Тесты онлайн, бесплатный конструктор тестов. Психологические тестирования, тесты на проверку знаний.
Список вопросов базы знанийМатематикаВопрос id:366492 Тема/шкала: Тригонометрия Упростите выражение: ![]() ?) cosa ?) 2sina ?) -cosa ?) tga Вопрос id:366493 Тема/шкала: Тригонометрия Укажите значение дроби: ?) 1/4 ?) -4 ?) 4 ?) 2 Вопрос id:366494 Тема/шкала: Тригонометрия Вычислите: ?) 3 ?) 3/4 ?) 3/2 ?) 1 Вопрос id:366495 Тема/шкала: Тригонометрия Упростите: (tgx + ctgx)2 - (tgx - ctgx)2 ?) -4 ?) 4 ?) -2 Вопрос id:366496 Тема/шкала: Тригонометрия Упростите:
?) sin22a ?) cos22a ?) 1/2 cos22a ?) 1/2 sin22a Вопрос id:366497 Тема/шкала: Тригонометрия Какому из указанных выражений может равняться:
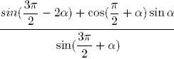
?) 1/sin2a ?) -1/(2sin2a) ?) 1/(2cos2a) ?) 1/(2sin2a) Вопрос id:366498 Тема/шкала: Тригонометрия Упростите: sin2a + sin2β - sin2a·sin2β + cos2a·cos2β ?) 1 ?) -1 ?) -2 Вопрос id:366499 Тема/шкала: Тригонометрия Упростите выражение: ![]() ?) -sin2a ?) -sin2a·tg2a ?) -cos2a ?) cos2a·ctg2a Вопрос id:366500 Тема/шкала: Тригонометрия Упростите выражение: sin2a + cos2a + ctg2a ?) cos2a / 2 ?) 1 / sin2a ?) tga/2 ?) cos2a/2 Вопрос id:366501 Тема/шкала: Тригонометрия Вычислите:
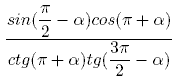
?) √2/2 ?) √3/2 ?) 0 ?) 1 Вопрос id:366502 Тема/шкала: Тригонометрия Упростите: ![]() ?) 1,5 ?) 1,6 ?) 1 ?) ctg2a Вопрос id:366503 Тема/шкала: Тригонометрия Если tga + tgβ = 5/6 и tgatgβ = 1/6 , то чему равно a + β? ?) -π/4 + πk, k Є Z ?) π/6 + πk, k Є Z ?) π/4 + πk, k Є Z ?) -π/6 + πk, k Є Z Вопрос id:366504 Тема/шкала: Тригонометрия В каких из указанных четвертей должна быть взята α, чтобы выполнялось sinα · cosα > 0 ? ?) II или III ?) I или II ?) I или IV ?) I или III Вопрос id:366505 Тема/шкала: Тригонометрия Косинус суммы двух углов треугольника равен -1/3. Найдите косинус третьего угла ?) 2/3 ?) -2/3 ?) 1/3 ?) π/3 Вопрос id:366506 Тема/шкала: Тригонометрия Найдите tgх, если tg(х + у) = 5 и tgу = 1/8 ?) 1/8 ?) 8 ?) 1/2 ?) 3 Вопрос id:366507 Тема/шкала: Тригонометрия Вычислите: sin2 π/8 + cos2 3π/8 + sin2 5π/8 + cos2 7π/8 ?) 1 ?) 2 ?) 2√2 ?) 4 Вопрос id:366508 Тема/шкала: Тригонометрия В каких из указанных четвертей должна быть взята α, чтобы выполнилось ctgα * cosα > 0 ? ?) I ИЛИ III ?) III или IV ?) II или III ?) I или II Вопрос id:366509 Тема/шкала: Тригонометрия Упростите выражение:
?) cos2а ?) sin2а ?) cos-2а ?) sin-2а Вопрос id:366510 Тема/шкала: Тригонометрия Косинус суммы двух углов треугольника равен 1/4. Найдите косинус третьего угла ?) 1/4 ?) -1/4 ?) -2/3 ?) π/4 Вопрос id:366511 Тема/шкала: Тригонометрия В каких из указанных четвертей должна быть взята α, чтобы выполнялось sinα * cosα < 0 ? ?) I или IV ?) I или II ?) II или IV ?) I или III Вопрос id:366512 Тема/шкала: Тригонометрия Косинус суммы двух углов треугольника равен 1/2. Найдите косинус третьего угла ?) 2/3 ?) 1/3 ?) 1/2 ?) -1/2 Вопрос id:366514 Тема/шкала: Тригонометрия Упростите:
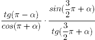
?) cosa ?) sina ?) sin2a ?) cos2a Вопрос id:366515 Тема/шкала: Тригонометрия Упростите: ![]() ?) ctg2a ?) -tg2a ?) tg2a ?) 1/tga Вопрос id:366516 Тема/шкала: Тригонометрия Упростите выражение:
