Тесты онлайн, бесплатный конструктор тестов. Психологические тестирования, тесты на проверку знаний.
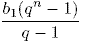
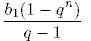
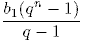
Список вопросов базы знанийМатематикаВопрос id:366442 Тема/шкала: Математический анализ Какие из нижеследующих свойств для показательных и логарифмических функций неправильны? ?) множество значений показательной функции - множество всех положительных чисел ?) показательная функция у = аx является возрастающей на множестве всех действительных чисел, если 0 < а < 1, и убывающей, если а > 1 ?) множество значений логарифмической функции - множество всех положительных чисел ?) логарифмическая функция у = logax является убывающей на промежутке х > 0, если а > 1, и возрастающей, если 0 < а < 1 ?) если а > 1, то функция у = logax принимает положительные значения при х > 1, отрицательные — при 0 < х < 1 Вопрос id:366443 Тема/шкала: Математический анализ Какие из нижеследующих свойств для показательных и логарифмических функций правильны? ?) область определения показательной функции - множество всех положительных чисел ?) множество значений показательной функции - множество всех положительных чисел ?) область определения логарифмической функции - множество всех положительных чисел ?) множество значений логарифмической функции - множество всех действительных чисел ?) если а > 1, то функция у = logax принимает отрицательные значения при х > 1, положительные — при 0 < х < 1 Вопрос id:366444 Тема/шкала: Математический анализ Вычислите: ![]() ?) 3 ?) 9 ?) 10 ?) 7 Вопрос id:366445 Тема/шкала: Математический анализ Какие из нижеследующих свойств для показательных и логарифмических функций правильны? ?) область определения показательной функции - множество всех положительных чисел ?) множество значений показательной функции - множество всех положительных чисел ?) показательная функция у = ax является убывающей на множестве всех действительных чисел, если 0 < а < 1, и возрастающей, если а > 1 ?) логарифмическая функция у = logax является возрастающей на промежутке х > 0, если а > 1, и убывающей, если 0 < а < 1 ?) если а > 1, то функция у = logax принимает отрицательные значения при х > 1, положительные — при 0 < х < 1 Вопрос id:366446 Тема/шкала: Математический анализ При каких значениях х функция у = 5x - 25 принимает неотрицательные значения? ?) х ≤ 2 ?) х ≥ 2 ?) х < 1 ?) х > 1 Вопрос id:366447 Тема/шкала: Математический анализ Вычислите значение выражения 0,(8) + 0,(3) - 1/9 ?) 1 2/9 ?) 1,(10) ?) 1 1/9 ?) 0,(11) Вопрос id:366448 Тема/шкала: Математический анализ Вычислите значение выражения 0,(7) + 0,(5) - 2/9 ?) 1 1/9 ?) 1 2/9 ?) 0,(12) ?) 1,(20) Вопрос id:366449 Тема/шкала: Математический анализ Какие из следующих утверждений правильны? ?) для разности арифметической прогрессии справедливо соотношение d = (an-a1)/(n-1), n≠1 ?) числа sin(α + β), sinαcosβ и sin(α - β) являются последовательными членами арифметической прогрессии ?) сумму первых n членов арифметической прогрессии можно найти по формуле Sn = ?) сумма бесконечно убывающей геометрической прогрессии S равна S = b1/(q-1), где b1 и q - первый член и знаменатель геометрической прогрессии ?) сумму первых n членов геометрической прогрессии можно найти по формуле Sn = Вопрос id:366450 Тема/шкала: Математический анализ Какие из следующих утверждений правильны? ?) для разности арифметической прогрессии справедливо соотношение d = (an-a1)/(n-1), n≠1 ?) числа sin(α + β), sin(α - β) и sinαcosβ являются последовательными членами арифметической прогрессии ?) сумму первых n членов арифметической прогрессии можно найти по формуле Sn = ?) сумма бесконечно убывающей геометрической прогрессии S равна S = b1/(1-q), где b1 и q - первый член и знаменатель геометрической прогрессии ?) сумму первых n членов геометрической прогрессии можно найти по формуле Sn = Вопрос id:366451 Тема/шкала: Математический анализ Какая последовательность является геометрической прогрессией? ?) an = 2xn, (x≠0 ?) cn = axn, (ax≠0) ?) bn = (3/5)n * sin60° + 1 Вопрос id:366452 Тема/шкала: Математический анализ Дана арифметическая прогрессия a1,а2,...,аn (d≠0). Какие из следующих чисел не составляют арифметическую прогрессию? ?) 