Тесты онлайн, бесплатный конструктор тестов. Психологические тестирования, тесты на проверку знаний.
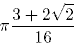
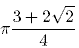
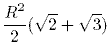
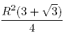
Список вопросов базы знанийМатематикаВопрос id:367148 Тема/шкала: Геометрия Чему равна площадь круга, вписанного в правильный восьмиугольник со стороной 1? ?) ![]() ?) ![]() ?) ![]() ?) ![]() Вопрос id:367149 Тема/шкала: Геометрия Вычислите площадь равнобедренной трапеции, описанной около круга радиусом √3, если угол при основании 60°.\r ----- ?) 3 ?) 8√3 ?) 10 ?) 3/2 Вопрос id:367150 Тема/шкала: Геометрия Определите площадь треугольника по радиусу R описанного около него круга и двум углам, содержащим 45 и 60° ?) ![]() ?) ![]() ?) ![]() ?) ![]() Вопрос id:367151 Тема/шкала: Геометрия Из пластины, имеющей форму правильного треугольника площадью 9√3, вырезан квадрат, имеющий максимально возможную площадь. Чему равен его периметр? ?) 18√3 - 12 ?) 48√3 - 72 ?) 64√3 - 96 ?) 54 - 16√3 Вопрос id:367152 Тема/шкала: Геометрия Диагональ равнобедренной трапеции перпендикулярна боковой стороне. Высота, опущенная из вершины тупого угла на основание равна 6 и делит основание в отношении 4:1. Найдите площадь трапеции ?) 64 ?) 72 ?) 50 ?) 60 Вопрос id:367153 Тема/шкала: Геометрия В равнобедренной трапеции центр вписанного круга находится от вершины верхнего основания на расстоянии 3, а от вершины нижнего основания на расстоянии 4. Чему равна площадь круга, вписанного в эту трапецию? ?) 2,56π ?) 3,24π ?) 6,76π ?) 5,76π Вопрос id:367154 Тема/шкала: Геометрия В прямоугольном треугольнике с катетами 14 и 18 проведены медианы острых углов. Они разбивают исходный треугольник на три треугольника и четырехугольник. Какова площадь этого четырехугольника? ?) 64 ?) 56 ?) 72 ?) 42 Вопрос id:367155 Тема/шкала: Геометрия Определите площадь треугольника по радиусу R описанного около него круга и двум углам, содержащим 45 и 60° ?) ![]() ?) ![]() ?) ![]() ?) ![]() Вопрос id:367156 Тема/шкала: Геометрия В круге радиуса R проведены по одну сторону от центра две параллельные хорды, из которых одна стягивает дугу в 120°, а другая в 60°. Найдите часть площади круга, заключенную между хордами ?) ![]() ?) ![]() ?) ![]() ?) ![]() Вопрос id:367157 Тема/шкала: Геометрия В ромб, который делится диагональю на два равносторонних треугольника, вписана окружность радиуса r. Найдите площадь ромба ?) ![]() ?) 2r2√3 ?) 4r2 ?) 4r2√2 Вопрос id:367158 Тема/шкала: Геометрия Площадь треугольника АBC равна 12. Из вершины B проведена медиана BD = 3. Найдите сторону АС, если ∠АBD = 90° ?) 2√73 ?) 10 ?) √73 ?) 8 Вопрос id:367159 Тема/шкала: Геометрия Среди равнобедренных треугольников с боковой стороной а, найдите основание треугольника наибольшей площади ?) a√3 ?) a√2 ?) 2а ?) ![]() Вопрос id:367160 Тема/шкала: Геометрия Периметры двух подобных треугольников 24 и 36, а площадь одного из них на 12,5 больше площади другого. Найдите площадь меньшего треугольника ?) 9 ?) 12 ?) 8 ?) 10 Вопрос id:367161 Тема/шкала: Геометрия Две стороны и биссектриса между ними треугольника соответственно равны 60; 40 и 24. Найдите площадь треугольника ?) 600√3 ?) 300√3 ?) 400√3 ?) 800√2 Вопрос id:367162 Тема/шкала: Геометрия В шестиугольнике со стороной 1 последовательно соединены середины всех сторон, в новом шестиугольнике опять соединены середины сторон, потом снова соединены середины сторон полученного шестиугольника и т.д. Найдите сумму площадей всех этих шестиугольников ?) 2√6 ?) 6√3 ?) 3√6 ?) 2√3 Вопрос id:367163 Тема/шкала: Геометрия Большее основание трапеции равно 32, а меньшее основание в 2 раза больше ее высоты. В каком промежутке лежит высота трапеции, если ее площадь больше 132 и меньше 161? ?) (5; 6) ?) (6; 7) ?) (3; 4) ?) (2; 3) Вопрос id:367164 Тема/шкала: Геометрия Прямая параллельная основанию треугольника, делит его боковую сторону в отношении 5:3 (считая от вершины), а площадь - на части, разность которых равна 56. Найдите площадь всего треугольника ?) 