Тесты онлайн, бесплатный конструктор тестов. Психологические тестирования, тесты на проверку знаний.
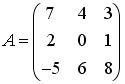
Список вопросов базы знанийМатематика (курс 3)Вопрос id:740404 Установите соответствие между матрицами А и суммами элементов
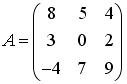
Вопрос id:740405 Установите соответствие между матрицами А и суммами элементов
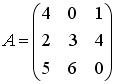
Вопрос id:740406 Установите соответствие между матрицами и их рангами.
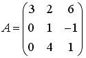
Вопрос id:740407 Установите соответствие между системой линейных уравнений и ее расширенной матрицей.
Вопрос id:740408 В полярных координатах уравнение линии (x2 + y2)2 = 2x имеет вид ?) r3 = cosφ ?) r3 = 2cosφ ?) r3 = 2sinφ ?) r4 = 2cosφ Вопрос id:740409 В полярных координатах уравнение линии (x2 + y2)2 = 2y2 имеет вид ?) r2 = 2cos2φ ?) r4 = 2sin2φ ?) r2 = 2sin2φ ?) r2 = sin2φ Вопрос id:740410 В полярных координатах уравнение линии (x2 + y2)2 = 3x2 имеет вид ?) r2 = 3sin2φ ?) r2 = 3cos2φ ?) ?) Вопрос id:740411 В полярных координатах уравнение линии (x2 + y2)2 = 4xy имеет вид ?) r2 = 2sin2φ ?) r4 = 2sin2φ ?) r2 = 4sin2φ ?) r2 = 2cos2φ Вопрос id:740412 В полярных координатах уравнение линии (x2 + y2)2 = 4y имеет вид ?) r3 = 4sinφ ?) r4 = 4sinφ ?) r3 = 4cosφ ?) r4 = 4cosφ Вопрос id:740413 В полярных координатах уравнение линии (x2 + y2)2 = x2 – y2 имеет вид ?) r2 = cos2φ ?) r2 = sin2φ ?) r4 = cos2φ ?) r4 = sin2φ Вопрос id:740414 В полярных координатах уравнение линии (x2 + y2)3 = 2xy имеет вид ?) r4 = cos2φ ?) r4 = 2sin2φ ?) r4 = sin2φ ?) r6 = sin2φ Вопрос id:740415 В полярных координатах уравнение линии (x2 + y2)3 = 4(y2 – x2) имеет вид ?) r4 = 4cos2φ ?) r4 = –2sin2φ ?) r4 = 2sin2φ ?) r4 = –4cos2φ Вопрос id:740416 Вектор Вопрос id:740417 Вектор ?) {–1,2} ?) {1,2} ?) {–1,–2} ?) {1,–2} Вопрос id:740418 Даны векторы Вопрос id:740419 Даны векторы Вопрос id:740420 Даны векторы Вопрос id:740421 Даны векторы ?) {1,–1,0} ?) {2,0,–2} ?) {2,–1,–1} ?) {2,1,–3} Вопрос id:740422 Даны векторы ?) {2,3,–5} ?) {2,–1,–1} ?) {2,–3,1} ?) {6,–1,–5} Вопрос id:740423 Даны два вектора Вопрос id:740424 Даны два вектора Вопрос id:740425 Даны два вектора Вопрос id:740426 Даны два вектора Вопрос id:740427 Даны два вектора Вопрос id:740428 Даны два вектора Вопрос id:740429 Даны два вектора ?) 45° ?) 60° ?) 20° ?) 90° Вопрос id:740430 Даны координаты точки М(2,–2). Её полярные координаты ?) ?) ?) ?) Вопрос id:740431 Даны координаты точки М( ?) ?) ?) ?) Вопрос id:740432 Даны полярные координаты точки М(2, ?) x = 2 ?) ?) ?) x = –2 Вопрос id:740433 Длина вектора ?) 0 ?) 6 ?) –2 ?) Вопрос id:740434 Длина вектора Вопрос id:740435 Длина вектора Вопрос id:740436 Длину ?) {2,0,3} ?) {3,6,4} ?) {5,5,3} ?) {–3,2,0} Вопрос id:740437 Каноническое уравнение прямой ?) x = 5 – 2λ, y = 3 – 4λ ?) x = 2 + 5λ, y = 3λ – 4 ?) x = 5 + 2λ, y = 4λ – 3 ?) x = 2λ – 5, y = 4λ + 3 Вопрос id:740438 Каноническое уравнение прямой ?) {2,4} ?) {1,2} ?) {1,–3} ?) {–1,3} Вопрос id:740439 Каноническое уравнение прямой ?) x = 3 – λ; y = 4 + 2λ ?) x = – 1 + 3λ; y = 2 + 4λ ?) x = 1+ 3λ; y = –2 + 4λ ?) x = – 1 – 3λ; y = 2 –4λ Вопрос id:740440 Каноническое уравнение прямой ?) x = 3 + 2λ; y = –1 + 3λ ?) x = 3 + 2λ; y = 1 + 3λ ?) x = 2 + 3λ; y = 3 – λ ?) x = 2 – 3λ; y = 3 + λ Вопрос id:740441 Координаты векторного произведения [ ?) {–27,–3,–12} ?) {12,4,–8} ?) {0,0,0} ?) {–3,–1,2} Вопрос id:740442 Координаты векторного произведения [ Вопрос id:740443 Координаты векторного произведения [ Вопрос id:740444 Координаты вершин гиперболы ?) A1(0,4), A2(0,–4) ?) A1(3,0), A2(–3,0) ?) A1(0,–3), A2(0,3) ?) A1(4,0), A2(–4,0) Вопрос id:740445 Координаты вершин и фокусов гиперболы ?) A1(5,0); A2(–5,0) ?) F1(6,0); F2(–6,0) ?) F1(0,6); F2(0,–6) ?) A1(0,5); A2(0, –5) Вопрос id:740446 Координаты вершин и фокусов гиперболы ?) F1(6,0); F2(–6,0) ?) ?) A1(0,5); A2 (0,–5) ?) F1(0,6); F2(0,–6) Вопрос id:740447 Координаты вершин эллипса ?) (0,4), (0,–4) ?) (0,5), (0,–5) ?) (5,0), (–5,0) ?) (4,0), (–4,0) Вопрос id:740448 Координаты фокуса и уравнение директрисы параболы 12y = x2 ?) F(3,0) ?) x = –3 ?) y = –3 ?) F(0,3) Вопрос id:740449 Координаты фокуса и уравнение директрисы параболы x2 + 16y = 0 ?) F (0,–4) ?) y = 4 ?) F(0, 4) ?) x = –4 Вопрос id:740450 Координаты фокуса и уравнение директрисы параболы x2 = 24y ?) F(0,6) ?) x = –6 ?) F(6,0) ?) y = –6 Вопрос id:740451 Координаты фокуса и уравнение директрисы параболы y2 + 8x = 0 ?) F(0, –2), y = 2 ?) F(2,0), x = –2 ?) F(–4,0), x = 4 ?) F(–2,0), x = 2 Вопрос id:740452 Координаты фокуса и уравнение директрисы параболы y2 = 24x ?) F(12,0), x = –12 ?) F(0,6), y = –6 ?) F(6,0), x = –6 ?) F(–6,0), x = 6 Вопрос id:740453 Координаты фокуса и уравнения директрисы параболы 16y = x2 ?) F(0,4), y = –4 ?) F(0,8), y = –8 ?) F(4,0), x = –4 ?) F(8,0), x = –8 |
Copyright tests.ithead.ru 2013-2026



