1/a1, 1/a3, 1/a5, ..., 1/a2n-1 ?) a2, a4, a6, ..., a2n ?) a1+a2, a2+a3, a3+a4, ..., a2n-1+a2n ?) ?) Вопрос id:366453 Тема/шкала: Математический анализ Какие из следующих утверждений неправильны? ?) для разности арифметической прогрессии справедливо соотношение d = (an+a1)/(n-1), n≠1 ?) числа sin(α + β), sin(α - β) и sinαcosβ являются последовательными членами арифметической прогрессии ?) сумму первых n членов арифметической прогрессии можно найти по формуле Sn = ?) сумма бесконечно убывающей геометрической прогрессии S равна S = b1/(q-1), где b1 и q - первый член и знаменатель геометрической прогрессии ?) сумму первых n членов геометрической прогрессии можно найти по формуле Sn = Вопрос id:366454 Тема/шкала: Математический анализ Дана арифметическая прогрессия a1,а2,...,аn (d≠0). Какие из следующих чисел не составляют арифметическую прогрессию? ?) 1/a1, 1/a3, 1/a5, ..., 1/a2n-1 ?) a2, a4, a6, ..., a2n ?) ?) a1+a3, a3+a5, a5+a7, ..., a2n-3+a2n-1 ?) Вопрос id:366455 Тема/шкала: Математический анализ Какие из нижеследующих свойств для показательных и логарифмических функций правильны? ?) множество значений показательной функции - множество всех действительных чисел ?) показательная функция у = аx является убывающей на множестве всех действительных чисел, если 0 < а < 1, и возрастающей, если а > 1 ?) область определения логарифмической функции - множество всех положительных чисел ?) множество значений логарифмической функции - множество всех положительных чисел ?) логарифмическая функция у = logax является убывающей на промежутке х > 0, если а > 1, и возрастающей, если 0 < а < 1 Вопрос id:366456 Тема/шкала: Математический анализ Какие из нижеследующих свойств для показательных и логарифмических функций правильны? ?) показательная функция у = ax является убывающей на множестве всех действительных чисел, если 0 < а < 1, и возрастающей, если а > 1 ?) область определения логарифмической функции - множество всех положительных чисел ?) множество значений логарифмической функции - множество всех действительных чисел ?) логарифмическая функция у = logax является убывающей на промежутке х > 0, если а > 1, и возрастающей, если 0 < а < 1 ?) если а > 1, то функция у = logax принимает отрицательные значения при х > 1, положительные — при 0 < х < 1 Вопрос id:366457 Тема/шкала: Математический анализ Какие из нижеследующих свойств для показательных и логарифмических функций правильны? ?) множество значений показательной функции - множество всех положительных чисел ?) показательная функция у = аx является убывающей на множестве всех действительных чисел, если 0 < а < 1, и возрастающей, если а > 1 ?) область определения логарифмической функции - множество всех действительных чисел ?) логарифмическая функция у = logax является убывающей на промежутке х > 0, если а > 1, и возрастающей, если 0 < а < 1 ?) если а > 1, то функция у = logax принимает положительные значения при х > 1, отрицательные — при 0 < х < 1 Вопрос id:366458 Тема/шкала: Математический анализ Решите неравенство: log2x6 > log2x1,2 ?) (0,5;∞) ?) (0;1) ?) (0;1/2) ?) (1/2;1) Вопрос id:366459 Тема/шкала: Тригонометрия Упростите: (sin4a - sin6a) : (cos5a*sina) ?) 2sina ?) -2sina ?) -2cosa ?) -2 Вопрос id:366460 Тема/шкала: Тригонометрия Упростите: 4 : (ctga - tga) ?) 2tg2a ?) sin2a ?) ctg2a ?) tg2a Вопрос id:366461 Тема/шкала: Тригонометрия Упростите: cos3a/cosa - sin3a/sina ?) 2cosa ?) -2 ?) 2 ?) 2sina Вопрос id:366462 Тема/шкала: Тригонометрия Упростите: 2 : (tga - ctga) ?) tg2a ?) cos2а ?) -tg2a ?) ctg2a Вопрос id:366463 Тема/шкала: Тригонометрия В каком ответе знаки cos870°, sin(-490)° и tg670° приведены в порядке их написания? ?) -,-,+ ?) +,-, ?) -,-,- ?) -,+, Вопрос id:366464 Тема/шкала: Тригонометрия Упростите выражение:
