..., a2n-2+a2n-1 Вопрос id:366396 Тема/шкала: Математический анализ Дана арифметическая прогрессия a1,а2,...,аn (d≠0). Какие из следующих чисел составляют арифметическую прогрессию? ?) 1/a1, 1/a3, 1/a5, ..., 1/a2n-1 ?) a2, a4, a6, ..., a2n ?) a1+a2, a2+a3, a3+a4, ..., a2n-1+a2n ?) ?) a2+a3, a3+a4, a4+a5, ..., a2n-2+a2n-1 Вопрос id:366397 Тема/шкала: Математический анализ Дана арифметическая прогрессия a1,а2,...,аn (d≠0). Какие из следующих чисел составляют арифметическую прогрессию? ?) a1, a3, a5, ..., a2n-1 ?) √a2, √a4, √a6, ..., √a2n ?) a1+a2, a2+a3, a3+a4, ..., a2n-1+a2n ?) a1+a3, a3+a5, a5+a7, ..., a2n-3+a2n-1 ?) Вопрос id:366398 Тема/шкала: Математический анализ Какому из данных чисел равно число 0,(45)? ?) 12/27 ?) 1/2 ?) 10/18 ?) 5/11 Вопрос id:366399 Тема/шкала: Математический анализ Какие из следующих утверждений правильны? ?) для разности арифметической прогрессии справедливо соотношение d = (an-a1)/(n-1), n≠1 ?) числа sin(α + β), sin(α - β) и sinαcosβ#946; являются последовательными членами арифметической прогрессии ?) сумму первых n членов арифметической прогрессии можно найти по формуле Sn = ?) сумма бесконечно убывающей геометрической прогрессии S равна S = b1/(1-q), где b1 и q - первый член и знаменатель геометрической прогрессии ?) сумму первых n членов геометрической прогрессии можно найти по формуле Sn = Вопрос id:366400 Тема/шкала: Математический анализ Для какой из приведенных функций F(х) = 2cos2x - sinx + С является первообразной? ?) f(x) = -4sin2x - cosx ?) f(х) = -4sin2x + cosx ?) f(х) = 4sinx + cosx ?) f(х) = -2sin2x + cosx Вопрос id:366401 Тема/шкала: Математический анализ Найдите первообразную функции y = график которой проходит через точку (1; 1/6) ?) F(x) = ?) F(x) = ?) F(x) = ?) F(x) = Вопрос id:366402 Тема/шкала: Математический анализ Для какой из следующих функций: 1) у = -ctgx; 2) у = ctgx; 3) у = tgx; 4) у = -tgx функция F(х) = ln(1/cosx) + С является первообразной? ?) 4 ?) 2 ?) 1 ?) 3 Вопрос id:366403 Тема/шкала: Математический анализ Вычислите: ?) 1/2 ?) -1/4 ?) 1/4 ?) -1/2 Вопрос id:366404 Тема/шкала: Математический анализ Найдите общий вид первообразной для функции 2sinЗх ?) -2/3 co3х + С ?) -3/2 sin2х + С ?) 3/2 sin2х + С ?) 2/3 co3х + С Вопрос id:366405 Тема/шкала: Математический анализ Найдите первообразную функцию для функции f(х) = ?) -cosx + sinx + С ?) cosx - sinx + С ?) cosx + sinx + С ?) -cosx - sinx + С Вопрос id:366406 Тема/шкала: Математический анализ Функция у = f(х) имеет первообразную F(x) = 1/2*x2 - cosx + С. Зная это, найдите производную функции у = f(х) ?) 2sin2(π/4-x/2) ?) 2cos2(x/2) ?) 1 + 2cosx ?) 2sin2(x/2) Вопрос id:366407 Тема/шкала: Математический анализ Укажите функцию F(х), если F`(x) = 2х - 1 и F(1) = -2 ?) F(х) = х2 + х - 4 ?) F(х) = х2 - х - 2 ?) F(x) = 3х2 - 3х + 2 ?) F(x) = х2 - х + 2 Вопрос id:366408 Тема/шкала: Математический анализ Найдите общий вид первообразной для функции 2cos3x ?) -2/3 sin3x + C ?) -3/2 sin3x + C ?) 3/2 sin3x + C ?) 2/3 sin3x + C Вопрос id:366409 Тема/шкала: Математический анализ Если функция у = F(x) является первообразной для функции у = f(х), то какая функция будет первообразной для у = f(-x/2)? ?) y = 2F(-x/2) ?) y = 1/2F(x/2) ?) y = -2F(-x/2) ?) y = 2F(-x) Вопрос id:366410 Тема/шкала: Математический анализ Найдите первообразную функции для у = 2(2х + 5)4 ?) Y = (2х + 5)5 / 4 + C ?) Y = (2х + 5)5 + C ?) Y = (2х + 5)5 / 3 + C ?) Y = (2х + 5)5 / 5 + C Вопрос id:366411 Тема/шкала: Математический анализ Укажите первообразную функции 1/(sin2(3x+1)) ?) 1/3tg(3x+1) + С ?) 1/3ctg(3x+1) + С ?) -1/3ctg(3x+1) + С ?) -1/3tg(3x+1) + С Вопрос id:366412 Тема/шкала: Математический анализ Найдите общий вид первообразной для функции 3sin2x ?) 3/2sin2x + C ?) -2/3cos2x + C ?) -3/2sin2x + C ?) -3/2cos2x + C Вопрос id:366413 Тема/шкала: Математический анализ Вычислите: ?) -1 ?) -2/5 ?) 1/5 ?) 1 Вопрос id:366414 Тема/шкала: Математический анализ Найдите первообразную функции f(х) = 2х - 1/х2 + cos2x ?) х2 + 1/x + 1/2sin2x + C ?) х2 - 1/x + 1/2sin2x + C ?) х2 - 1/x - 1/2sin2x + C ?) х2 + 1/x - 1/2sin2x + C Вопрос id:366415 Тема/шкала: Математический анализ Вычислите: ![]() ?) √3 - 1 ?) 