?) cos2a ?) tga ?) 1/cosa ?) ctg2a Вопрос id:366517 Тема/шкала: Тригонометрия Чему равно наименьшее значение sin2x + 2cos2x? ?) 1 ?) 1,2 ?) 0,8 ?) 0,9 Вопрос id:366518 Тема/шкала: Тригонометрия Упростите выражение ctg2a - ctga ?) -1/sin2a ?) 1/cos2a ?) 1/sin2a ?) -1/cos2a Вопрос id:366519 Тема/шкала: Тригонометрия Упростите (sina + cosa)2 + (sina - cosa)2 - 2 ?) 1 ?) 4 ?) 2sin2a Вопрос id:366520 Тема/шкала: Тригонометрия Упростите выражение:
?) tga ?) -2cosa ?) -tga ?) -ctga Вопрос id:366521 Тема/шкала: Тригонометрия Упростите выражение:
?) tg4a ?) 1/2 tg2a ?) ctg4a ?) tg2a Вопрос id:366522 Тема/шкала: Тригонометрия Упростите выражение:
?) tga/2 ?) ctga/2 ?) ctga ?) tga Вопрос id:366523 Тема/шкала: Тригонометрия Упростите выражение:
?) 2tg2а ?) 1/cos2а ?) 2 ?) 2ctg2а Вопрос id:366524 Тема/шкала: Тригонометрия Вычислите значение выражения, если ctga = 13/4: ?) 6,2 ?) 4,8 ?) 5 ?) 6 Вопрос id:366525 Тема/шкала: Тригонометрия Определите sin2а, если cos2а = 1/4 ?) 1/4 ?) 3/4 ?) 3/8 ?) 1/16 Вопрос id:366526 Тема/шкала: Тригонометрия Вычислите значение выражения, если tga = 4/5: ?) 3 ?) 9 ?) -3 ?) -9 Вопрос id:366527 Тема/шкала: Тригонометрия Вычислите sin2a, если tga + ctga = 4 ?) 1/4 ?) 2/3 ?) 1/2 ?) 1/3 Вопрос id:366528 Тема/шкала: Тригонометрия Укажите значение дроби, если известно, что ctga = 1/4: ?) 4 ?) 1/8 ?) 8 ?) 1/4 Вопрос id:366529 Тема/шкала: Тригонометрия Упростите выражение sin2x + cos2x + tg2x ?) -1/sin2x ?) -1/cos2x ?) 1/sin2x ?) 1/cos2x Вопрос id:366530 Тема/шкала: Тригонометрия Упростите выражение:
?) tg3а ?) ctgа ?) tga ?) 1 Вопрос id:366531 Тема/шкала: Тригонометрия Каково множество всех значений а - β, если: sina·cosβ = (1 - 0,5√3) sinβ·cosa = 1? ?) (-1)k·(π/4) + 2πk, k Є Z ?) (-1)k+1·(π/3) + πk, k Є Z ?) (-1)k·(π/6) + πk, k Є Z ?) (-1)k·(π/3) + 2πk, k Є Z Вопрос id:366532 Тема/шкала: Тригонометрия Решите уравнение: ?) π + 2πk, k Є Z ?) π/4 + πk/2, k Є Z ?) 2πk, k Є Z ?) Ø Вопрос id:366533 Тема/шкала: Тригонометрия Укажите корень уравнения cosх - sin3хcosх = 0 из промежутка [0°; 60°] ?) 0° ?) 30° ?) 45° ?) 15° Вопрос id:366534 Тема/шкала: Тригонометрия Решите уравнение: 2cos2(х - π) - 3sin(π + х) = 3 ?) π/2 + 2πk; (-1)k·(π/6) + πk, k Є Z ?) (-1)k+1·(π/6) + πk; -π/2 + 2πk, k Є Z ?) π/2 + 2πk, k Є Z ?) ±π/3 + 2πk, k Є Z Вопрос id:366535 Тема/шкала: Тригонометрия Решите уравнение:
?) ±π/6 + πk, k Є Z ?) ±π/4 + πk, k Є Z ?) ±π/4 + 2πk, k Є Z ?) ±π/3 + πk, k Є Z Вопрос id:366536 Тема/шкала: Тригонометрия Решите уравнение: sin(2x - π/2) = 0 ?) 3πk, k Є Z ?) π/2 + (π/3)k, k Є Z ?) π/4 + (π/2)k, k Є Z ?) (π/3)k, k Є Z Вопрос id:366537 Тема/шкала: Тригонометрия Укажите корень уравнения: 2sin2x - sin2x = 0 из промежутка (0°; 90°] ?) 90° ?) 30° ?) 45° ?) 60° Вопрос id:366538 Тема/шкала: Тригонометрия Решите уравнение: 2sin2x - 5sin(0,5π - х) = -5 ?) (-1)k (π/6) + πk, k Є Z ?) 2πk, k Є Z ?) π + 2πk, k Є Z ?) π/2 + 2πk, k Є Z Вопрос id:366539 Тема/шкала: Тригонометрия Сколько корней на отрезке [0; 6π] имеет уравнение: ?) 2 ?) 8 ?) 6 ?) 4 Вопрос id:366540 Тема/шкала: Тригонометрия Сколько корней на отрезке [0; 5π] имеет уравнение: sin2x = (cosx - sinx)2? ?) 8 ?) 4 ?) 10 ?) 2 Вопрос id:366541 Тема/шкала: Тригонометрия Решите уравнение: (1 + cosx) · tg x/2 + 1 = 0 ?) π/2 + 2πk, k Є Z ?) πk, k Є Z ?) -π/2 + 2πk, k Є Z ?) π + πk, k Є Z Вопрос id:366542 Тема/шкала: Тригонометрия Укажите корни уравнения: sin5х · cos2х = cos5х · sin2х + 1 ?) ±π/3 + 2πk, k Є Z ?) -π/6 + 2πk/3, k Є Z ?) π/6 + 2πk/3, k Є Z ?) π/4 + πk, k Є Z |
Copyright tests.ithead.ru 2013-2026



