Тесты онлайн, бесплатный конструктор тестов. Психологические тестирования, тесты на проверку знаний.
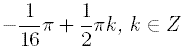
Список вопросов базы знанийМатематикаВопрос id:366290 Тема/шкала: Алгебра Корни уравнения х2 + рх + q = 0 вдвое больше корней уравнения х2 - 3х + 2 = 0. Чему равно р + q? ?) 14 ?) -2 ?) -14 ?) 2 Вопрос id:366291 Тема/шкала: Алгебра Найдите сумму корней уравнения:
?) 6 ?) -5 ?) -3 ?) 3 Вопрос id:366292 Тема/шкала: Алгебра Найдите разность наибольшего и наименьшего корней уравнения х4 - 10х2 + 9 = 0 ?) 1 ?) 6 ?) 2 ?) 8 Вопрос id:366293 Тема/шкала: Алгебра Зная, что x1 и х2 - корни уравнения х2 + х - 1 = 0, найдите х31+х32 ?) 2 ?) 3 ?) -1 ?) -4 Вопрос id:366294 Тема/шкала: Алгебра Найдите наибольшее целое значение k, при котором уравнение kz2 + 2(k - 12)z + 6/5 = 0 не имеет действительных корней ?) 20 ?) 17 ?) 16 ?) 18 Вопрос id:366295 Тема/шкала: Алгебра Сколько целых решений имеет уравнение |x2 - 3х| = 3х - х2? ?) 4 ?) 3 ?) 2 ?) 1 Вопрос id:366296 Тема/шкала: Алгебра Зная, что x1 и х2 - корни уравнения х2 - х + q = 0. Найдите q, если x31 + х32 = 19 ?) -5 ?) -6 ?) -12 ?) -2 Вопрос id:366297 Тема/шкала: Алгебра Найдите сумму корней уравнения |х| = х2 - х - 4 ?) 1 — 2√5 ?) 1 + √5 ?) —1 + √5 ?) 2 - √5 Вопрос id:366298 Тема/шкала: Алгебра x1 и х2 - корни уравнения x2 + mx + n = 0. Если каждый корень этого уравнения увеличить на 4 и из полученных чисел составить новое уравнение, то свободный член нового уравнения будет равен n - 32 (n - свободный член исходного уравнения). Чему будет равно m? ?) 11 ?) 9 ?) 10 ?) 12 Вопрос id:366299 Тема/шкала: Алгебра Найдите наибольшее значение выражения ?) 2 ?) 16 ?) 4 ?) 8 Вопрос id:366300 Тема/шкала: Алгебра Вычислите x1/х2 + x2/х1, если x1 и х2 - корни уравнения 3х2 - 8х - 15 = 0 ?) -8/3 ?) -3 1/45 ?) 5 ?) -3 19/45 Вопрос id:366301 Тема/шкала: Алгебра При каких значениях а уравнение ах2 - (а + 1)х + 2а + 2 = 0 имеет один корень? ?) -1; 1/7 ?) 1; -1/7 ?) -1; 0; 1/7 ?) 0; -1 Вопрос id:366302 Тема/шкала: Алгебра Чему равна сумма всех натуральных чисел, являющихся корнями уравнения |х2 - 8х + 7| = -7 + 8х - х2? ?) 25 ?) 28 ?) 8 ?) 40 Вопрос id:366303 Тема/шкала: Алгебра При каких значениях k уравнение х2 - 2k(х + 1) - k2 + 6k = 0 имеет отличное от нуля два совпадающих корня? ?) -1 ?) 2 ?) -2 ?) 1 Вопрос id:366304 Тема/шкала: Алгебра z1 и z2 - корни уравнения z2 + pz + q = 0. Если каждый корень этого уравнения увеличить на 4 и из полученных чисел составить новое уравнение, то свободный его член будет равен q + 68. Найдите р ?) -10 ?) -11 ?) -14 ?) -13 Вопрос id:366305 Тема/шкала: Алгебра Найдите k в уравнении х2 + 3х + k + 8 = 0, если его корни x1 и х2 удовлетворяют условию x1/х2 = -1/4 ?) -12 ?) -7 ?) -8 ?) -10 Вопрос id:366306 Тема/шкала: Алгебра Найдите произведение корней уравнения ?) -10 ?) 3 ?) 390 Вопрос id:366307 Тема/шкала: Алгебра Найдите произведение корней уравнения 4|х - 2| = 3 + (х - 2)2 ?) 3 ?) 15 ?) -3 ?) -15 Вопрос id:366308 Тема/шкала: Алгебра Найдите сумму действительных корней уравнения:
?) 3 ?) 4 ?) 8 ?) 1 Вопрос id:366309 Тема/шкала: Алгебра Коэффициенты квадратного уравнения ах2 + bх + c = 0 удовлетворяют равенству b = а + с. Найдите x1/х2 + x2/х1 - 2, где x1 и х2 - корни данного уравнения ?) 1/a + 1/c ?) 1/a - 1/c ?) (a - c)2/ac ?) a/c + c/a Вопрос id:366310 Тема/шкала: Алгебра Найдите среднее арифметическое тех значений m, при которых уравнение (m - 2)х2 - 2mх + 2m - 2 = 0 имеет один корень ?) 5 ?) 3,5 ?) 4 ?) 8/3 Вопрос id:366311 Тема/шкала: Алгебра Чему равно произведение корней уравнения:
?) -9/16 ?) -9/4 ?) 9/4 ?) -5/4 Вопрос id:366312 Тема/шкала: Алгебра Какие из нижеприведенных свойств для неравенств правильные? ?) если а > b и b > с, то а - с > 0 ?) если а > b и с > 0, то ас - bс > 0 ?) если а > b и с < 0, то ас - bс > 0 ?) если а > b, то с - а > с - b ?) если а > b > 0 и m > 0, то m/a - m/b < 0 Вопрос id:366313 Тема/шкала: Алгебра Какие из нижеприведенных свойств для неравенств правильные? ?) если а > b, то b - a > 0 ?) если а > b и b > c, то а - с > 0 ?) если а > b и с > 0, то ас - bс > 0 ?) если а > b, то с - а < с - b ?) если а > b > 0 и m > 0, то m/a - m/b > 0 Вопрос id:366314 Тема/шкала: Алгебра Какие из нижеприведенных свойств для неравенств правильные? ?) если а > b и b > c, то а - с < 0 ?) если а > b и с > 0, то ас - bс > 0 ?) если а > b и c < 0, то ас - bс < 0 ?) если а > b, то с - а > с - b ?) если а > b > 0 и m > 0, то m/a - m/b < 0 Вопрос id:366315 Тема/шкала: Алгебра Какие из нижеприведенных свойств для неравенств правильные? ?) если а > b, то b - а < 0 ?) если а > b и b > c, то а - с > 0 ?) если а > b и с > 0, то ас - bс < 0 ?) если а > b, то b - c > a - c ?) если а > b, то с - а < с - b Вопрос id:366316 Тема/шкала: Алгебра Какие из нижеприведенных свойств для неравенств неправильные? ?) если а > b, то b - а > 0 ?) если а > b и с > 0, то ас - bс > 0 ?) если а > b и c < 0, то ас - bс > 0 ?) если а > b, то b - c < a - c ?) если а > b > 0 и m > 0, то m/a - m/b > 0 Вопрос id:366317 Тема/шкала: Алгебра Решите неравенство:
?) [-3: 2) ?) (-∞; -3) U [2; ∞) ?) (-3; 2] ?) (-∞; -3) Вопрос id:366318 Тема/шкала: Алгебра Решите неравенство ?) (-1: 2] ?) (2: ∞} ?) (-∞; -1] ?) [-1: 2) Вопрос id:366319 Тема/шкала: Элементарная математика Какие из следующих утверждений верны? ?) два четных числа не могут быть взаимно простыми ?) четные и нечетные числа всегда взаимно простые ?) два различных простых числа всегда взаимно простые ?) числа 39 и 91 взаимно простые ?) два последовательных натуральных числа всегда взаимно простые Вопрос id:366320 Тема/шкала: Элементарная математика Вычислите:
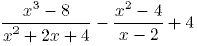
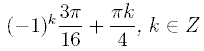
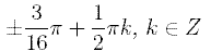
