Тесты онлайн, бесплатный конструктор тестов. Психологические тестирования, тесты на проверку знаний.
Список вопросов базы знанийМатематика (курс 3)Вопрос id:740254 Произведение АВ матриц ![]() ?) АВ = ВА ?) ![]() ?) не существует ?) Вопрос id:740255 Произведение матриц ?) ?) ?) ?) Вопрос id:740256 Ранг матрицы равен ___ (наберите число)Вопрос id:740257 Ранг матрицы равен ___ (наберите число)Вопрос id:740258 Ранг матрицы равен ___ (наберите число)Вопрос id:740259 Ранг матрицы равен___ (наберите целое число)?) 3 ?) 1 ?) 4 ?) 2 Вопрос id:740260 Ранг матрицы равен___ (наберите целое число)Вопрос id:740261 Расширенная матрица системы . Такая система?) несовместима ?) имеет 3 решения ?) ?) имеет единственное решение Вопрос id:740262 Система имеет?) единственное решение ?) множество решений ?) нулевое решение ?) несовместна Вопрос id:740263 Система имеет?) несовместна ?) множество решений ?) 3 решения ?) единственное решение Вопрос id:740264 Система n уравнений c n неизвестными ?) r(A) ≠ n ?) всегда ?) лишь одна свободная переменная ?) detA ≠ 0 Вопрос id:740265 Система n уравнений c n неизвестными ?) detA = 0 ?) r(A) = n ?) нет свободных переменных ?) всегда Вопрос id:740266 Система n уравнений с n неизвестными ?) detA = 0 ?) detA ≠ 0 ?) r(A) = n ?) есть свободные переменные Вопрос id:740267 Система n уравнений с n неизвестными ?) число уравнений равно числу неизвестных ?) detA = 0 ?) r(A) = n ?) r(A) < n Вопрос id:740268 Система линейных уравнений ?) нет свободных переменных ?) detA = 0 ?) r(A) < r ?) число уравнений равно числу неизвестных Вопрос id:740269 Система линейных уравнений ?) нет свободных переменных ?) не существует решения ?) ?) r(A) > n Вопрос id:740270 Система линейных уравнений ?) существует решение ?) ?) ?) r(A) < n Вопрос id:740271 Система линейных уравнений с n неизвестными ?) все переменные свободные ?) r(A) = n ?) r(A) < n ?) все переменные зависимые Вопрос id:740272 Система уравнений ![]() ?) совместна ?) определитель системы равен нулю ?) имеет нулевое решение ?) имеет множество решений Вопрос id:740273 Система уравнений ![]() ?) имеет единственное решение ?) определитель системы не равен нулю ?) имеет множество решений ?) совместна Вопрос id:740274 Система уравнений имеет?) два решения ?) лишь нулевое решение ?) единственное решение ?) множество решений Вопрос id:740275 Система уравнений имеет?) единственное решение ?) несовместна ?) два решения ?) множество решений Вопрос id:740276 Система уравнений имеет?) rang A = rang ?) rang A ≠ rang ?) единственное решение ?) несовместна Вопрос id:740277 Система уравнений имеет?) ?) частное решение ?) единственное решение ?) множество решений Вопрос id:740278 Система уравнений имеет?) нулевое решение ?) единственное решение ?) множество решений ?) несовместна Вопрос id:740279 Совместная система ?) число уравнений равно числу неизвестных ?) ?) ?) r(A) = n Вопрос id:740280 Совместная система линейных уравнений с n неизвестными ?) нет свободных переменных ?) detA = 0 ?) r(A) = n ?) r(A) ≠ n Вопрос id:740281 Совместная система линейных уравнений с n неизвестными ?) r(A) < n ?) r(A) = n ?) все переменные зависимые ?) все переменные свободные Вопрос id:740282 Совместными являются системы ?) ![]() ?) ![]() ?) ![]() ?) ![]() Вопрос id:740283 Строки матрицы линейно зависимы при α = ___ (наберите число)Вопрос id:740284 Сумма матриц ?) ?) ?) ?) Вопрос id:740285 Укажите соответствие между названиями и их определениями
Вопрос id:740286 Дана матрица . Тогда сумма элементов ?) – 3 ?) 4 ?) 7 ?) – 7 Вопрос id:740287 Дана матрица . Тогда сумма элементов ?) – 8 ?) 5 ?) 8 ?) – 5 Вопрос id:740288 Дана матрица . Тогда сумма элементов ?) 1 ?) 19 ?) 9 ?) – 9 Вопрос id:740289 Дана матрица . Тогда сумма элементов, расположенных на главной диагонали этой матрицы, равна?) 7 ?) 11 ?) 1 ?) – 1 Вопрос id:740290 Дана матрица . Тогда сумма элементов ?) 22 ?) – 4 ?) 4 ?) 11 Вопрос id:740291 Дана матрица . Тогда сумма элементов, расположенных на главной диагонали этой матрицы, равна?) – 5 ?) – 6 ?) 6 ?) 25 Вопрос id:740292 Дана матрица . Тогда сумма элементов, расположенных на главной диагонали этой матрицы, равна...?) – 3 ?) 5 ?) – 5 ?) 3 Вопрос id:740293 Дана матрица . Тогда сумма элементов, расположенных на главной диагонали этой матрицы, равна...?) – 12 ?) 6 ?) 1 ?) – 5 Вопрос id:740294 Дана матрица . Тогда сумма элементов, расположенных на главной диагонали этой матрицы, равна...?) 1 ?) – 1 ?) – 15 ?) 5 Вопрос id:740295 Дана матрица . Тогда сумма элементов ?) 12 ?) 9 ?) 10 ?) – 12 Вопрос id:740296 Дана система линейных уравнений . Система не имеет решений при а равном?) 0 ?) -2 ?) 0,5 ?) 2 Вопрос id:740297 Дана система линейных уравнений . Система не имеет решений при а равном?) 0 ?) 1 ?) -2 ?) -4 Вопрос id:740298 Дана система линейных уравнений . Система не имеет решений при а равном?) -3 ?) -1/3 ?) 3 ?) 1/3 Вопрос id:740299 Дана система линейных уравнений . Система не имеет решений при а равном?) 5 ?) -0,2 ?) -5 ?) 0,2 Вопрос id:740300 Дана система линейных уравнений . Система не имеет решений при а равном?) -7 ?) 7 ?) -1/7 ?) 1/7 Вопрос id:740301 Дана система линейных уравнений . Система не имеет решений при а равном?) 6 ?) 2 ?) -2 ?) -6 Вопрос id:740302 Дана система линейных уравнений . Система не имеет решений при а равном?) -5 ?) 8 ?) -8 ?) 5 Вопрос id:740303 Дана система линейных уравнений . Система не имеет решений при а равном?) 3 ?) 2 ?) -6 ?) 6 |
Copyright tests.ithead.ru 2013-2026


