Тесты онлайн, бесплатный конструктор тестов. Психологические тестирования, тесты на проверку знаний.
Список вопросов базы знанийМатематикаВопрос id:366189 Тема/шкала: Элементарная математика Вычислите: 3,8 * (2,01 - 3,81) ?) 6,84 ?) -6,84 ?) 5,82 ?) -5,82 Вопрос id:366190 Тема/шкала: Элементарная математика Сумма двух чисел равна 6,5. Одно из них в 4 раза меньше другого. Найдите большее из них ?) 5 ?) 6 ?) 4 ?) 5,2 Вопрос id:366191 Тема/шкала: Элементарная математика Сумма двух чисел равна 7. Одно из них в 4 раза больше другого. Найдите большее из чисел ?) 5,6 ?) 5,2 ?) 6,2 ?) 5,4 Вопрос id:366192 Тема/шкала: Элементарная математика Чему равно значение выражения:
?) 5/8 ?) 2 ?) 2/5 ?) 0,2 Вопрос id:366193 Тема/шкала: Элементарная математика Среднее арифметическое чисел у; 2,1; 3 и 2,1 равно 2,3. Найдите у ?) 2,6 ?) 2 ?) 2,1 ?) 3,4 Вопрос id:366194 Тема/шкала: Элементарная математика Чему равно значение выражения:
?) 1/12 ?) 2/5 ?) 0,04 ?) 1/24 Вопрос id:366195 Тема/шкала: Элементарная математика Сумма двух чисел равна 4,8. Одно из них в 3 раза меньше другого. Найдите меньшее из этих чисел ?) 1,2 ?) 1,6 ?) 2,1 ?) 1,4 Вопрос id:366196 Тема/шкала: Элементарная математика Среднее арифметическое чисел 5,4; у и -2,2 равно 1,2. Найдите у ?) -0,8 ?) -0,4 ?) 1,2 ?) 0,4 Вопрос id:366197 Тема/шкала: Элементарная математика Найдите число, обратное числу -1,5 ?) 2/3 ?) -2/3 ?) -0,75 ?) 1,5 Вопрос id:366199 Тема/шкала: Элементарная математика Какому из указанных чисел равна сумма: 1,015*10-5 + 3,14*10-4? ?) 1,329*10-4 ?) 4,155*10-5 ?) 3,2415*10-4 ?) 4,155*10-9 Вопрос id:366200 Тема/шкала: Элементарная математика Чему равно значение выражения:
?) 2 ?) 2/5 ?) 5/8 ?) 0,2 Вопрос id:366201 Тема/шкала: Элементарная математика Найдите число, обратное числу 0,8 ?) -0,8 ?) 8 ?) 1,25 ?) -5/4 Вопрос id:366202 Тема/шкала: Элементарная математика Среднее арифметическое чисел 5,4; у и -2,2 равно 0,8. Найдите у ?) 1,2 ?) -0,4 ?) -0,8 ?) 0,4 Вопрос id:366203 Тема/шкала: Элементарная математика На карте расстояние между двумя городами равно 4,5 см. Найдите истинное расстояние (км) между этими городами, если масштаб карты 1:200 000 000 ?) 9 ?) 90 ?) 0,9 ?) 9000 Вопрос id:366204 Тема/шкала: Элементарная математика Среднее арифметическое чисел х; -2,1 и 3,3 равно 0,6. Найдите х ?) 2 ?) 0,6 ?) 0,8 ?) -0,6 Вопрос id:366205 Тема/шкала: Элементарная математика Напишите число 360,21 в стандартном виде ?) 3,6021*103 ?) 3,6021*102 ?) 36,02*102 ?) 3,6*103 Вопрос id:366206 Тема/шкала: Элементарная математика Найдите число, обратное числу 5/2 ?) -6 ?) 0,4 ?) -0,6 ?) 1 2/3 Вопрос id:366207 Тема/шкала: Элементарная математика Чему равно значение выражения:
?) 1/2 ?) 6 ?) 2/3 ?) 5/12 Вопрос id:366208 Тема/шкала: Элементарная математика Найдите число, обратное числу -4/3 ?) 1,5 ?) 2/3 ?) -2/3 ?) -0,75 Вопрос id:366209 Тема/шкала: Элементарная математика Какому из указанных чисел равна сумма: 2,701*10-3 + 3,205*10-4 ? ?) 3,4751*10-3 ?) 3,0215*10-3 ?) 5,906*10-4 ?) 5,906*10-3 Вопрос id:366210 Тема/шкала: Элементарная математика Найдите число, обратное числу 0,125 ?) 8 ?) 1,25 ?) -5/4 ?) -0,8 Вопрос id:366211 Тема/шкала: Элементарная математика Чему равно значение выражения:
?) 0,04 ?) 2/5 ?) 1/24 ?) 2/3 Вопрос id:366212 Тема/шкала: Элементарная математика Среднее арифметическое чисел x; 2,1; 3 и 2,1 равно 2,55. Найдите x ?) 2 ?) 2,1 ?) 2,6 ?) 3 Вопрос id:366213 Тема/шкала: Элементарная математика Вычислите:
?) 11 2/5 ?) 12 ?) 11 8/13 ?) 13,5 Вопрос id:366214 Тема/шкала: Элементарная математика Сколько несократимых дробей со знаменателем 27, которые больше 2/3 и меньше 1? ?) 4 ?) 7 ?) 5 ?) 6 Вопрос id:366215 Тема/шкала: Элементарная математика Выполните действия:
?) 2,8 ?) 5,6 ?) 2 2/3 ?) 2 1/3 Вопрос id:366216 Тема/шкала: Элементарная математика Найдите значение выражения: `3 1/5 *(2 1/3 : 3.2 - 3)+ 9.6 ` ?) 2 1/3 ?) 1 1/3 ?) 1 2/3 ?) 2 1/15 Вопрос id:366217 Тема/шкала: Элементарная математика Упростите выражение: |n - m| - |n + k| - |m - k|, если m > n > k > 0 ?) 2n ?) 2k-2n ?) -2n ?) 2k-2m Вопрос id:366218 Тема/шкала: Элементарная математика Найдите среднее арифметическое целых частей следующих неправильных дробей: 65/6 и 39/8 ?) 5 ?) 7 ?) 8 ?) 6 Вопрос id:366219 Тема/шкала: Элементарная математика Выполните действия:
?) 1/4 ?) 3/16 ?) -1/16 ?) -1/8 Вопрос id:366220 Тема/шкала: Элементарная математика Упростите выражение: |р + q| + |k - q| - |k - р|, если р > q > k > 0 ?) 2р ?) 2р + 2q - 2k ?) 2р + 2k ?) 2q Вопрос id:366221 Тема/шкала: Элементарная математика Вычислите:
?) 4,2 ?) 0,4 ?) 4,4 ?) 4,5 Вопрос id:366222 Тема/шкала: Элементарная математика Вычислите:
?) 3/5 ?) 5/7 ?) 2/7 ?) 3/7 Вопрос id:366223 Тема/шкала: Элементарная математика Выполните действия:
?) 24 1/15 ?) 47 ?) 38 3/5 ?) 32 7/45 Вопрос id:366224 Тема/шкала: Элементарная математика Вычислите:
?) -3,6 ?) -0,36 ?) 0,36 ?) 0,64 Вопрос id:366225 Тема/шкала: Элементарная математика Какая пара состоит из взаимно простых чисел? ?) (21; 10) ?) (21; 14) ?) (10; 15) ?) (12; 15) Вопрос id:366226 Тема/шкала: Элементарная математика Расставьте в порядке возрастания числа: a = 49/150; b = 102/300; c = 22/75 ?) b < с < а ?) а < с < b ?) с < b < а ?) с < а < b Вопрос id:366227 Тема/шкала: Элементарная математика Какая пара состоит из взаимно простых чисел? ?) (12; 35) ?) (12; 34) ?) (11; 22) ?) (8; 14) Вопрос id:366228 Тема/шкала: Элементарная математика Выполните действия: `10 - 2 1/2 : 3 3/4 +(2 1/2 - 1 4/9)⋅ 6 ` ?) `16 1/3 ` ?) `17 1/3 ` ?) `15 2/3 ` ?) `16 2/3 ` Вопрос id:366229 Тема/шкала: Элементарная математика Упростите выражение: |х — у| — |z — у| — |z — х|, если х < у < z ?) 2у-2х ?) 2х ?) 2z-2y ?) 2y-2z Вопрос id:366230 Тема/шкала: Элементарная математика Выполните действия:
?) -6 4/7 ?) -6 3/7 ?) -7 5/7 ?) -7 3/7 Вопрос id:366231 Тема/шкала: Элементарная математика Выполните действия:
?) 20 ?) 10 ?) 2 ?) 0,4 Вопрос id:366232 Тема/шкала: Элементарная математика Выполните действия:
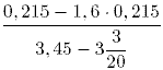
?) 4,3 ?) -4,2 ?) 0,43 ?) -0,43 Вопрос id:366233 Тема/шкала: Элементарная математика Выполните действия:
?) -5 ?) -2 ?) -0,2 ?) 1,5 Вопрос id:366234 Тема/шкала: Элементарная математика Деталь в масштабе 1:5 имеет длину 2,1 см. Какую длину (см) имеет данная деталь в масштабе 1:4,5? ?) 15 ?) 3,1 ?) 3/5 ?) 2 1/3 Вопрос id:366235 Тема/шкала: Элементарная математика Выполните действия:
?) 2120 ?) 1800 ?) 2000 ?) 2010 Вопрос id:366236 Тема/шкала: Элементарная математика Выполните действия:
?) 10 ?) 8 ?) 6 ?) 12 Вопрос id:366237 Тема/шкала: Элементарная математика Выполните действия:
?) 12 ?) 16 ?) 13,5 ?) 10,5 Вопрос id:366238 Тема/шкала: Элементарная математика Даны числа 24, 18 и 54. Найдите частное от деления наименьшего кратного этих чисел на их наибольший делитель ?) 36 ?) 72 ?) 12 ?) 48 Вопрос id:366239 Тема/шкала: Элементарная математика Вычислите:
?) 2/5 ?) 1/2 ?) -2/5 ?) -4/3 |
Copyright tests.ithead.ru 2013-2026