если числа а - 2b; 4; а + 3b; 24 являются последовательными членами пропорции ?) 8/3 ?) 4/3 ?) 2 ?) 3 Вопрос id:366321 Тема/шкала: Элементарная математика Значение выражения |а - b| - | - b| при а ≠ 0 .. ?) отрицательно при а < b ?) положительно при а = b ?) положительно при а > b ?) среди приведенных ответов нет правильного Вопрос id:366322 Тема/шкала: Элементарная математика Вычислите: `((6 3/5 - 3 3/14)* 5 5/6)/((21 - 1.25): 2.5)* 2 ` ?) 4 ?) 5 ?) 3 ?) -2,5 Вопрос id:366323 Тема/шкала: Элементарная математика Разложите на множители квадратный трёхчлен: х2 - х - 2 ?) (х + 1)(х - 2) ?) (х - 1)(х + 2) ?) (х + 1)(х + 2) ?) (х — 1)(х — 2) Вопрос id:366324 Тема/шкала: Элементарная математика Найдите произведение координат вершины параболы: х2 - 14х + 34 ?) -105 ?) -8 ?) 8 ?) 105 Вопрос id:366325 Тема/шкала: Элементарная математика При каких значениях p уравнение 6х + 11p = 7 имеет отрицательный корень? ?) p < - 7/11 ?) p < 7/11 ?) - 7/11 < p ?) 7/11 < p Вопрос id:366326 Тема/шкала: Элементарная математика Решите уравнение: 2cos4х + √2 = 0 ?) ?) ?) ?) Вопрос id:366327 Тема/шкала: Элементарная математика Одна сторона треугольника х см (х > 5), вторая на 3 см меньше, а третья на 2 см больше первой. Найдите периметр этого треугольника ?) (3х - 1) см ?) (3х + 5) см ?) (3х + 1) см ?) (3х + 2) см Вопрос id:366328 Тема/шкала: Элементарная математика Упростите выражение:
?) 2х ?) -2х ?) 2y ?) -2у Вопрос id:366329 Тема/шкала: Элементарная математика Упростите выражение:
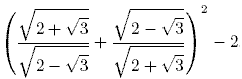
?) 4 ?) 2x ?) -2x Вопрос id:366330 Тема/шкала: Элементарная математика Два предмета в сумме стоят 75100 у.е. Если стоимость первого уменьшить на 20%, а второго увеличить на 10%, то вместе они будут стоить 65870 у.е. Укажите первоначальную стоимость первого предмета ?) 23160 ?) 66960 ?) 55800 ?) 19200 Вопрос id:366331 Тема/шкала: Элементарная математика Упростите: -6 - 2(2 - у) - 2у + 2 ?) -8 ?) 8 ?) 8 - 4у ?) -8 - 4у Вопрос id:366332 Тема/шкала: Элементарная математика Упростите выражение:
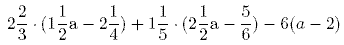
?) 2x ?) 2x - 2y ?) 2y ?) -2y Вопрос id:366333 Тема/шкала: Элементарная математика Разложите на линейные множители квадратный трехчлен: х2 - 3х + 2 ?) (х - 2)(х + 1) ?) (х — 1)(х — 2) ?) (х + 1)(х + 2) ?) (х - 1)(х + 2) Вопрос id:366334 Тема/шкала: Элементарная математика Упростите выражение:
?) -2x ?) 2x ?) 4 Вопрос id:366335 Тема/шкала: Элементарная математика На экзамене по математике 12% учеников не решили ни одной задачи, 210 учеников решили задачи с ошибками, а число решивших все задачи верно относится к числу не решивших вовсе как 7:3. Сколько учеников экзаменовалось по математике в этот день? ?) 480 ?) 260 ?) 350 ?) 470 Вопрос id:366336 Тема/шкала: Элементарная математика Упростите выражение:
?) а + 5 ?) 7а - 7 ?) 1 1/2a - 5 ?) 7 Вопрос id:366337 Тема/шкала: Элементарная математика Упростите выражение: ?) 2x ?) 0 ?) 4 ?) -2x Вопрос id:366338 Тема/шкала: Элементарная математика Упростите выражение:
?) m - 2 ?) 4 ?) 2/3m + 2 ?) m + 12 Вопрос id:366339 Тема/шкала: Элементарная математика Вычислите:
?) 18 ?) 14 ?) 16 ?) 12 |
Copyright tests.ithead.ru 2013-2026
