Тесты онлайн, бесплатный конструктор тестов. Психологические тестирования, тесты на проверку знаний.
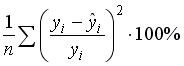
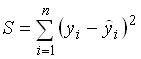
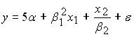
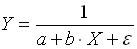
Список вопросов базы знанийЭконометрика (магистр.)Вопрос id:675273 При построении поля корреляции значения результативного признака откладывают по масштабной шкале … ?) оси абсцисс ?) коррелограммы ?) линии регрессии ?) оси ординат Вопрос id:675274 При построении поля корреляции на координатной плоскости откладывают точки с координатами … ?) (хi; yi) ?) (хi; хтеор) ?) (хi; yтеор) ?) (yi; yтеор) Вопрос id:675275 При проверке на существенность (значимость) коэффициента регрессии в качестве нулевой гипотезы выдвигается альтернативная гипотеза о … ?) несущественности влияния соответствующей независимой переменной на зависимую переменную ?) существенности влияния соответствующей независимой переменной на зависимую переменную ?) отличие от нуля этого коэффициента регрессии ?) равенстве нулю этого коэффициента регрессии Вопрос id:675276 При проверке на существенность (значимость) коэффициента регрессии в качестве статистической гипотезы выдвигается альтернативная (обратная нулевой) гипотеза о … ?) несущественности влияния соответствующей независимой переменной на зависимую переменную ?) существенности влияния соответствующей независимой переменной на зависимую переменную ?) отличие от нуля этого коэффициента регрессии ?) равенстве нулю этого коэффициента регрессии Вопрос id:675277 При проверке статистической значимости уравнения линейного уравнения регрессии нулевая гипотеза формулируется следующим образом … ?) «объясненная и остаточная дисперсии не отличаются друг от друга, регрессионная связь результата и фактора(ов) отсутствует» ?) «объясненная и остаточная дисперсии существенно отличаются друг от друга, имеет место сильная регрессионная связь результата и фактора(ов)» ?) «автокорреляция остатков отсутствует» ?) «выборка наблюдений неоднородна» Вопрос id:675278 При расчете остаточной суммы квадратов отклонений используются отклонения … ?) индивидуальных значений результирующего признака от его среднего значения ?) расчетных значений результирующего признака, найденных по уравнению регрессии, от нуля ?) индивидуальных значений результирующего признака от расчетных значений результирующего признака, найденных по уравнению регрессии ?) расчетных значений результирующего признака, найденных по уравнению регрессии, от среднего значения результирующего признака Вопрос id:675279 При увеличении объема выборки дисперсия эффективной оценки параметра становится бесконечно малой величиной. Такая оценка параметра называется ... ?) состоятельной ?) достоверной ?) асимтотически эффективной ?) несмещенной Вопрос id:675280 При увеличении объема выборки становятся маловероятными значительные ошибки при оценивании параметров регрессии. Это означает, что используются ___ оценки. ?) эффективные ?) состоятельные ?) несмещенные ?) достоверные Вопрос id:675281 Приведенная запись ?) расчет степеней свободы для критерия Стьюдента ?) формулировку теоремы Гаусса-Маркова ?) исходное соотношение, используемое в методе наименьших квадратов ?) равенство между числом степеней свободы общей, факторной и остаточной суммами квадратов Вопрос id:675282 Примерами нелинейных уравнений регрессии, которые могут быть приведены к линейному виду, являются ?) ?) ?) ?) Вопрос id:675283 Примерами нелинейных уравнений регрессии, которые не могут быть приведены к линейному виду, являются ?) ?) ?) ?) Вопрос id:675284 Примерами нелинейных уравнений регрессии, нелинейных по оцениваемым параметрам являются ?) ?) ?) ?) Вопрос id:675285 Примерами уравнений, нелинейных относительно объясняющих переменных, но линейных по оцениваемым параметрам являются ?) ?) ?) ?) Вопрос id:675286 Проявление гетероскедастичности в остатках удается устранить при помощи метода обобщенного метода наименьших квадратов путем … ?) введения в модель фиктивных переменных ?) введения в выражение для дисперсии остатков коэффициента пропорциональности ?) преобразования переменных ?) расчета критерия Дарбина–Уотсона гомоскедастичных остатков Вопрос id:675287 Пусть ?) ![]() ?) ![]() ?) ![]() ?) ![]() Вопрос id:675288 Пусть , тогда система нормальных уравнений получается из условия ...?) максимизации функции ?) равенства значения функции ?) минимизации функции ?) равенства значения функции Вопрос id:675289 Пусть ?) ![]() ?) ![]() ?) ![]() ?) ![]() Вопрос id:675290 Пусть ?) случайных факторов ?) независимой переменной ?) его фактических значений ?) его теоретических значений Вопрос id:675291 Пусть оценивается регрессия ?) линейными, несмещенными и эффективными ?) линейными, смещенными и эффективными ?) нелинейными, несмещенными и неэффективными ?) линейными, несмещенными и неэффективными Вопрос id:675292 Пусть оценивается регрессия ?) ?) ?) ?) Вопрос id:675293 Равенство нулю коэффициента детерминации означает, что регрессионная модель не улучшает качество оценки (прогноза) результата по сравнению с тривиальной оценкой – ___ значением результата. ?) средним ?) модальным ?) наибольшим ?) наименьшим Вопрос id:675294 Разница между математическим