равен ___ (наберите число)
равен ___ (наберите число)
равен ___ (наберите число)
равен___ (наберите целое число)
равен___ (наберите целое число)
. Такая система
имеет
имеет

имеет
имеет
имеет
имеет
имеет



линейно зависимы при α = ___ (наберите число)
. Тогда сумма элементов
. Тогда сумма элементов
. Тогда сумма элементов
. Тогда сумма элементов, расположенных на главной диагонали этой матрицы, равна
. Тогда сумма элементов
. Тогда сумма элементов, расположенных на главной диагонали этой матрицы, равна
. Тогда сумма элементов, расположенных на главной диагонали этой матрицы, равна...
. Тогда сумма элементов, расположенных на главной диагонали этой матрицы, равна...
. Тогда сумма элементов, расположенных на главной диагонали этой матрицы, равна...
. Тогда сумма элементов
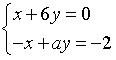
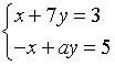
. Система не имеет решений при а равном
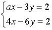
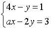
. Система не имеет решений при а равном
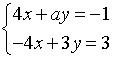
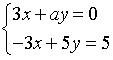
. Система не имеет решений при а равном
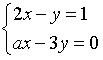
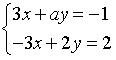
. Система не имеет решений при а равном
. Система не имеет решений при а равном
. Система не имеет решений при а равном
. Система не имеет решений при а равном
. Система не имеет решений при а равном