?) 2sina ?) 2tga ?) ctga ?) 4tga Вопрос id:366465 Тема/шкала: Тригонометрия В каком ответе знаки tg(—850)°, sin670° и cos(-550)° приведены в порядке их написания? ?) +,-,+ ?) +,-,- ?) -,-,- ?) +,+, Вопрос id:366466 Тема/шкала: Тригонометрия Найдите tgа, если tg(π/4 - а) = 1/3 ?) 3 ?) -3 ?) 1/3 ?) 1/2 Вопрос id:366467 Тема/шкала: Тригонометрия Упростите:
?) cosa ?) sina ?) -cosa ?) -2sina Вопрос id:366468 Тема/шкала: Тригонометрия Определите значение ?) 0,5 ?) 2/3 ?) 1,5 ?) 3 Вопрос id:366469 Тема/шкала: Тригонометрия Вычислите: cos30°sin75°- cos60°sin15° ?) √3/2 ?) √2/2 ?) 1/2 Вопрос id:366470 Тема/шкала: Тригонометрия Найдите tgа, если tg(π/4 + а) = 3 ?) 1/2 ?) -1/3 ?) 1/3 ?) -1/2 Вопрос id:366471 Тема/шкала: Тригонометрия Определите sin2а, если cos2а = 1/2 ?) 1/4 ?) 3/8 ?) √3/2 ?) 3/4 Вопрос id:366472 Тема/шкала: Тригонометрия Найдите cos(x - у), если:
?) 1 ?) 1/2 ?) √3/2 ?) √2/2 Вопрос id:366473 Тема/шкала: Тригонометрия Найдите ctgа, если tg(π/4 - а) = -5/3 ?) 1/3 ?) -1/4 ?) -4 ?) -1/3 Вопрос id:366474 Тема/шкала: Тригонометрия В каком ответе знаки sin(-790)°, cos600° и tg475° приведены в порядке их написания? ?) -,+,- ?) -,-,+ ?) -,-, ?) +,-, Вопрос id:366475 Тема/шкала: Тригонометрия Найдите ctgа, если tg(π/4 + а) = 5/3 ?) 1/4 ?) 4 ?) 1/3 ?) -3 Вопрос id:366476 Тема/шкала: Тригонометрия В каком ответе знаки cos590°, sin(-550)° и tg303° приведены в порядке их написания? ?) -,+,+ ?) -,+, ?) +,+,- ?) -,-, Вопрос id:366477 Тема/шкала: Тригонометрия В каком ответе знаки sin960°, cos(-440)° и tg480° приведены в порядке их написания? ?) -,-, ?) +,-,- ?) +,+, ?) -,+,- Вопрос id:366478 Тема/шкала: Тригонометрия В каком ответе знаки sin880°, cos(-460)° и tg650° приведены в порядке их написания? ?) +,-, ?) -,-, ?) -,-,+ ?) +,+,- Вопрос id:366479 Тема/шкала: Тригонометрия В каком ответе tg(—790)°, cos280° и sin510° знаки приведены в порядке их написания? ?) -,+, ?) -,+,+ ?) +,-,+ ?) +,-,- Вопрос id:366480 Тема/шкала: Тригонометрия Упростите выражение:
?) 1,5ctg2a ?) 3ctg2a ?) 3tg2a ?) tg2a Вопрос id:366481 Тема/шкала: Тригонометрия В каком ответе знаки sin(-910)°, tg220° и cos(-440)° приведены в порядке их написания? ?) -,+,+ ?) +,-,+ ?) +,+,+ ?) +,+,- Вопрос id:366482 Тема/шкала: Тригонометрия Упростите выражение:
?) tga ?) 2sina ?) 2ctga ?) ctga Вопрос id:366483 Тема/шкала: Тригонометрия В каком ответе знаки cos1030°, sin(-570)° и tg(-490)° приведены в порядке их написания? ?) +,-,+ ?) +,+, ?) -,+, ?) +,+,+ Вопрос id:366484 Тема/шкала: Тригонометрия В каком ответе знаки tg835°, cos(-430)° и sin220° приведены в порядке их написания? ?) -,+,+ ?) +,+,+ ?) +,+,- ?) -,+, Вопрос id:366485 Тема/шкала: Тригонометрия В каком ответе знаки tg885°, cos(-400)° и sin610° приведены в порядке их написания? ?) -,-,- ?) -,+,+ ?) +,+, ?) -,+, Вопрос id:366486 Тема/шкала: Тригонометрия В каком ответе знаки sin751°, tg304° и cos543° приведены в порядке их написания? ?) +,-,- ?) +,+,- ?) -,-, ?) -,-,+ Вопрос id:366487 Тема/шкала: Тригонометрия В каком ответе знаки sin760°, tg(-460)° и cos470° приведены в порядке их написания? ?) +,+,+ ?) -,+,- ?) +,+,- ?) +,-,- Вопрос id:366488 Тема/шкала: Тригонометрия В каком ответе знаки cos751°, sin304° и tg470° приведены в порядке их написания? ?) +,-,+ ?) -,-, ?) +,-, ?) +,+,- Вопрос id:366489 Тема/шкала: Тригонометрия В каком ответе знаки cos580°, sin(-550)° и tg(-440)° приведены в порядке их написания? ?) -,-,- ?) +,+, ?) +,+,+ ?) -,+, Вопрос id:366490 Тема/шкала: Тригонометрия Чему равно наибольшее значение: sin2a + 2cos2a? ?) 1,4 ?) 1,2 ?) 2 ?) 1,6 Вопрос id:366491 Тема/шкала: Тригонометрия Чему может равняться: ?) 1/2sina ?) 1/sina ?) 1/cosa ?) 1/2cosa |
Copyright tests.ithead.ru 2013-2026