1 ?) √3 Вопрос id:366416 Тема/шкала: Математический анализ Найдите общий вид первообразных для функции f(х) = (х - 1)х3 + е3x + 1/(3x) ?) 1/4x4 - 1/5x5 - 1/3e3x + 1/3ln|x| + C ?) (x4 - x3)/3 + 3e3x + 1/3ln|x| + C ?) 1/5x5 - 1/4x4 + 1/3e3x - 1/3ln|x| + C ?) 1/5x5 - 1/4x4 + 1/3e3x + 1/3ln|x| + C Вопрос id:366417 Тема/шкала: Математический анализ Укажите первообразную функции f(х) = 1/x2 - cosx ?) -1/x - sinx + C ?) 1/x + sinx + C ?) 1/x2 + sinx + C ?) -1/x3 - sinx + C Вопрос id:366418 Тема/шкала: Математический анализ Если функция у = F(x) является первообразной для функции у = f(х), то какая функция будет первообразной для функции у = -4f(-2х)? ?) 2F(-2х) ?) -F(-2х) ?) F(-2х) ?) -2F(-2x) Вопрос id:366419 Тема/шкала: Математический анализ Найдите первообразную функцию для функции f(х) = -tg2x ?) х - ctgх + C ?) 1/3tg3х + C ?) -х + ctgх + C ?) х - tgх + C Вопрос id:366420 Тема/шкала: Математический анализ Вычислите: ![]() ?) √3 - 1 ?) -1 ?) 1 ?) √3/3 Вопрос id:366421 Тема/шкала: Математический анализ Укажите функцию F(х), если F`(x) = х - 4 и F(-2) = 0 ?) F(x) = х2 - 2х ?) F(х) = 1/2х2 - 4х + 6 ?) F(х) = 2x2 - 4х ?) F(х) = 1/2х2 - 4х - 10 Вопрос id:366422 Тема/шкала: Математический анализ Вычислите: ![]() ?) -2 ?) 1 ?) 2 ?) -1 Вопрос id:366423 Тема/шкала: Математический анализ Вычислите: ![]() ?) 2ln3 ?) ln(1/3) ?) ln3 ?) ln√3 Вопрос id:366424 Тема/шкала: Математический анализ Если функция у = F(x) является первообразной для у = f(х), то какая функция будет первообразной для y = f(-2х)? ?) y = F(-2x) ?) y = -2F(-2x) ?) y = -1/2F(-2x) ?) y = -F(-2х) Вопрос id:366425 Тема/шкала: Математический анализ Вычислите: ![]() ?) -1 ?) 2 ?) 1 Вопрос id:366426 Тема/шкала: Математический анализ Вычислите: ![]() ?) √3 ?) -1 ?) √3/3 ?) 1 Вопрос id:366427 Тема/шкала: Математический анализ Найдите первообразную функции f(х) = х + 1 + ctg2x ?) х2/2 - ctgx + С ?) х2/2 + tgx + С ?) х2/2 + ctgx + С ?) х2/2 - tgx + С Вопрос id:366428 Тема/шкала: Математический анализ Вычислите: ![]() ?) 2ln(e + 1) ?) ln(e + 2) ?) 2 ?) 2ln((e + 1)/2) Вопрос id:366429 Тема/шкала: Математический анализ Для какой из следующих функций функция F(x) = еx - 1/3sin3x - ctgx + C является первообразной? ?) f(х) = еx - cos3x - 1/sin2x ?) f(х) = еx + cos3x + 1/sin2x ?) f(х) = еx - cos3x + 1/sin2x ?) f(х) = еx + cos3x - 1/sin2x Вопрос id:366430 Тема/шкала: Математический анализ Вычислите: ![]() ?) ln12 ?) ln16 ?) ln2 ?) ln9 Вопрос id:366431 Тема/шкала: Математический анализ Укажите первообразную функции: ![]() ?) 3tg(x/3 + 1) + С ?) 1/3tg(x/3 + 1) + С ?) -1/3tg(x/3 + 1) + С ?) -3tg(x/3 + 1) + С Вопрос id:366432 Тема/шкала: Математический анализ Какие из нижеследующих свойств для показательных и логарифмических функций неправильны? ?) множество значений показательной функции - множество всех действительных чисел ?) показательная функция у = аx является возрастающей на множестве всех действительных чисел, если 0 < а < 1, и убывающей, если а > 1 ?) область определения логарифмической функции - множество всех положительных чисел ?) логарифмическая функция у = logax является возрастающей на промежутке х > 0, если а > 1, и убывающей, если 0 < а < 1 ?) если а > 1, то функция у = logax принимает отрицательные значения при х > 1, положительные — при 0 < х < 1 Вопрос id:366433 Тема/шкала: Математический анализ Какие из нижеследующих свойств для показательных и логарифмических функций правильны? ?) множество значений показательной функции - множество всех положительных чисел ?) показательная функция у = аx является возрастающей на множестве всех действительных чисел, если 0 < а < 1, и убывающей, если а > 1 ?) область определения логарифмической функции - множество всех положительных чисел ?) логарифмическая функция у = logax является убывающей на промежутке х > 0, если а > 1, и возрастающей, если 0 < а < 1 ?) если а > 1, то функция у = logax принимает положительные значения при