Тесты онлайн, бесплатный конструктор тестов. Психологические тестирования, тесты на проверку знаний.

Список вопросов базы знаний

Алгебра и начала анализа (10 класс)

Вопрос id:659016

Верны ли утверждения?

А) Функция у = f(x) непрерывна в точке х = а, если в этой точке выполняется следующее условие: если ∆х → 0, то∆ у→ 0

В) Приращение функции f(x) определяется соотношением ∆y = f(x)-f(x + ∆x)

?) А - да, В - нет
?) А - нет, В - да
?) А - да, В - да
?) А - нет, В - нет
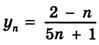
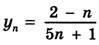
Вопрос id:659017

Верны ли утверждения?

А) yn=2n-1 – монотонно возрастающая последовательность

В) yn=(-2)n - монотонно убывающая последовательность

?) А - нет, В - нет
?) А - да, В - да
?) А - нет, В - да
?) А - да, В - нет
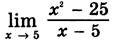
Вопрос id:659018
Вычислите
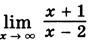
Вопрос id:659019
Вычислите
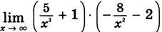
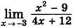
Вопрос id:659020
Вычислить
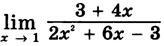
Вопрос id:659021
Вычислить
Вопрос id:659022
Вычислить
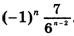
Вопрос id:659023
Вычислить
Вопрос id:659024
Для функции у = 5x + 6 найти предел отношения приращения функции к приращению аргумента при условии, что приращение аргумента стремится к нулю
Вопрос id:659025
Представить в виде обыкновенной дроби бесконечную десятичную периодическую дробь 0,(15)
?)
?)
?)
?)
Вопрос id:659026
Укажите номер члена последовательности, если =0
Вопрос id:659027
Укажите номер члена последовательности, если = -
Вопрос id:659028
Вычислить (x2-3x+5)
Вопрос id:659029
Вычислить
Вопрос id:659030
Вычислить
Вопрос id:659031
Найти знаменатель геометрической прогрессии, если b1= -5, S= -10
Вопрос id:659032
Найти сумму геометрической прогрессии, если b1=3, q=
Вопрос id:659033
Найти сумму геометрической прогрессии, если bn=
Вопрос id:659034
Найти сумму геометрической прогрессии, если bn=
Вопрос id:659035
Определите предел последовательности 1,,, ,,…
Вопрос id:659036
Определите предел последовательности xn= -
Вопрос id:659037
Определите предел последовательности xn=
Вопрос id:659038
Определите предел последовательности xn=6-- -
Вопрос id:659039
Сходится ли последовательность xn= n2+ (да, нет)?
?) нет
?) да
Вопрос id:659040
формула n-ого члена последовательности 1,8,27,64,125,…
?) n3
?) 3n
?) (n+1)2
?) n2-1
Вопрос id:659041
формула n-ого члена последовательности
?)
?)
?)
?)
Вопрос id:659042
Является ли последовательность ограниченной снизу?
?) нет
?) да
Вопрос id:659043
Является ли геометрическая прогрессия бесконечно убывающей, если b1=40, b2=-20?
?) нет
?) да
Вопрос id:659044
Вычислите
Вопрос id:659045
Установите соответствие между левой и правой частью формулы геометрической прогрессии
Левая частьПравая часть
bnq
S =
bn+1=
=
Вопрос id:659046
Вычислить
Вопрос id:659047
Геометрическая прогрессия называется бесконечно убывающей, если модуль ее знаменателя
?) <0
?) >-1
?) <-1
?) <1
Вопрос id:659048
Известно, что f(x)=3, чему равен
Вопрос id:659049
Известно, что f(x)=3, чему равен
Вопрос id:659050
Найдите сумму геометрической прогрессии, если известно, что сумма первого и третьего ее членов равна 29, а сумма второго и четвертого ее членов равна 11,6
Вопрос id:659051
Найти приращение функции y=2x-3 при переходе от точки x0=3 к точке x1=2,5
Вопрос id:659052
Найти приращение функции y=2x-3 при переходе от точки x0=3 к точке x1=3,2
Вопрос id:659053
Найти приращение функции y=2x-3 при переходе от точки x0=3 к точке x1=3,5
Вопрос id:659054
Найти приращение функции y=x2+2x при переходе от точки x0=-2 к точке x1=-2,1
Вопрос id:659055
Найти приращение функции y= при переходе от точки x0=1 к точке x1= x0+∆x, если ∆x=0,1025
Вопрос id:659056
Найти приращение функции y= при переходе от точки x0=1 к точке x1= x0+∆x, если ∆x=0,21
Вопрос id:659057
Найти приращение функции y= при переходе от точки x0=1 к точке x1= x0+∆x, если ∆x=0,44
Вопрос id:659058
Укажите верные утверждения
?) последовательность (уп) ограничена сверху, если существует число М такое, что для любого п выполняется неравенство уп > М. Число М называют верхней границей последовательности
?) последовательность (уп) ограничена снизу, если существует число т такое, что для любого п выполняется неравенство уп > m. Число т называют нижней границей последовательности
?) последовательность (уп) ограничена снизу, если существует число т такое, что для любого п выполняется неравенство уп < m. Число т называют нижней границей последовательности
?) последовательность (уп) ограничена сверху, если существует число М такое, что для любого п выполняется неравенство уп < М. Число М называют верхней границей последовательности
Вопрос id:659059
Укажите верные утверждения
?) последовательность уп называют убывающей, если у1 > у2 > у3> у4 > ... > уп> уп+2>…
?) последовательность уп называют возрастающей, если у1 > у2 > у3> у4 >…. > уп> уп+2> …
?) последовательность уп называют возрастающей, если у1<у2<у3<у4< ... < уп < уп+i < …
?) последовательность уп называют убывающей, если у1<у2<у3<у4< ... < уп < уп+i < …
Вопрос id:659060
Укажите верные утверждения
?) последовательность xn = 3n сходится
?) последовательность xn = сходится
?) последовательность xn = сходится
?) последовательность xn = n2-1сходится
Вопрос id:659061
Укажите верные утверждения если
?) │q│ < 1, то последовательность уп = qn расходится
?) последовательность ограничена, то она сходится
?) последовательность сходится, то она ограничена
?) последовательность сходится, то только к одному пределу
Вопрос id:659062
Установите соответствие между левой и правой частью формулы, если
Левая частьПравая часть
( f(x) g(x))=
(f(x)+ g(x))=
kb
kf(x)=
b+c
=
bc
Вопрос id:659063
Найдите наибольшее значение функции y=x+ на интервале [-∞;0]
Вопрос id:659064
Найдите наименьшее значение функции y= 12x4 на отрезке [-1;2]
Вопрос id:659065
Определите, в каких точках функция y= x3+x2-x-1имеет экстремум и его характер
?) x= - min, x=-1 - max
?) x= -max, x=-1 - min
?) x= - min, x=-1 - max
?) x= - max , x=-1 - min
Copyright tests.ithead.ru 2013-2026