Тесты онлайн, бесплатный конструктор тестов. Психологические тестирования, тесты на проверку знаний.
Список вопросов базы знанийМатематика (курс 3)Вопрос id:740871 Точкой перегиба функции Вопрос id:740872 Точкой перегиба функции Вопрос id:740873 Точкой перегиба функции Вопрос id:740874 Укажите соответствие между двумя частями определений
Вопрос id:740875 Укажите соответствие между двумя частями определений
Вопрос id:740876 Укажите соответствие между условием и заключением
Вопрос id:740877 Укажите соответствие между характером изменения f(x) на интервале (а, в) величиной ее производной
Вопрос id:740878 Установите соответствие между графиком функции и характером точки
Вопрос id:740879 Установите соответствие между графиком функции и характером точки
Вопрос id:740880 Установите соответствие между графиком функции и характером точки
Вопрос id:740881 Установите соответствие между заштрихованными фигурами и определенными интегралами, которые выражают площади этих фигур.
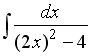
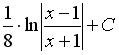
Вопрос id:740882 Установите соответствие между интегралами и их значениями
Вопрос id:740883 Установите соответствие между левыми и правыми частями таблицы
Вопрос id:740884 Установите соответствие между левыми и правыми частями таблицы
Вопрос id:740885 Установите соответствие между левыми и правыми частями таблицы
Вопрос id:740886 Установите соответствие между названием разрыва функции в точке х0 и его определением
Вопрос id:740887 Установите соответствие между функцией и ее производной
Вопрос id:740888 Установите соответствие между функциями и вертикальными асимптотами для их графиков
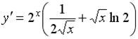
Вопрос id:740889 Установите соответствие между функциями и их производными
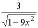
Вопрос id:740890 Установите соответствие между функциями и их производными второго порядка
Вопрос id:740891 Установите соответствие между функциями и наклонными (горизонтальными) асимптотами для их графиков
Вопрос id:740892 Установите соответствие между функциями и наклонными (горизонтальными) асимптотами для их графиков
Вопрос id:740893 Установите соотношение между значением показателей степени и значением предела дроби
Вопрос id:740894 Формула второго замечательного предела - это ?) ?) ?) ?) Вопрос id:740895 Формулы замечательных пределов - это ?) ?) ?) ?) Вопрос id:740896 Функцией, производная второго порядка которой равна ?) ?) ?) ?) Вопрос id:740897 Функции
Вопрос id:740898 Функция Правильными утверждениями являются…?) множеством значений функции ?) уравнение ?) при любом значении ?) на отрезке Вопрос id:740899 Функция Правильными утверждениями являются…?) уравнение ?) при любом значении ?) на отрезке ?) множеством значений функции Вопрос id:740900 Функция Правильными утверждениями являются…?) при любом значении ?) множеством значений функции ?) среди значений функции ?) функция Вопрос id:740901 Функция Правильными утверждениями являются…?) при любом значении ?) на отрезке ?) уравнение ?) множеством значений функции Вопрос id:740902 Функция y = f(x) на интервале (а, b) является вогнутой, следовательно ?) f″ > 0 ?) расположена ниже касательной ?) f″ < 0 ?) расположена выше касательной Вопрос id:740903 Функция y = f(x) на интервале (а, b) является выпуклой, следовательно ?) f″ > 0 ?) f″ < 0 ?) расположена выше касательной ?) расположена ниже касательной Вопрос id:740904 Функция y = f(x) является возрастающей на интервале, если на этом интервале ?) f′(x) = 0 ?) f′(x) > 0 ?) f′(x) < 0 ?) f′(x) ≤ 0 Вопрос id:740905 Функция y = f(x) является, убывающей на интервале, если на этом интервале ?) f′(x) > 0 ?) f′(x) < 0 ?) f′(x) ≥ 0 ?) f′(x) = 0 Вопрос id:740906 Число точек разрыва функции равно?) 1 ?) 2 ?) 3 ?) 0 Вопрос id:740907 Число точек разрыва функции равно?) 6 ?) 0 ?) 5 ?) 3 Вопрос id:740908 Число точек разрыва функции равно?) 0 ?) 4 ?) 3 ?) 7 Вопрос id:740909 Число точек разрыва функции равно?) 0 ?) 2 ?) 3 ?) 5 Вопрос id:740910 Число точек разрыва функции равно?) 3 ?) 9 ?) 2 ?) 7 Вопрос id:740911 Число точек разрыва функции равно?) 2 ?) 3 ?) 7 ?) 4 Вопрос id:740912 Число точек разрыва функции равно?) 8 ?) 3 ?) 4 ?) 2 Вопрос id:740913 Число точек разрыва функции равно?) 4 ?) 1 ?) 9 ?) 3 Вопрос id:740914 Градиент функции Z = 2x y в точке P0(1, 0) равен (___,___) (набрать целые числа через запятую) Вопрос id:740915 Градиент функции Z = x - y в точке P0(0, 0) равен (___,___) (набрать целые числа через запятую) Вопрос id:740916 Градиент функции Z = x2 + y2 в точке P0(0, -1) равен (___,___) (набрать целые числа через запятую) Вопрос id:740917 Градиент функции Z = x + y в точке P0(1, -1) равен ?) ?) ?) ?) Вопрос id:740918 Градиент функции Вопрос id:740919 Градиент функции Вопрос id:740920 Градиент функции |
Copyright tests.ithead.ru 2013-2026

































Правильными утверждениями являются…
Правильными утверждениями являются…
Правильными утверждениями являются…
Правильными утверждениями являются…
равно
равно
равно
равно
равно
равно
равно
равно