ожиданием оценки и соответствующей теоретической характеристикой генеральной совокупности называется … ?) ожиданием ?) смещением ?) корреляцией ?) задержкой Вопрос id:675295 Расчетное значение критерия Фишера определяется как ___ факторной дисперсии и остаточной, рассчитанных на одну степень свободы. ?) сумма ?) произведение ?) разность ?) отношение Вопрос id:675297 Решение системы нормальных уравнений может быть получено ... ?) по теореме Крамера (с использованием определителей) ?) с использованием ?) с использованием ?) по теореме Гаусса-Маркова Вопрос id:675298 Самым распространенным методом оценки параметров регрессии является метод наименьших … ?) квадратов ?) разностей ?) моментов ?) модулей Вопрос id:675300 Способом включения случайного возмущения в регрессионную модель ?) мультипликативный ?) аддитивный ?) мультиколлинеарный ?) экспоненциальный Вопрос id:675301 Статистические гипотезы используются для оценки статистической значимости … ?) оцениваемых параметров ?) критических значений критерия Стьюдента ?) уравнения регрессии ?) числа степеней свободы Вопрос id:675302 Статическая значимость коэффициента парной линейной корреляции между фактором и результатом является ... ?) принципом спецификации ?) предпосылкой линеаризации ?) требованием к факторам, включаемым в линейную множественную регрессию ?) условием гомоскедастичности эконометрической модели Вопрос id:675305 Традиционный метод наименьших квадратов применяется для оценки параметров ... ?) линейной регрессионной модели с гетероскедастичностью в остатках ?) классической линейной регрессионной модели ?) линейной регрессионной модели с автокорреляцией в остатках ?) нелинейной по параметрам регрессионной модели Вопрос id:675310 Уравнение вида ?) нелинейным как по переменным, так и по параметрам ?) нелинейным только по параметрам, но линейным по переменным ?) линейным как по переменным, так и по параметрам ?) нелинейным только по переменным, но линейным по параметрам Вопрос id:675311 Уравнение нелинейной регрессии ?) ![]() ?) ![]() ?) ![]() ?) ![]() Вопрос id:675315 Число степеней свободы для суммы квадратов отклонений, объясненных парной линейной регрессией ?) ?) ?) ?) 1 Вопрос id:675317 Эконометрическая модель – это… ?) совокупность числовых характеристик, характеризующих экономический объект ?) экономическая модель, представленная в математической форме ?) линейная функциональная зависимость между экономическими показателями ?) графическое представление экспериментальных данных Вопрос id:675318 Эконометрической моделью, линейной по параметрам, является ... ?) ![]() ?) ?) ?) Вопрос id:675319 Экономическая статистика используется эконометрикой в качестве … ?) информационного обеспечения необходимых исходных данных ?) прикладной дисциплины для обеспечения проведения автоматизированных эконометрических расчетов ?) экономического обоснования полученных результатов эконометрического моделирования ?) математического инструментария Вопрос id:675323 Эмпирический коэффициент ?) математическое ожидание оценки ?) ?) ?) дисперсия оценки Вопрос id:675324 Этап параметризации модели включает в себя… ?) прогноз экономических показателей ?) проверку качества уравнения в целом ?) проверку качества параметров модели ?) оценку параметров модели Вопрос id:675326 F-статистика для парной регрессии рассчитывается по формуле ?) ?) ?) ?) Вопрос id:675328 ___ описывают размер влияния ?) Модели множественной регрессии ?) Регрессионные модели с распределенными лагами ?) Модели частичного приспособления ?) Модели со скользящими средними в остатках Вопрос id:675331 Автокорреляционная функция в модели СС(1) при ?) ?) ?) ?) 0 Вопрос id:675332 Автокорреляционная функция в модели СС(1) при τ=3 равна ?) ?) 0 ?) 3β ?) 1 Вопрос id:675333 Автокорреляционная функция в модели СС(2) при ?) ?) ?) ?) 0 Вопрос id:675335 Автокорреляция чаще возникает и тем самым представляет тем большую проблему, чем ?) меньше интервал между наблюдениями ?) меньше число наблюдений ?) больше интервал между наблюдениями ?) больше число наблюдений Вопрос id:675336 Алгебраический полином третьей степени, записанный в общем виде, - это ?) f(t) = α0 + α3t3 ?) f(t) = t3 ?) f(t) = α0 + α1t + α2t2 + α3t3 ?) f(t) = α0 + α1t Вопрос id:675338 В зависимости от цены (х) на некоторой товар по наблюдаемым данным за спросом (y) получили оценки: cov(x, y) = 45, var(x) = 81, var(y) = 25. Коэффициент корреляции будет равен ___ (ответ цифрой) Вопрос id:675343 В линейном регрессионном анализе требуется линейность ?) по переменным и параметрам ?) или по переменным, или по параметрам ?) только по переменным ?) только по параметрам Вопрос id:675345 В методе Кокрана - Оркатта пересмотр оценок выполняется до тех пор, пока не будет ___ оценок ?) получено необходимое значение ?) получено необходимое количество ?) выполнено заданное число итераций ?) получена требуемая точность Вопрос id:675347 В методе скользящего среднего для весовых коэффициентов справедлива формула ?) ?) ?) ?) Вопрос id:675348 В модели АР(1) дисперсия случайных остатков равна ?) ?) ?) ?) Вопрос id:675349 В модели АР(1) коэффициент автокорреляции ?) ?) τα ?) ατ ?) |
Copyright tests.ithead.ru 2013-2026




, тогда система нормальных уравнений получается из условия ...







