Тесты онлайн, бесплатный конструктор тестов. Психологические тестирования, тесты на проверку знаний.
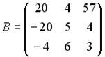
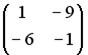
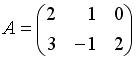
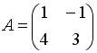
Список вопросов базы знанийМатематика (курс 3)Вопрос id:740304 Дана система линейных уравнений . Система не имеет решений при а равном?) -0,25 ?) -6 ?) -5 ?) -4 Вопрос id:740305 Дана система линейных уравнений . Система не имеет решений при а равном?) -0,1 ?) -10 ?) 10 ?) -2 Вопрос id:740306 Определитель равен?) 14 ?) – 22 ?) 22 ?) – 14 Вопрос id:740307 Определитель равен?) – 5 ?) 1 ?) – 1 ?) 5 Вопрос id:740308 Определитель равен?) – 14 ?) – 22 ?) 11 ?) 22 Вопрос id:740309 Определитель равен?) 2 ?) – 30 ?) 30 ?) – 2 Вопрос id:740310 Определитель равен?) – 7 ?) 17 ?) 7 ?) – 17 Вопрос id:740311 Определитель равен?) 26 ?) – 26 ?) 46 ?) – 46 Вопрос id:740312 Определитель равен?) 14 ?) – 26 ?) – 14 ?) 26 Вопрос id:740313 Определитель равен?) 28 ?) 14 ?) – 28 ?) 52 Вопрос id:740314 Определитель равен?) 11 ?) – 2 ?) – 11 ?) 2 Вопрос id:740315 Определитель равен?) – 15 ?) – 30 ?) 2 ?) 30 Вопрос id:740316 Определитель равен?) – 46 ?) – 26 ?) 46 ?) –13 Вопрос id:740317 Определитель равен?) – 8 ?) – 16 ?) 16 ?) 8 Вопрос id:740318 Определитель равен?) – 11 ?) 5 ?) – 5 ?) 11 Вопрос id:740319 Определитель равен?) 17 ?) – 7 ?) – 17 ?) 7 Вопрос id:740320 Определитель равен?) 2 ?) – 2 ?) – 6 ?) 6 Вопрос id:740321 Определитель равен?) 2 ?) – 6 ?) 6 ?) – 2 Вопрос id:740322 Определитель равен?) – 16 ?) 16 ?) – 8 ?) 8 Вопрос id:740323 Определитель равен?) – 52 ?) 14 ?) 28 ?) – 28 Вопрос id:740324 Определитель равен?) – 26 ?) 26 ?) – 14 ?) 14 Вопрос id:740325 Ранг матрицы равен?) 3 ?) 0 ?) 1 ?) 2 Вопрос id:740326 Ранг матрицы равен?) 1 ?) 0 ?) 2 ?) 3 Вопрос id:740327 Аргумент, равный ?) ![]() ?) ?) ?) Вопрос id:740328 Аргумент, равный ?) ?) ![]() ?) ?) ?) Вопрос id:740329 Вычислите сумму элементов первого столбца матрицы ,![]() Вопрос id:740330 Вычислите сумму элементов первого столбца матрицы ,![]() Вопрос id:740331 Вычислите сумму элементов первого столбца матрицы ,![]() Вопрос id:740332 Вычислите сумму элементов первого столбца матрицы ,![]() Вопрос id:740333 Вычислите сумму элементов первого столбца матрицы ,![]() Вопрос id:740334 Дана матрица . Тогда элемент второй строки первого столбца матрицы ?) -3 ?) -2 ?) 3 ?) 2 Вопрос id:740335 Дана матрица . Тогда алгебраическим дополнением элемента ?) – 5 ?) – 1 ?) 3 ?) 5 Вопрос id:740336 Дана матрица , тогда сумма ?) – 5 ?) – 9 ?) – 6 ?) 5 Вопрос id:740337 Дана матрица . Тогда элемент ?) - 1 ?) 1 ?) 5 ?) - 5 Вопрос id:740338 Дана матрица . Тогда алгебраическое дополнение элемента Вопрос id:740339 Дана матрица . Тогда алгебраическое дополнение элемента Вопрос id:740340 Дана матрица . Тогда алгебраическое дополнение элемента Вопрос id:740341 Дана матрица . Тогда алгебраическое дополнение элемента Вопрос id:740342 Дана система уравнений . Для того, чтобы найти значение переменной ?) , и ?) и ?) и ?) и ![]() Вопрос id:740343 Дана система уравнений . Для того, чтобы найти значение переменной ?) , и ?) и ?) и ?) и ![]() Вопрос id:740344 Даны матрицы ?) ?) ?) ?) Вопрос id:740345 Даны матрицы и . Тогда определитель произведения матриц ?) 0 ?) -20 ?) 18 ?) 6 Вопрос id:740346 Даны матрицы и . Тогда определитель произведения матриц ?) 2 ?) 0 ?) -3 ?) 3 Вопрос id:740347 Даны матрицы и . Тогда матрица ?) ?) ?) ?) Вопрос id:740348 Даны матрицы и . Тогда решением матричного уравнения ?) ![]() ?) ![]() ?) ![]() ?) ![]() Вопрос id:740349 Даны матрицы и . Тогда матрица ?) ![]() ?) ![]() ?) ![]() ?) ![]() Вопрос id:740350 Даны матрицы и . Сумма элементов матрицы Вопрос id:740351 Даны матрицы и . Сумма элементов матрицы Вопрос id:740352 Даны матрицы и . Сумма элементов матрицы Вопрос id:740353 Даны матрицы и . Сумма элементов матрицы |
Copyright tests.ithead.ru 2013-2026
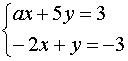
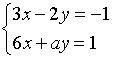
. Система не имеет решений при а равном
. Система не имеет решений при а равном
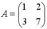
равен
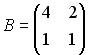
равен
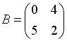
равен
равен
равен
равен
равен
равен
равен
равен
равен
равен
равен
равен
равен
равен
равен
равен
равен
равен
равен

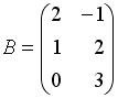
,
,
,
,
,
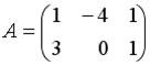
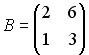
. Тогда элемент второй строки первого столбца матрицы
. Тогда алгебраическим дополнением элемента
, тогда сумма
. Тогда элемент
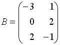
. Тогда алгебраическое дополнение элемента
. Тогда алгебраическое дополнение элемента
. Тогда алгебраическое дополнение элемента
. Тогда алгебраическое дополнение элемента
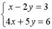
. Для того, чтобы найти значение переменной
,
и
и
и
и 
. Для того, чтобы найти значение переменной
,
и
и
и
и 
и
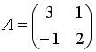
. Тогда определитель произведения матриц
и
. Тогда определитель произведения матриц
и
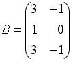
. Тогда матрица
и
. Тогда решением матричного уравнения 



и
. Тогда матрица 



и
. Сумма элементов матрицы
и
. Сумма элементов матрицы
и
. Сумма элементов матрицы
и
. Сумма элементов матрицы