Список вопросов базы знанийАлгебра и начала анализа (10 класс)Вопрос id:658597 Наименьший период периодической функции - один ?) нет ?) да Вопрос id:658598 Область существования функции y = x sin x - вся ось ОХ ?) да ?) нет Вопрос id:658599 Функция y = 3sin x является нечетной ?) нет ?) да Вопрос id:658600 Функция y = sin x периодическая ?) нет ?) да Вопрос id:658601 Функция y = x • ctg x нечетная и периодическая ?) нет ?) да Вопрос id:658602 Функция, значения которой не изменяются при добавлении (или вычитании) к значениям ее аргумента некоторого неравного нулю числа Т, называется периодической функцией ?) нет ?) да Вопрос id:658603 cos 0 = 1 ?) да ?) нет Вопрос id:658604 Если точка М, соответствующая числу t, находится в первой или третьей четверти числовой окружности, то ее sin t и cos t имеют одинаковые знаки ?) да ?) нет Вопрос id:658605 Есть такие четверти, в которых совпадают знаки синуса, косинуса, тангенса и котангенса ?) да ?) нет Вопрос id:658606 Значения синуса и косинуса любого аргумента ограничены ?) нет ?) да Вопрос id:658607 Значения тангенса и котангенса любого аргумента ограничены ?) да ?) нет Вопрос id:658608 Синус числа t может быть больше единицы при некоторых t ?) нет ?) да Вопрос id:658609 Тангенс и котангенс одного аргумента могут быть равными 1/2 ?) да ?) нет Вопрос id:658610 Формула tg t • ctg t = 1 справедлива для всех значений аргумента ?) нет ?) да Вопрос id:658611 Движение по окружности от точки А против часовой стрелки является положительным направлением обхода окружности: ?) да ?) нет Вопрос id:658612 На числовой окружности находятся точки, которые соответствуют только числам от 0 до 2 "пи" ?) да ?) нет Вопрос id:658613 Началом отсчета на числовой окружности является правый конец её вертикального диаметра ?) нет ?) да Вопрос id:658614 Определения числовой прямой и числовой окружности отличаются в плане геометрической интерпретации действительных чисел ?) да ?) нет Вопрос id:658615 Отрицательные числа можно отметить, начиная от нуля, в направлении против часовой стрелки ?) да ?) нет Вопрос id:658616 Точка "-10" лежит левее точки "-1" ?) нет ?) да Вопрос id:658617 Числам 3 "пи" и -3 "пи" соответствуют разные точки на числовой окружности ?) нет ?) да Вопрос id:658618 Числовая ось - прямая, на которой изображаются действительные числа ?) да ?) нет Вопрос id:658619 График какой функции изображен на рисунке
?) у = ?) у = ?) у = ?) у = Вопрос id:658620 График какой функции изображен на рисунке?
?) у = ?) у = ?) у = ?) у = Вопрос id:658621 График какой функции изображен на рисунке?
