Тесты онлайн, бесплатный конструктор тестов. Психологические тестирования, тесты на проверку знаний.
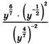
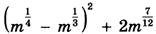
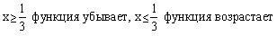
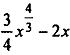
Список вопросов базы знанийАлгебра и начала анализа (10 класс)Вопрос id:659771 Найдите производную функции y=(2x- 5)10 ?) 20(5-2x)9 ?) 20(2x- 5)9 ?) 10(2x- 5)9 ?) (2x- 5)9 Вопрос id:659772 Найдите производную функции y= Вопрос id:659773 Найдите производную функции y= Вопрос id:659774 Найдите производную функции y= Вопрос id:659775 Найдите производную функции ?) ?) ?) ?) Вопрос id:659776 (ctgx)′= ?) ?) ?) ?) Вопрос id:659778 Найдите производную функции Вопрос id:659779 Найдите производную функции y=0,5+2cosx Вопрос id:659780 Найдите производную функции y=3-5sinx Вопрос id:659781 Найдите производную функции y= 2tgx-sinx ?) ?) ?) ?) Вопрос id:659782 Найдите точки экстремума функции y=2sinx –x на интервале [π;3π] и определите их характер ?) ?) ?) ?) Вопрос id:659783 Найдите наибольшее число 2, ?) 2 ?) ?) ?) Вопрос id:659784 Найдите наибольшее число 3, ?) ?) ?) ?) 3 Вопрос id:659785 Найдите наименьшее число -1, ?) ?) ?) -1 ?) Вопрос id:659786 Найдите наименьшее число -2, ?) ?) -2 ?) ?) Вопрос id:659787 определите промежутки монотонности функции y=x2-x ?) ?) ?) ?) Вопрос id:659788 График функции имеет асимптоты, если ?) lim f(x) = b ?) всегда ?) ?) Вопрос id:659789 определите промежутки монотонности функции y=2x3+x2-8x-7 ?) x≥ ?) x≥1, x≤ ?) x≥ ?) x≥1, x≤ Вопрос id:659790 Определите, в каких точках функция y= x3+x2-x-1имеет экстремум и его характер ?) ?) ?) ?) Вопрос id:659791 Найдите точки экстремума функции y=-x4+5x2-4 и определите их характер ?) x=± ?) x= ± ?) x=- ?) x=- Вопрос id:659792 Найдите точку максимума функции y=-x2+2x+3 Вопрос id:659793 Найдите точку максимума функции y=7-x-2x2 Вопрос id:659794 Найдите точку минимума функции y= - Вопрос id:659795 Найдите точку минимума функции y=5x2-15x-4 Вопрос id:659796 Сколько точек экстремума имеет функция y=5x3-3x5 Вопрос id:659797 Найдите значение выражения 21,32-0,740,7 Вопрос id:659798 Найдите значение выражения 3 . 90,4 : Вопрос id:659799 Найдите значение выражения Вопрос id:659800 Представьте степень с рациональным показателем в виде корня 8,50,6 ?) ?) ?) ?) Вопрос id:659801 Сократите дробь ![]() ?) ![]() ?) c+d ?) ?) Вопрос id:659802 Упростите выражение (1+ Вопрос id:659803 Упростите выражение ![]() ?) x2 ?) ?) ?) x4 Вопрос id:659804 Упростите выражение ![]() ?) ?) y2 ?) ?) y Вопрос id:659805 Упростите выражение ?) ?) ?) ?) Вопрос id:659806 Упростите выражение Вопрос id:659807 Решить уравнение ?) x=5 ?) x=5, x=0 ?) x=-5 ?) Нет решений Вопрос id:659808 Решить неравенство ?) [0;4) ?) [0;6) ?) (4;6] ?) (4;9) Вопрос id:659809 Иррациональное неравенство ?) ![]() ?) ![]() ?) ![]() ?) ![]() Вопрос id:659810 Решить уравнение g′(x)=0, если g(x)=2 Вопрос id:659811 Решить уравнение g′(x)=0, если g(x)=2 Вопрос id:659812 Решить уравнение g′(x)=0, если g(x)= Вопрос id:659813 Решить уравнение g′(x)=0, если g(x)= ![]() Вопрос id:659814 Сколько корней имеет уравнение Вопрос id:659815 Вычислите ?) 16 ?) -16 ?) - ?) Вопрос id:659816 Укажите выражение, равное степени 25-x ?) ?) 25.2x ?) 25-2x ?) Вопрос id:659817 На использовании каких-либо свойств функций основан ?) Метод уравнивания показателей. ?) Метод введения новой переменной. ?) Функционально-графический метод решения показательных уравнений. Вопрос id:659818 Какая из последовательностей сходится? ?) ?) 3n ?) (n+1)2 ?) n2-1 Вопрос id:659819 Определите предел последовательности 1, ?) 0 ?) 1 ?) 1,5 ?) 2 Вопрос id:659820 Определите предел последовательности xn= ?) 3 ?) 1 ?) 0 ?) Вопрос id:659821 Определите предел последовательности ?) 0,5 ?) 1 ?) 0,25 ?) 0 |
Copyright tests.ithead.ru 2013-2026