204 ?) 144 ?) 196 ?) 256 Вопрос id:367165 Тема/шкала: Геометрия Основания равнобедренной трапеции 7 и 25, а диагональ ее равна 20. Вычислите площадь трапеции ?) 160 ?) 128 ?) 192 ?) 182 Вопрос id:367166 Тема/шкала: Геометрия На сторонах треугольника АBC взяты точки M, N и P так, что они делят стороны АВ, BC и СА в отношении 1:2, считая с вершины А, В и С. Найдите площадь треугольника МNР, если известно, что площадь треугольника АBC равна S ?) 2/5S ?) 2/3S ?) 1/2S ?) 1/3S Вопрос id:367167 Тема/шкала: Геометрия Диагонали равнобедренной трапеции взаимно перпендикулярны. Большее основание трапеции равно 18√3, а меньшее 6√3. Найдите площадь этой трапеции ?) 288 ?) 216 ?) 432 ?) 422 Вопрос id:367168 Тема/шкала: Геометрия Прямоугольный треугольник вписан в окружность радиуса 5 см. В треугольник вписана окружность радиуса 1 см. Найдите площадь треугольника (см2) ?) 11 ?) 22 ?) 12 ?) 8√2 Вопрос id:367169 Тема/шкала: Геометрия На диаметре круга построен треугольник, вписанный в этот круг. Площадь круга 289π, а одна из сторон треугольника 30. Найдите площадь круга, вписанного в этот треугольник ?) 36π ?) 64π ?) 20π ?) 16π Вопрос id:367170 Тема/шкала: Геометрия Из точки к плоскости проведены наклонная и перпендикуляр. Проекция наклонной на плоскость равна 45, а длина перпендикуляра - 28. Найдите угол между наклонной и перпендикуляром ?) arcsin 45/53 ?) arcsin 28/53 ?) arcctg 45/25 ?) arccos 14/53 Вопрос id:367171 Тема/шкала: Геометрия Длина наклонной, проведенной к плоскости равна 75, а ее проекция на плоскость равна 72. Найдите угол между наклонной и плоскостью ?) arcsin 7/24 ?) arccos 7/50 ?) arcsin 7/25 ?) arcsin 24/25 Вопрос id:367172 Тема/шкала: Геометрия Угол между наклонной и перпендикуляром равен arcsin 24/25. Длина наклонной равна 75. Найдите длину перпендикуляра ?) 21 ?) 72 ?) 21 7/8 ?) 10 1/2 Вопрос id:367173 Тема/шкала: Геометрия Из точки к плоскости проведены наклонная и перпендикуляр. Проекция наклонной на плоскость равна 11, а длина перпендикуляра - 60. Найдите угол между наклонной и перпендикуляром ?) arctg 60/61 ?) arcsin 11/61 ?) arccos 11/60 ?) arcsin 11/60 Вопрос id:367174 Тема/шкала: Геометрия Из точки к плоскости проведены наклонная и перпендикуляр. Угол между наклонной и плоскостью равен arccos 0,28, а проекция наклонной к плоскости равна 21. Найдите длину перпендикуляра ?) 20 4/25 ?) 5 22/25 ?) 72 ?) 36 Вопрос id:367175 Тема/шкала: Геометрия Угол между наклонной и перпендикуляром равен arcsin 20/29. Длина наклонной равна 58. Найдите длину перпендикуляра ?) 80 ?) 33 ?) 40 ?) 42 Вопрос id:367176 Тема/шкала: Геометрия Из точки к плоскости проведены наклонная и перпендикуляр. Угол между наклонной и плоскостью равен arccos 0,96, а проекция наклонной к плоскости равна 72. Найдите длину перпендикуляра ?) 20 4/25 ?) 21 ?) 42 ?) 10 2/25 Вопрос id:367177 Тема/шкала: Геометрия Угол между наклонной и перпендикуляром равен arcsin 16/25. Длина наклонной равна 130. Найдите длину перпендикуляра ?) 96 ?) 52 ?) 126 ?) 64 Вопрос id:367178 Тема/шкала: Геометрия Из точки к плоскости проведены наклонная и перпендикуляр. Угол между наклонной и плоскостью равен arccos 7/25, а проекция наклонной к плоскости равна 14. Найдите длину перпендикуляра ?) 28 ?) 36 ?) 14 ?) 48 Вопрос id:367179 Тема/шкала: Геометрия Угол между наклонной и перпендикуляром равен arcsin 11/61. Длина наклонной равна 122. Найдите длину перпендикуляра ?) 24 ?) 120 ?) 90 ?) 22 Вопрос id:367180 Тема/шкала: Геометрия Из точки к плоскости проведены наклонная и перпендикуляр. Угол между наклонной и плоскостью неравен arccos 15/17, а проекция наклонной к плоскости равна 30. Найдите длину перпендикуляра ?) 23 ?) 16 ?) 32 ?) 