?) у = ?) у = ?) у = ?) у = Вопрос id:658622 Сколько пар решений имеет система уравнений
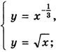
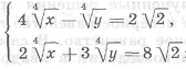
Вопрос id:658623 Верны ли утверждения? А) у = В) Область определения функции у = ?) А - да, В - да ?) А - нет, В - нет ?) А - нет, В - да ?) А - да, В - нет Вопрос id:658624 Верны ли утверждения? А) функция у = хn, где 0 < В) функция у = хn, где ?) А - да, В - нет ?) А - да, В - да ?) А - нет, В - нет ?) А - нет, В - да Вопрос id:658625 Верны ли утверждения? А) В случае использования метода возведения в четную степень обоих частей уравнения при решении иррациональных уравнений всегда необходимо проводить проверку найденных корней В) Функционально-графический метод всегда подразумевает построение графика ?) А - нет, В - нет ?) А - да, В - да ?) А - да, В - нет ?) А - нет, В - да Вопрос id:658626 Верны ли утверждения? А) В случае использования метода возведения в четную степень при решении иррациональных уравнений всегда при проверке один из найденных корней оказывается посторонним. В) Если каждый корень уравнения f(x)=g(x) (1) является в то же время корнем уравнения p(x)=h(x) (2), то уравнение (2) называют следствием уравнения (1) ?) А - да, В - да ?) А - нет, В - да ?) А - нет, В - нет ?) А - да, В - нет Вопрос id:658627 Верны ли утверждения? А) Функция у = хr дифференцируема на всей области определения В) Если х > 0 и r – любое рациональное число, то производная степенной функции у = хr вычисляется по формуле (хr)′=rxr-1 ?) А - да, В - да ?) А - нет, В - нет ?) А - да, В - нет ?) А - нет, В - да Вопрос id:658628 Всегда требует проверки найденных корней ?) метод возведения обеих частей уравнения в одну и ту же степень ?) метод введения новых переменных ?) функционально-графический метод ?) искусственный метод Вопрос id:658629 Известно, что f(x)= ?) ?) ?) ?) Вопрос id:658630 Известно, что f(x)= Вопрос id:658631 Известно, что f(x)= Вопрос id:658632 Исследуйте функцию y= ?) функция убывает при xЄ[0;2], функция возрастает при xЄ[2;+∞) ?) функция возрастает при xЄ[0;4], функция убывает при xЄ[4;+∞) ?) функция убывает при xЄ[0;4], функция возрастает при xЄ[4;+∞) ?) функция возрастает при xЄ[0;2], функция убывает при xЄ[2;+∞) Вопрос id:658633 К свойствам функции у = ?) убывает на (0; +∞); не ограничена сверху, ограничена снизу; не имеет ни наибольшего, ни наименьшего значения ?) возрастает на (0; +∞); не ограничена сверху, ограничена снизу; не имеет ни наибольшего, ни наименьшего значения ?) убывает на (0; +∞); не ограничена сверху, ограничена снизу; не имеет наибольшего значения, yнаим=0 ?) убывает на (0; +∞); не ограничена ни сверху, ни снизу; не имеет ни наибольшего, ни наименьшего значения Вопрос id:658634 К свойствам функции у = ?) убывает на (0; +∞); не ограничена сверху, ограничена снизу; не имеет наибольшего значения, yнаим=0 ?) возрастает на (0; +∞); не ограничена сверху, ограничена снизу; не имеет наибольшего значения, yнаим=0 ?) возрастает на (0; +∞); не ограничена ни сверху, ни снизу; не имеет ни наибольшего значения, ни наименьшего ?) убывает на (0; +∞); не ограничена ни сверху, ни снизу; не имеет ни наибольшего значения, ни наименьшего Вопрос id:658635 Найдите значение производной функции y=4- Вопрос id:658636 Найдите значение производной функции y=x-3+6 Вопрос id:658637 Найдите наибольшее и наименьшее значение функции y= ?) yнаиб = ?) yнаиб не существует, yнаим=1 ?) yнаиб=1, yнаим не существует ?) yнаиб = Вопрос id:658638 Найдите наибольшее и наименьшее значение функции y= ?) yнаиб не существует, yнаим=2 ?) yнаиб= ?) yнаиб=2, yнаим= ?) yнаиб=2, yнаим не существует Вопрос id:658639 Найдите производную функции ?) 3x2+ ?) 3x2- ?) 3x2+ ?) 3x2- Вопрос id:658640 Найдите угол, образованный касательной функции y= -3 ?) ?) ?) ?) Вопрос id:658641 Найдите угол, образованный касательной функции y= ?) ?) ?) ?) Вопрос id:658642 Найти и наименьшее значения функции у = Вопрос id:658643 Найти производную ?) ?) ?) ?) Вопрос id:658644 Решите систему уравнений ![]() ?) x=2, y=2 ?) нет решений ?) x=2, y= ?) x=2, y=2 Вопрос id:658645 Решить неравенство ?) [0;6) ?) [0;4) ?) [0;4] ?) [4;6] Вопрос id:658646 Решить неравенство ?) [0;6) ?) [4;9] ?) [0;4) ?) (4;6] |




