Тесты онлайн, бесплатный конструктор тестов. Психологические тестирования, тесты на проверку знаний.
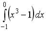
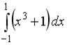
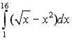
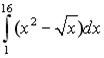
Список вопросов базы знанийМатематика (курс 3)Вопрос id:740821 Наибольшее значение функции ?) – 8 ?) 2 ?) 6 ?) – 10 Вопрос id:740822 Наибольшее значение функции ?) – 10 ?) – 9 ?) – 6 ?) – 11 Вопрос id:740823 Наименьшее значение функции ?) 0,5 ?) 1,5 ?) 2,5 ?) – 1,5 Вопрос id:740824 Наименьшее значение функции ?) – 2 ?) 4 ?) 0 ?) 5 Вопрос id:740825 Наименьшее значение функции ?) – 16 ?) – 10 ?) – 2 ?) – 12 Вопрос id:740826 Наименьшее значение функции ?) ?) – 1 ?) ?) 0 Вопрос id:740827 Наименьшее значение функции ?) 9 ?) – 1 ?) 1 ?) 0 Вопрос id:740828 Наименьшее значение функции ?) 0 ?) – 15 ?) – 1,5 ?) 10,5 Вопрос id:740829 Наклонной асимптотой графика функции является прямая …?) ?) ?) Вопрос id:740830 Наклонной асимптотой графика функции является прямая …?) ?) ?) ?) график не имеет наклонных асимптот Вопрос id:740831 Ненулевая функция равен…?) ![]() ?) 0 ?) ![]() ?) ![]() Вопрос id:740832 Необходимым условием существования экстремума дифференцируемой функции y = f(x) в точке ?) f′(x0) = 0 ?) f′(x0) ≥ 0 ?) f′(x0) > 0 ?) f′(x0) < 0 Вопрос id:740833 Областью определения функции ?) ?) ![]() ?) ?) ![]() Вопрос id:740834 Определенный интеграл равен…?) 1 ?) - 1 ?) 0 ?) 8 Вопрос id:740835 Первообразными функции ?) ?) ?) ?) Вопрос id:740836 Первообразными функции ?) ?) ?) ?) Вопрос id:740837 Площадь фигуры, изображенной на рисунке, определяется интегралом…?) ![]() ?) ![]() ?) ![]() ?) ![]() Вопрос id:740838 Площадь фигуры, ограниченной линиями ?) ![]() ?) ![]() ?) ![]() ?) ![]() Вопрос id:740839 Площадь фигуры, ограниченной параболой вычисляется с помощью интеграла …?) ![]() ?) ![]() ?) ![]() ?) ![]() Вопрос id:740840 Производная второго порядка функции ?) ?) ?) ?) ![]() Вопрос id:740841 Производная произведения ?) ?) ?) ?) Вопрос id:740842 Производная функции ?) ?) ?) 1 ?) Вопрос id:740843 Производная функции ?) ?) ?) ?) Вопрос id:740844 Производная функции y = f(x) при х=х0 равна ?) тангенса угла наклона образует кривая y = f(x) с осью ОХ ?) тангенса угла наклона образует кривая y = f(x) с осью ОY ?) тангенс угла наклона касательной, проведенной к кривой y = f(x) в точке (x0, f(x0)) ?) тангенс угла наклона нормали, проведенной к кривой y = f(x) в точке (x0, f(x0)) Вопрос id:740845 Производная функции Вопрос id:740846 Производная частного ?) ![]() ?) ?) ![]() ?) ![]() Вопрос id:740847 Производной f'(x0) называют ?) отношение приращения функции ?) ?) предел отношения приращения функции к приращению аргумента при стремлении последнего к нулю ?) Вопрос id:740848 Пусть
Вопрос id:740849 Случайные события А и В, удовлетворяющие условиям ?) совместными и зависимыми ?) несовместными и зависимыми ?) несовместными и независимыми ?) совместными и независимыми Вопрос id:740850 Стационарной точкой функции y = f(x) является точка, М(х0) в которой ?) f′(x0) = 0 ?) f′(x0) > 0 ?) f′(x0) < 0 ?) f′(x0) не существует Вопрос id:740851 Стационарными точками функции ?) x = 1/3 ?) x = 0 ?) x = -1/3 ?) x = 3 Вопрос id:740852 Стационарными точками функции ?) х = 0 ?) х1 = 1, х2 = -1 ?) х1 = 3, х2 = -3 ?) х1 = 1/3, х2 = -1/3 Вопрос id:740853 Стационарными точками функции ?) х1 = 0, х2 = 2 ?) х1 = 0, х2 = 1 ?) х1 = 1, х2 = -1 ?) х1 = 1, х2 = 2 Вопрос id:740854 Стационарными точками функции ?) x = 0 ?) x = -1 ?) x = 1 ?) x = 2 Вопрос id:740855 Стационарными точками функции ?) x = 3 ?) x = -1 ?) x = 0 ?) x = 1 Вопрос id:740856 Стационарными точками функции ?) x = ?) x = ?) x = 1 ?) x = -1 Вопрос id:740857 Тангенс угла наклона касательной к графику функции Вопрос id:740858 Тангенс угла наклона касательной к графику функции Вопрос id:740859 Тангенс угла наклона касательной к графику функции Вопрос id:740860 Точка (-2, 0) для функции ?) перегиба ?) максимума ?) стационарной ?) минимума Вопрос id:740861 Точка М (1, -1) для функции ?) перегиба ?) максимума ?) минимума ?) разрыва Вопрос id:740862 Точка М (1, 1) для функции ?) перегиба ?) разрыва ?) максимума ?) минимума Вопрос id:740863 Точка М (2, 0) для функции ?) максимума ?) перегиба ?) минимума ?) стационарной Вопрос id:740864 Точка с абсциссой х = -1 для функции ?) стационарной ?) максимума ?) перегиба ?) минимума Вопрос id:740865 Точка с абсциссой х = 1 для функции ?) перегиба ?) стационарной ?) минимума ?) максимума Вопрос id:740866 Точкой перегиба функции y = f(x) является точка при переходе через которую ?) f′(x) сохраняется знак ?) f″(x) меняется знак ?) f″(x) сохраняется знак ?) f′(x) меняется знак Вопрос id:740867 Точкой перегиба функции ?) х = 1/3 ?) х = 1 ?) х = -1/3 ?) х = 0 Вопрос id:740868 Точкой перегиба функции ?) х = -3 ?) х = 3 ?) х = 1 ?) х = 0 Вопрос id:740869 Точкой перегиба функции ?) х = 1 ?) х = 0 ?) х = 3 ?) х = 2 Вопрос id:740870 Точкой перегиба функции |
Copyright tests.ithead.ru 2013-2026
является прямая …
является прямая …
равен…




равен…
определяется интегралом…







вычисляется с помощью интеграла …








