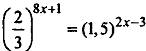
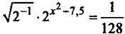
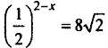
Список вопросов базы знанийАлгебра и начала анализа (10 класс)Вопрос id:659116 Решить уравнение Вопрос id:659117 Укажите соответствие между левой и правой частью формулы
Вопрос id:659118 Установите соответствие между левой и правой частью формулы
Вопрос id:659119 График какой функции изображен на рисунке?
?) у =ax, где a > 1 ?) у = ?) у = ?) у =ax, где 0< a < 1 Вопрос id:659120 График какой функции изображен на рисунке?
?) у =ax, где a > 1 ?) у =ax, где 0< a < 1 ?) у = ?) у = Вопрос id:659121 На использовании каких-либо свойств функций основан: А) функционально-графический метод решения показательных уравнений; Б) метод уравнивания показателей; В) метод введения новой переменной ?) А) ?) все перечисленные методы ?) В) ?) А и Б) Вопрос id:659122 Верны ли утверждения? А) Если 0 < а < 1, то равенство аt = аs справедливо тогда и только тогда, когда t = s В) Если 0 < а < 1, то неравенство ах > 1 справедливо тогда и только тогда, когда х < 0; неравенство аx < 1 справедливо тогда и только тогда, когда х > 0 ?) А - да, В - нет ?) А - нет, В - да ?) А - нет, В - нет ?) А - да, В - да Вопрос id:659123 Верны ли утверждения? А) Если а > 1, то показательное неравенство аf(х)> ag(x) равносильно неравенству того же смысла: f(x) > g(x) В) Если 0 < а < 1, то показательное неравенство аf(х)> ag(x) равносильно неравенству противоположного смысла: f(x) < g(x) ?) А - да, В - нет ?) А - да, В - да ?) А - нет, В - да ?) А - нет, В - нет Вопрос id:659124 Верны ли утверждения? А) Показательная функция у = аx, где а>1 возрастает на всей области определения В) Показательная функция у = аx, где 0<а<1 возрастает на всей области определения ?) А - нет, В - нет ?) А - да, В - да ?) А - да, В - нет ?) А - нет, В - да Вопрос id:659125 Верны ли утверждения? А) Показательное уравнение аf(x) = аg(x) (где а > 0, а ≠ 1) равносильно уравнению В) Метод введения новой переменной применяется для построения графика функции более простого вида ?) А - да, В - да ?) А - нет, В - да ?) А - да, В - нет ?) А - нет, В - нет Вопрос id:659126 Найдите наибольшее и наименьшее значение функции y= ?) yнаим=0, yнаиб=2 ?) yнаим=0, yнаиб=4 ?) yнаим – не существует, yнаиб=2 ?) yнаим – не существует, yнаиб=4 Вопрос id:659127 Найдите наибольшее целочисленное решение неравенства Вопрос id:659128 Найти наибольшее значение функции у = 3х+1 + 2 на отрезке [-2; 2] Вопрос id:659129 Решите неравенство ?) [-1;1] ?) (-∞;-1]U [1;+ ∞) ?) [-1;2] ?) (-∞;1]U [2;+ ∞) Вопрос id:659130 Решите систему уравнений ![]() ?) x= 0, y=3 ?) x= 1, y=3 ?) x= 1, y=0 ?) x= 3, y=1 Вопрос id:659131 Решить неравенство ?) x≤ ?) нет решений ?) R ?) x≥ Вопрос id:659132 Решить неравенство ?) x<- ?) x>- ?) - ?) x < Вопрос id:659133 Решить неравенство ![]() ?) ( ?) (-∞; ?) (- ?) (-∞;- Вопрос id:659134 Решить неравенство ?) (-∞;-2]U [1;+ ∞) ?) (-∞;-1]U [1;+ ∞) ?) [-2;1] ?) [-1;2] Вопрос id:659135 Решить уравнение 22x-4 = 64 Вопрос id:659136 Решить уравнение ?) ±0,1 ?) - ?) ± ?) Вопрос id:659137 Решить уравнение ![]() ?) ?) ?) ?) - Вопрос id:659138 Решить уравнение ?) -1 ?) ±1 ?) -0,5 ?) 1 Вопрос id:659139 Решить уравнение Вопрос id:659140 Среди заданных функций укажите те, которые возрастают на R: f(x)=21x, g(x)=0,3x, p(x)= , q(x)=?) p(x), q(x) ?) f(x), p(x) ?) f(x), q(x) ?) g(x), q(x) Вопрос id:659141 Среди заданных функций укажите те, которые убывают на R: f(x)= , q(x)= ?) p(x), q(x) ?) f(x), p(x) ?) g(x), q(x) ?) f(x), q(x) Вопрос id:659142 Среди заданных функций укажите те, которые являются показательными: f(x)=3x, g(x)=x3, p(x)= ?) p(x), q(x) ?) f(x), p(x) ?) f(x), q(x) ?) g(x), q(x) Вопрос id:659143 Укажите верные выражения: ?) ось х является горизонтальной асимптотой графика показательной функции у=ах ?) график показательной функции имеет горизонтальную и вертикальную асимптоты ?) для показательной функции у=ах E(f) = (-∞;+∞) ?) в зависимости от величины a график показательной функции у=ах возрастает или убывает на всей области определения Вопрос id:659144 Упростить выражение ?) -9 ?) ?) -7 ?) Вопрос id:659145 Найдите значение выражения 25,3 . 2-0,3 Вопрос id:659146 Найдите значение выражения 36,8 . 3-5,8 Вопрос id:659147 Найдите значение выражения 43,5 . 4-3 Вопрос id:659148 Найдите значение выражения Вопрос id:659149 Найдите значение выражения Вопрос id:659150 Найдите значение выражения Вопрос id:659151 Найдите наибольшее целочисленное решение неравенства 0,79x+4>0,49 Вопрос id:659152 Найдите наибольшее целочисленное решение неравенства 1,15x-3<1,21 Вопрос id:659153 Найдите наибольшее целочисленное решение неравенства 2,52x+3≤6,25 Вопрос id:659154 Найдите наименьшее значение функции y= Вопрос id:659155 Найдите наименьшее значение функции Вопрос id:659156 Найдите, на каком отрезке функция y=2xпринимает наибольшее значение, равное 64, и наименьшее значение, равное 1 ?) [0;6] ?) [-1;6] ?) [0;5] ?) [1;6] Вопрос id:659157 Найдите, на каком отрезке функция y= ?) [-2;4] ?) [-1;4] ?) [-3;5] ?) [-3;4] Вопрос id:659158 Расположите числа в порядке убывания ?) ?) ?) ?) Вопрос id:659159 Решите графически уравнение 2x= 8-2x и запишите ответ ___ Вопрос id:659160 Решите графически уравнение 3x= 1-x и запишите ответ ___ Вопрос id:659161 Решить уравнение 0,2x=0,00032 Вопрос id:659162 Решить уравнение 0,44-5x=16 Вопрос id:659163 Решить уравнение 0,3x= Вопрос id:659164 Решить уравнение Вопрос id:659165 Решить уравнение ![]() |





, q(x)=
, q(x)= 