30 Вопрос id:367181 Тема/шкала: Геометрия Длина наклонной, проведенной к плоскости равна 75, а ее проекция на плоскость равна 60. Найдите угол между наклонной и плоскостью ?) arcsin 4/5 ?) arcsin 3/4 ?) arcsin 3/5 ?) arccos 3/10 Вопрос id:367182 Тема/шкала: Геометрия Длина наклонной, проведенной к плоскости равна 125, а ее проекция на плоскость равна 35. Найдите угол между наклонной и плоскостью ?) arctg 7/48 ?) arccos 12/25 ?) arcsin 7/25 ?) arcsin 24/25 Вопрос id:367183 Тема/шкала: Геометрия Угол между наклонной и перпендикуляром равен arcsin 7/25. Длина наклонной равна 75. Найдите длину перпендикуляра ?) 36 ?) 31 1/2 ?) 72 ?) 21 Вопрос id:367184 Тема/шкала: Геометрия Из точки к плоскости проведены наклонная и перпендикуляр. Проекция наклонной на плоскость равна 63, а длина перпендикуляра - 16. Найдите угол между наклонной и перпендикуляром ?) arcsin 63/65 ?) arccos 32/65 ?) arctg 63/65 ?) arcsin 16/65 Вопрос id:367185 Тема/шкала: Геометрия Из точки к плоскости проведены наклонная и перпендикуляр. Проекция наклонной на плоскость равна 45, а длина перпендикуляра - 28. Найдите угол между наклонной и перпендикуляром ?) arcos14/53 ?) arcsin 28/53 ?) arcctg 45/25 ?) arcsin 45/53 Вопрос id:367186 Тема/шкала: Геометрия Из точки к плоскости проведены наклонная и перпендикуляр. Угол между наклонной и плоскостью неравен arccos 3/5, а проекция наклонной к плоскости равна 24. Найдите длину перпендикуляра ?) 19 1/5 ?) 72 ?) 16 ?) 32 Вопрос id:367187 Тема/шкала: Геометрия Из точки к плоскости проведены наклонная и перпендикуляр. Угол между наклонной и плоскостью равен arccos 15/17, а проекция наклонной к плоскости равна 30. Найдите длину перпендикуляра ?) 16 ?) 30 ?) 23 ?) 32 Вопрос id:367188 Тема/шкала: Геометрия Из точки к плоскости проведены наклонная и перпендикуляр. Проекция наклонной на плоскость равна 11, а длина перпендикуляра - 60. Найдите угол между наклонной и перпендикуляром ?) arcsin 11/61 ?) arcsin 60/61 ?) arcctg 11/60 ?) arccos 22/61 Вопрос id:367189 Тема/шкала: Геометрия Из точки к плоскости проведены наклонная и перпендикуляр. Угол между наклонной и плоскостью равен arccos 4/5, а проекция наклонной к плоскости равна 36. Найдите длину перпендикуляра ?) 21 3/5 ?) 28 4/5 ?) 27 ?) 48 Вопрос id:367190 Тема/шкала: Геометрия Из точки к плоскости проведены наклонная и перпендикуляр. Проекция наклонной на плоскость равна 12, а длина перпендикуляра - 35. Найдите угол между наклонной и перпендикуляром ?) arctg 35/12 ?) arcsin 12/37 ?) arcsin 35/37 ?) arccos 24/37 Вопрос id:367191 Тема/шкала: Геометрия Из точки к плоскости проведены наклонная и перпендикуляр. Проекция наклонной на плоскость равна 63, а длина перпендикуляра - 16. Найдите угол между наклонной и перпендикуляром ?) arctg 63/35 ?) arcsin 63/65 ?) arcsin 16/65 ?) arccos 32/65 Вопрос id:367192 Тема/шкала: Геометрия Угол между наклонной и перпендикуляром равен arcsin 12/37. Длина наклонной равна 74. Найдите длину перпендикуляра ?) 24 ?) 70 ?) 54 ?) 48 Вопрос id:367193 Тема/шкала: Геометрия Из точки к плоскости проведены наклонная и перпендикуляр. Проекция наклонной на плоскость равна 60, а длина перпендикуляра - 11. Найдите угол между наклонной и перпендикуляром ?) arctg 11/61 ?) arccos 11/60 ?) arcsin 60/61 ?) arcsin 11/60 Вопрос id:367194 Тема/шкала: Геометрия Угол между наклонной и перпендикуляром равен arcsin 16/65. Длина наклонной равна 130. Найдите длину перпендикуляра ?) 126 ?) 32 ?) 96 ?) 64 Вопрос id:367195 Тема/шкала: Геометрия Из точки к плоскости проведены наклонная и перпендикуляр. Проекция наклонной на плоскость равна 21, а длина перпендикуляра - 20. Найдите угол между наклонной и перпендикуляром ?) arcsin 20/21 ?) arccos 20/21 ?) arctg 20/29 ?) arcsin 21/29 Вопрос id:367196 Тема/шкала: Геометрия Угол между наклонной и перпендикуляром равен arcsin 12/13. Длина наклонной равна 39. Найдите длину перпендикуляра ?) 30 ?) 16 1/4 ?) 36 ?) 15 Вопрос id:367197 Тема/шкала: Геометрия Угол между наклонной и перпендикуляром равен arcsin 20/29. Длина наклонной равна 58. Найдите длину перпендикуляра.\r ----- ?) 80 ?) 42 ?) 40 ?) 33 |
Copyright tests.ithead.ru 2013-2026

















