Тесты онлайн, бесплатный конструктор тестов. Психологические тестирования, тесты на проверку знаний.
Список вопросов базы знанийЭконометрика (магистр.)Вопрос id:675150 Регрессии, нелинейные по оцениваемым параметрам - это ?) ?) ?) ?) ?) Вопрос id:675151 Случайная величина х принимает значение 2 и 4 с вероятностями Вопрос id:675152 Случайная величина х принимает значение 3.5; 6.5; 9.5 с вероятностями Вопрос id:675153 Способ оценивания - общее правило для получения ___ какого-либо параметра по данным выборки ?) приближенного численного значения ?) метода отбора ?) области допустимых значений ?) качественного описания Вопрос id:675154 Сумма квадратов остатков всех наблюдений - это ___ сумма квадратов отклонений ?) случайная ?) нормальная ?) остаточная ?) общая Вопрос id:675155 Тест Бокса - Кокса - прямой компьютерный метод выбора наилучших значений ___ модели в заданных исследователем пределах с заданным шагом ?) параметров линейной ?) переменных нелинейной ?) критериев оценки ?) параметров нелинейной Вопрос id:675156 Тест Фишера является ?) односторонним ?) многосторонним ?) многокритериальным ?) двусторонним Вопрос id:675157 Укажите соответствие между видом теста и областью его применения в линейной регрессии
Вопрос id:675158 Укажите соответствие между классом модели и примером модели из соответствующего класса
Вопрос id:675159 Укажите соответствие между показателем и способом его расчета
Вопрос id:675160 Укажите соответствие между показателем и формулой его расчета
Вопрос id:675161 Укажите соответствие между понятием и формулой его расчета
Вопрос id:675162 Укажите соответствие между способом представления зависимой переменной y и выражением для var(y)
Вопрос id:675163 Укажите соответствие между условиями теории Гаусса-Маркова и их формальным выражением
Вопрос id:675164 Уравнение y = a + bx, где a и b - оценки параметров a и b, полученные в результате оценивания модели y = a + bx + u по данным выборки, называется уравнением ?) ковариации ?) корреляции ?) дисперсии ?) линейной парной регрессии Вопрос id:675165 Установите соответствие между обозначением переменной и ее названием в модели парной линейной регрессии у = а + bx + u
Вопрос id:675166 Установите соответствия между свойствами оценок и их признаками
Вопрос id:675167 Цена на товар А при выборочном обследовании трех магазинов составила 10, 16, 19 рублей соответственно. Выборочная средняя цена равна ___ (ответ дать цифрой) Вопрос id:675168 Эконометрический инструментарий базируется на методах и моделях ?) математической статистики ?) экономической кибернетики ?) математического анализа ?) аналитической геометрии Вопрос id:675169 Эластичность y по x рассчитывается как отношение относительного изменения y к величине ?) относительного изменения параметра ?) относительного изменения x ?) абсолютного изменения у ?) абсолютного изменения х Вопрос id:675173
Диаграмма рассеивания между некоторыми переменными х и у имеет вид: ?) близка к квадратичной ?) близка к линейной ?) близка к квадратичной ?) близка к линейной Вопрос id:675174
Сформулированное утверждение является ... ?) формулировкой теоремы Гаусса-Маркова ?) исходным соотношением, используемым в методе наименьших квадратов ?) теоремой о разложении дисперсии ?) Вопрос id:675175 В таблице представлены результаты дисперсионного анализа. Значение объясненной (факторной) суммы квадратов можно определить как разность чисел, определенных на пересечении …
?) столбца "МS" и строк "Регрессия" и "Остаток" ?) столбца "SS" и строк "Итого" и "Регрессия" ?) столбца "SS" и строк "Регрессия" и "Остаток" ?) столбца "SS" и строк "Итого" и "Остаток" Вопрос id:675176 В таблице представлены результаты дисперсионного анализа. Значение остаточной суммы квадратов можно определить, как …
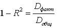
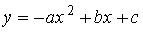
?) число на пересечении строки "Остаток" и столбца "SS" ?) разность чисел, определенных на пересечении столбца "SS" и строк "Итого" и "Регрессия" ?) число на пересечении строки "Остаток" и столбца "MS" ?) отношение чисел, определенных на пересечении строки "Остаток" и столбцов "SS" и "df" Вопрос id:675178 В зависимости от вида функции уравнения регрессии эконометрические модели делятся на ... ?) гомоскедастичные и гетероскедастичные ?) парные и множественные ?) стандартизированные и нестандартизированные ?) линейные и нелинейные Вопрос id:675179 В линейной регрессионной модели ?) критерием Фишера ?) критерием Стьюдента ?) одной из основных предпосылок метода наименьших квадратов ?) нарушением предпосылок метода наименьших квадратов Вопрос id:675180 В линейном уравнении парной регрессии ?) b ?) y ?) x ?) a Вопрос id:675181 В модели парной линейной регрессии Y=b0+b1X +e коэффициент b1 показывает… ?) на сколько процентов в среднем изменится Y, если X изменится на одну единицу ?) на какую