Тесты онлайн, бесплатный конструктор тестов. Психологические тестирования, тесты на проверку знаний.
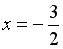
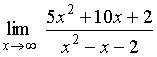
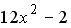
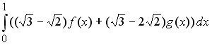
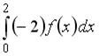
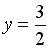
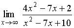
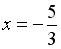
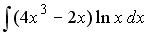
Список вопросов базы знанийМатематика (курс 3)Вопрос id:740770 ?) ln 4 ?) 4 ?) 1 ?) 0 Вопрос id:740771 Вопрос id:740772 Вопрос id:740773 Вопрос id:740774 Вопрос id:740775 Вопрос id:740776 Вопрос id:740777 Вопрос id:740778 Вопрос id:740779 Верными являются равенства ?) ?) ?) ?) Вопрос id:740780 Вертикальной асимптотой графика функции ?) y = 0 ?) y = -2/3 ?) х = 3 ?) х = -1/2 Вопрос id:740781 Вертикальной асимптотой графика функции ?) y = 5/3 ?) х = 6/5 ?) y = -3 ?) х = -2/3 Вопрос id:740782 Горизонтальной асимптотой графика функции ?) ?) ?) ?) Вопрос id:740783 Дана функция ?) ?) ?) ?) Вопрос id:740784 Дифференциал функции ?) 0 ?) ?) ?) Вопрос id:740785 Дифференциал функции ?) ?) ?) ?) Вопрос id:740786 Если и то интеграл равен …?) 7 ?) 11 ?) 1 ?) 5 Вопрос id:740787 Если и то интеграл равен …?) 2 ?) - 8 ?) 4 ?) - 4 Вопрос id:740788 Если и то интеграл равен …?) 5 ?) - 2 ?) 1 ?) - 10 Вопрос id:740790 Если и то интеграл равен …?) 2 ?) 8 ?) 12 ?) 18 Вопрос id:740791 Если , , то интеграл равен …Вопрос id:740792 Если , , то интеграл равен …Вопрос id:740793 Если , , то интеграл равен …Вопрос id:740794 Если , , то интеграл равен …Вопрос id:740795 Если в неопределенном интеграле ?) ?) ?) ?) Вопрос id:740796 Если функция нечетная, то ?) график симметричен относительно оси 0х ?) ?) ?) график симметричен относительно начала координат Вопрос id:740797 Если функция четная, то ?) график симметричен относительно оси 0y ?) ?) ?) график симметричен относительно оси 0x Вопрос id:740798 Значение предела равно?) 2 ?) ?) 1 ?) 0 Вопрос id:740799 Значение предела равно?) 3 ?) ?) 2 ?) 0 Вопрос id:740800 Значение предела равно?) 1 ?) 0 ?) ?) 5 Вопрос id:740801 Значение предела равно?) 4 ?) 2 ?) ?) 0 Вопрос id:740802 Значение предела равно?) 1 ?) 0 ?) ?) 3 Вопрос id:740803 Значение предела равно?) 0 ?) 1,5 ?) 2 ?) Вопрос id:740804 Значение предела равно?) 1 ?) 2 ?) 0 ?) Вопрос id:740805 Значение предела равно?) 2 ?) 5 ?) ?) 0 Вопрос id:740806 Значение предела равно?) 0 ?) 1 ?) ?) 4 Вопрос id:740807 Значение производной второго порядка функции ?) - 12 ?) - 11 ?) - 1 ?) - 10 Вопрос id:740808 Значение производной второго порядка функции ?) 6 ?) 0 ?) 9 ?) 1 Вопрос id:740809 Значение производной второго порядка функции ?) 100 ?) 1 ?) – 100 ?) - 1 Вопрос id:740810 Значение производной второго порядка функции ?) - 24 ?) 6 ?) – 6 ?) 24 Вопрос id:740811 Значение производной второго порядка функции ?) 5 ?) 80 ?) - 80 ?) - 5 Вопрос id:740812 Количество вертикальных асимптот графика функции равно …Вопрос id:740813 Множество первообразных функции ?) ?) ?) ![]() ?) Вопрос id:740814 Наибольшее значение функции ?) 2,5 ?) 5 ?) 7 ?) 4 Вопрос id:740815 Наибольшее значение функции ?) 5 ?) 2 ?) 1 ?) 3 Вопрос id:740816 Наибольшее значение функции ?) 3 ?) 15 ?) 1 ?) 13 Вопрос id:740817 Наибольшее значение функции ?) – 18 ?) 0 ?) – 11 ?) 11 Вопрос id:740818 Наибольшее значение функции ?) 3 ?) ?) 2 ?) Вопрос id:740819 Наибольшее значение функции ?) 0 ?) 4 ?) 5 ?) 2 Вопрос id:740820 Наибольшее значение функции ?) 0 ?) 9 ?) 1 ?) 10 |
Copyright tests.ithead.ru 2013-2026
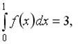
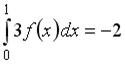
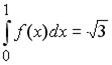
и
то интеграл
равен …
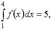
и
то интеграл
равен …
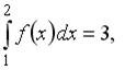
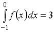
и
то интеграл
равен …
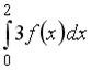
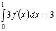
и
то интеграл
равен …
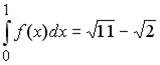
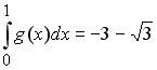
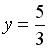
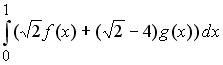
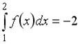
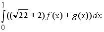
,
, то интеграл
равен …
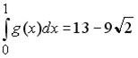
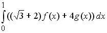
,
, то интеграл
равен …
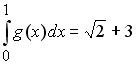
,
, то интеграл
равен …
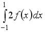
,
, то интеграл
равен …
равно
равно
равно
равно
равно
равно
равно
равно
равно
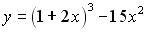
равно …