х > 1, отрицательные — при 0 < х < 1 Вопрос id:366436 Тема/шкала: Математический анализ Какие из нижеследующих свойств для показательных и логарифмических функций неправильны? ?) область определения показательной функции - множество всех действительных чисел ?) множество значений показательной функции - множество всех действительных чисел ?) показательная функция у = ax является возрастающей на множестве всех действительных чисел, если 0 < а < 1, и убывающей, если а > 1 ?) логарифмическая функция у = logax является убывающей на промежутке х > 0, если а > 1, и возрастающей, если 0 < а < 1 ?) если а > 1, то функция у = logax принимает положительные значения при х > 1, отрицательные — при 0 < х < 1 Вопрос id:366437 Тема/шкала: Математический анализ Какие из нижеследующих свойств для показательных и логарифмических функций правильны? ?) область определения показательной функции - множество всех положительных чисел ?) множество значений показательной функции - множество всех положительных чисел ?) показательная функция у = ax является возрастающей на множестве всех действительных чисел, если 0 < а < 1, и убывающей, если а > 1 ?) область определения логарифмической функции - множество всех положительных чисел ?) логарифмическая функция у = logax является возрастающей на промежутке х > 0, если а > 1, и убывающей, если 0 < а < 1 Вопрос id:366438 Тема/шкала: Математический анализ Какие из нижеследующих свойств для показательных и логарифмических функций неправильны? ?) показательная функция у = аx является возрастающей на множестве всех действительных чисел, если 0 < а < 1, и убывающей, если а > 1 ?) область определения логарифмической функции - множество всех действительных чисел ?) множество значений логарифмической функции - множество всех положительных чисел ?) логарифмическая функция у = logax является возрастающей на промежутке х > 0, если а > 1, и убывающей, если 0 < а < 1 ?) если а > 1, то функция у = logax принимает положительные значения при х > 1, отрицательные - при 0 < х < 1 Вопрос id:366439 Тема/шкала: Математический анализ Какие из нижеследующих свойств для показательных и логарифмических функций неправильны? ?) множество значений показательной функции - множество всех положительных чисел ?) показательная функция у = аx является возрастающей на множестве всех действительных чисел, если 0 < а < 1, и убывающей, если а > 1 ?) область определения логарифмической функции - множество всех действительных чисел ?) множество значений логарифмической функции - множество всех действительных чисел ?) логарифмическая функция у = logax является убывающей на промежутке х > 0, если а > 1, и возрастающей, если 0 < а < 1 Вопрос id:366440 Тема/шкала: Математический анализ Какие из нижеследующих свойств для показательных и логарифмических функций неправильны? ?) множество значений показательной функции - множество всех положительных чисел ?) показательная функция у = аx является возрастающей на множестве всех действительных чисел, если 0 < а < 1, и убывающей, если а > 1 ?) область определения логарифмической функции - множество всех действительных чисел ?) логарифмическая функция у = logax является возрастающей на промежутке х > 0, если а > 1, и убывающей, если 0 < а < 1 ?) если а > 1, то функция у = logax принимает отрицательные значения при х > 1, положительные — при 0 < х < 1 Вопрос id:366441 Тема/шкала: Математический анализ Какие из нижеследующих свойств для показательных и логарифмических функций правильны? ?) область определения показательной функции - множество всех действительных чисел ?) множество значений показательной функции - множество всех положительных чисел ?) показательная функция у = ax является возрастающей на множестве всех действительных чисел, если 0 < а < 1, и убывающей, если а > 1 ?) множество значений логарифмической функции - множество всех положительных чисел ?) логарифмическая функция у = logax является возрастающей на промежутке х > 0, если а > 1, и убывающей, если 0 < а < 1 |
Copyright tests.ithead.ru 2013-2026