величину в среднем изменится Y, если X изменится на одну единицу ?) на какую величину в среднем изменится Y, если X изменится на один процент ?) на сколько процентов в среднем изменится Y, если X изменится на один процент Вопрос id:675182 В основе метода наименьших квадратов лежит ___ суммы квадратов отклонений фактических значений результативного признака от его теоретических значений. ?) минимизация ?) равенство нулю ?) дифференциация ?) максимизация Вопрос id:675183 В рамках метода наименьших квадратов (МНК) система нормальных уравнений – это система, решением которой являются оценки … ?) параметров теоретической модели ?) отклонений параметров теоретической модели от параметров эмпирической модели ?) независимых переменных модели ?) переменных теоретической модели Вопрос id:675184 В результате линеаризации зависимости ?) ?) ?) ?) Вопрос id:675185 В случае нормального распределения остатков линейной регрессионной модели ?) равны между собой ?) имеют нормальное распределение ?) равны нулю ?) распределены по закону Стьюдента Вопрос id:675186 В эконометрическую модель линейным образом включены …?) переменная х1 ?) параметр с ?) параметр b ?) переменная х2 Вопрос id:675187 В эконометрическую модель ?) переменная х ?) параметр b ?) переменная у ?) параметр а Вопрос id:675188 В эконометрическую модель вида Кобба–Дугласа ?) переменная х2 ?) переменная y ?) переменная х1 ?) параметр а Вопрос id:675189 Величина t–критерия Стьюдента коэффициента регрессии эконометрической модели рассчитывается для определения значимости (существенности) … ?) влияния соответствующей независимой переменной (фактора) на зависимую переменную ?) этого коэффициента регрессии ?) зависимой переменной ?) коэффициента детерминации Вопрос id:675190 Величина коэффициента регрессии характеризует … ?) значение свободного члена в уравнении ?) значение параметра при независимой переменной ?) фактическое значение независимой переменной ?) среднее изменение результата при изменении фактора на одну единицу Вопрос id:675191 Вероятность того, что случайное отклонение в регрессионной модели примет заданное значение, одинакова для всех наблюдений. Сформулировано условие одинакового разброса случайной составляющей, которое выражено в ___ остатков. ?) гомоскедастичности ?) гетероседастичности ?) автокорреляции ?) детерминированности Вопрос id:675192 Всю совокупность реализаций случайной величины называют ___ cовокупностью ?) полной ?) выборочной ?) генеральной ?) репрезентативной Вопрос id:675194 Выберите дисперсии, которые участвуют в расчете значения критерия Фишера. ?) факторная ?) неопределенная ?) независимая ?) остаточная Вопрос id:675195 Выберите неверные утверждения по поводу модели ?) Y убывает при увеличении X ?) нельзя преобразовать в линейную форму ?) нелинейная ?) нелинейная относительно параметров уравнения регрессии Вопрос id:675196 Выполнение предпосылок метода наименьших квадратов … ?) подлежат обязательной проверке до применения метода наименьших квадратов ?) невозможно проверить до получения оценок параметров регрессии ?) не является обязательным условием построения эконометрической модели уравнений регрессии ?) проверяется одновременно с применением метода наименьших квадратов Вопрос id:675197 Выражение ?) индекса корреляции ?) средней ошибки аппроксимации ?) коэффициента эластичности ?) F–критерия Фишера Вопрос id:675198 Гипотеза о значимости в целом уравнения нелинейной регрессии проверяется с помощью критерия… ?) Фишера ?) Пирсона ?) Дарбина–Уотсона ?) Стьюдента Вопрос id:675199 Детерминированная переменная может рассматриваться как предельный вариант случайной переменной, принимающей свое единственное значение с вероятностью ?) 0 ?) ½ ?) 1 ?) 1/5 Вопрос id:675201 Для линейной регрессионной зависимости система нормальных уравнений … ?) нелинейная относительно параметров регрессии ?) линейная относительно параметров регрессии ?) линейная относительно остатка уравнения регрессии ?) линейная относительно переменных уравнения регрессии Вопрос id:675202 Для линейной регрессионной модели ?) нормальном распределении ?) отсутствии автокорреляции ?) отсутствии гетероскедастичности ?) наличии гомоскедастичности Вопрос id:675204 Для общей (Dобщ), факторной (Dфакт) и остаточной (Dост) дисперсий зависимой переменной и коэффициента детерминации R2 выполняется … ?) ![]() ?) ![]() ?) ![]() ?) ![]() Вопрос id:675205 Для описания закономерностей прироста экономических показателей от времени в эконометрике используется лог-линейная модель линейная относительно фактора времени Х … ?) ?) ?) ?) Вопрос id:675206 Для оценки статистической значимости (существенности) параметров регрессии обычно служит статистика… ?) стандартного нормального распределения ?) нормального распределения ?) Фишера ?) Стьюдента |
Copyright tests.ithead.ru 2013-2026




линейным образом включены …


