Тесты онлайн, бесплатный конструктор тестов. Психологические тестирования, тесты на проверку знаний.
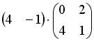
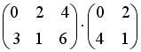
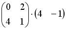
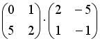
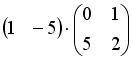
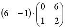
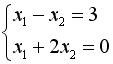
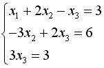
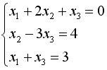
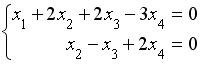
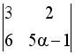
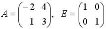
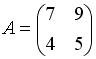
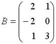
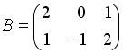
Список вопросов базы знанийМатематика (курс 3)Вопрос id:740354 Даны матрицы и . Сумма элементов матрицы Вопрос id:740355 Даны матрицы и . Сумма элементов матрицы Вопрос id:740356 Для матриц А и В найдено произведение . Тогда матрица В должна иметь …?) 4 строки ?) 2 строки ?) 1 строку ?) 3 строки Вопрос id:740357 Для матриц А и В найдено произведение . Тогда матрица А должна иметь …?) 3 столбца ?) 2 столбца ?) 1 столбец ?) 4 столбца Вопрос id:740358 Для матриц А и В найдено произведение . Тогда матрица А должна иметь …?) 4 столбца ?) 2 столбца ?) 3 столбца ?) 1 столбец Вопрос id:740359 Для матриц А и В найдено произведение . Тогда матрица А должна иметь …?) 1 столбец ?) 2 столбца ?) 4 столбца ?) 3 столбца Вопрос id:740360 Если , тогда ?) – 3,5 ?) 1,5 ?) 3,5 ?) – 1,5 Вопрос id:740361 Если , то значение определителя матрицы ?) 10 ?) 2 ?) 0 ?) 6 Вопрос id:740362 Если , то значение определителя матрицы ?) 9 ?) 11 ?) 17 ?) 0 Вопрос id:740363 Если определитель квадратной матрицы ?) ?) ?) ?) Вопрос id:740364 Если определитель квадратной матрицы ?) ?) ?) 8 ?) 2 Вопрос id:740365 Если существует матрица ?) является квадратной + ?) может быть произвольной ?) может быть единичной ?) является нулевой (размера Вопрос id:740366 Если существует матрица ?) может быть единичной ?) является нулевой (размера ?) может быть произвольной ?) является квадратной Вопрос id:740367 Значение определителя равно…?) ?) ?) ?) Вопрос id:740368 Матрица вырождена при ?) 2 ?) 3 ?) 1 ?) -2 Вопрос id:740369 Матрица не имеет обратной при k, равном …?) − 5 ?) 10 ?) 10 ?) 0 Вопрос id:740370 Матрица не имеет обратной при k, равном …?) 3 ?) − 4 ?) 10 ?) 4 Вопрос id:740371 Матрица не имеет обратной при k, равном …?) 0 ?) 3 ?) 10 ?) 10 Вопрос id:740372 Матрица не имеет обратной при k, равном …?) 4 ?) 3 ?) 2 ?) 4 Вопрос id:740373 Матрица не имеет обратной при k, равном …?) 15 ?) 15 ?) 10 ?) 2 Вопрос id:740374 Матрица вырождена при ?) 2 ?) 4 ?) 8 ?) -2 Вопрос id:740375 Матрица не имеет обратной при k, равном …?) 5 ?) 10 ?) 10 ?) 0 Вопрос id:740376 Матрица не имеет обратной при k, равном …?) 3 ?) 9 ?) 9 ?) 10 Вопрос id:740377 Матрица, обратная данной матрице , имеет вид …?) ![]() ?) ![]() ?) ![]() ?) ![]() Вопрос id:740378 Модуль, равный ?) ![]() ?) ?) ![]() ?) Вопрос id:740379 Модуль, равный ?) ?) ![]() ?) ![]() ?) ![]() ?) Вопрос id:740380 Операция произведения матриц правильно определена для матричного умножения вида … ?) ![]() ?) ![]() ?) ![]() ?) ![]() ?) ![]() Вопрос id:740381 Операция произведения матриц правильно определена для матричного умножения вида … ?) ![]() ?) ![]() ?) ![]() ?) ![]() Вопрос id:740382 Операция произведения матриц правильно определена для матричного умножения вида … ?) ![]() ?) ![]() ?) ![]() ?) ![]() Вопрос id:740383 Определитель равен 0, если ?) 2 ?) – 5 ?) 0 ?) – 1 Вопрос id:740384 Определитель равен 0, если ?) 1 ?) – 4 ?) 2 ?) 0 Вопрос id:740385 Определитель равен 0 при ?) – 5 ?) 5 ?) 2 ?) 0 Вопрос id:740386 Определитель равен ...?) 19 ?) 23 ?) – 23 ?) 8 Вопрос id:740387 Определитель ?) 8 ?) 1 ?) 0 ?) – 8 Вопрос id:740388 Определитель матрицы равен …?) - 30 ?) - 24 ?) - 18 ?) 18 Вопрос id:740389 Определитель матрицы равен …?) 10 ?) 1 ?) 0 ?) − 1 Вопрос id:740390 При умножении матрицы ?) ?) ?) ?) Вопрос id:740391 Разложение определителя по элементам третьей строки имеет вид …?) ?) ?) ?) Вопрос id:740392 Разность между числом базисных и свободных переменных системы уравнений равна …Вопрос id:740393 Разность между числом свободных и базисных переменных системы уравнений равна …Вопрос id:740394 Ранг квадратной матрицы ?) ?) ?) ?) Вопрос id:740395 Ранг матрицы ?) 16 ?) 4 ?) 2 ?) 10 Вопрос id:740396 Ранг матрицы ?) 16 ?) 2 ?) 28 ?) 7 Вопрос id:740397 Ранг матрицы ?) 2 ?) 18 ?) 8 ?) 32 Вопрос id:740398 Ранг матрицы ?) 36 ?) 2 ?) 20 ?) 9 Вопрос id:740399 Ранг матрицы ?) 52 ?) 28 ?) 2 ?) 13 Вопрос id:740400 Среди определителей , , , отличным от остальных является …?) ?) ?) ?) Вопрос id:740401 Укажите систему линейных уравнений, подготовленную для обратного хода метода Гаусса. ?) ![]() ?) ![]() ?) ![]() ?) ![]() Вопрос id:740402 Установите соответствие между матрицами А и суммами элементов
Вопрос id:740403 Установите соответствие между матрицами А и суммами элементов
|
Copyright tests.ithead.ru 2013-2026
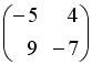
и
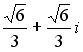
. Сумма элементов матрицы
и
. Сумма элементов матрицы
. Тогда матрица В должна иметь …
. Тогда матрица А должна иметь …
. Тогда матрица А должна иметь …
. Тогда матрица А должна иметь …
, тогда
, то значение определителя матрицы
, то значение определителя матрицы
равно…
вырождена при
не имеет обратной при k, равном …
не имеет обратной при k, равном …
не имеет обратной при k, равном …
не имеет обратной при k, равном …
не имеет обратной при k, равном …
вырождена при
не имеет обратной при k, равном …
не имеет обратной при k, равном …
, имеет вид …





















равен 0, если
равен 0, если
равен 0 при
равен ...
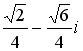
равен …
равен …
по элементам третьей строки имеет вид …
равна …
равна …
,
,
,
отличным от остальных является …










