Тесты онлайн, бесплатный конструктор тестов. Психологические тестирования, тесты на проверку знаний.
Список вопросов базы знанийАлгебра и начала анализа (10 класс)Вопрос id:659925 Решить уравнение ?) ± ?) ± ?) ± ?) Вопрос id:659926 Решить уравнение 3cos2x-5cosx-2=0 ?) ±arccos ?) ±arccos ?) ± ?) ± Вопрос id:659927 Решить уравнение ?) x= π+2 πk, x=± ?) x= π+2 πk, x=± ?) x= π+2 πk, x=± ?) x= π+2 πk, x=± Вопрос id:659928 Решить уравнение ?) arctg ?) -arctg ?) -arctg ?) arctg Вопрос id:659929 Сколько корней имеет уравнение Вопрос id:659930 Верны ли следующие соотношения? A) tg(t+3π)=-tgt B) ctg(t+3π)=ctgt ?) А - да, В - нет ?) А - нет, В - нет ?) А - да, В - да ?) А - нет, В - да Вопрос id:659931 Имеют ли смысл выражения? А) arccos В) arccos ?) А - да, В -нет ?) А - да, В - да ?) А - нет, В - нет ?) А - нет, В - да Вопрос id:659932 Составьте аналитическое задание функции y=f(x) по графику
?) y= ?) y=sin3x ?) y=-sin3x ?) y=3cosx Вопрос id:659933 Упростите выражение с помощью формул приведения
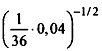
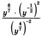
Вопрос id:659934 tg(- ?) ?) - ?) - ?) Вопрос id:659935 Вычислить tg(-135o)+tg225o Вопрос id:659936 Выберите верные утверждения ?) функция f(x)=sin x - нечетная ?) функция f(x)=sin x - непрерывная ?) функция f(x)=tg x - непрерывная ?) функция f(x)=cos x - нечетная Вопрос id:659937 Вычислите arcctg(- ?) ?) ?) ?) - Вопрос id:659938 Вычислите ?) ?) - ?) - ?) Вопрос id:659939 Если ctgt= Вопрос id:659940 Если tgt=- Вопрос id:659941 Исследуйте функцию f(x) = Вопрос id:659942 Найдите все корни уравнения tg2x-6tgx+5=0 ?) x1=arctg5+ πn, x2= ?) x1=arctg6+ πn, x2= ?) x1=arctg5+ πn, x2= ?) x1=arctg6+ πn, x2= Вопрос id:659943 Найдите значение sin t, если известно, что cos t = - 0,6 и Вопрос id:659944 Не выполняя построения, ответьте, принадлежит ли графику y= cos (2x + ?) да ?) нет Вопрос id:659945 Расположите в порядке возрастания ?) sin 190o ?) sin 90o ?) sin 120o ?) sin 25o Вопрос id:659946 Решите неравенство sin t < - ?) t € ( ?) t € ( ?) t € (π+ 2πk; ?) t € (- Вопрос id:659948 С помощью формул приведения решите уравнение: ?) t = ?) t =π+2 πn ?) t = ?) t =- Вопрос id:659949 Укажите верные равенства ?) sin( ?) -sin(x +π)=sinx ?) cosx=cos(-x) ?) cos( Вопрос id:659950 Упростите выражение 3+ Вопрос id:659951 Вычислить Вопрос id:659952 Преобразуйте выражение ?) ?) ?) ?) Вопрос id:659953 Вычислить Вопрос id:659954 Вычислить ![]() Вопрос id:659955 Вычислить Вопрос id:659956 Найдите угол, образованный касательной функцией y= -3 ?) ?) ?) ?) Вопрос id:659957 Расположите числа в порядке возрастания ?) ?) 2 ?) ?) Вопрос id:659958 Решить уравнение g′(x)=0, если g(x)= Вопрос id:659959 Решить уравнение Вопрос id:659960 Сократите дробь ![]() Вопрос id:659961 Упростите выражение ![]() Вопрос id:659962 Установите соответствие между левой и правой частью формулы
Вопрос id:659963 1 радиан равен ?) 75° ?) 180°p ?) ?) 90° Вопрос id:659964 Если n –___ число, то любым противоположным значениям аргумента соответствуют противоположные значения функции, т.е. для любого х ⊂ D(f) выполняется равенство f(-x) = -f(x) Вопрос id:659965 Lim есть сокращение латинского слова limes, означающего ?) “граница” ?) “предел” ?) “сумма” ?) “начало” Вопрос id:659966 ___ положительный период функции, если он существует, называют основным периодом функции Вопрос id:659967 ___ события А и В - любой исход не может быть одновременно благоприятным как для события А, так и для события В Вопрос id:659968 ___ способ задания последовательности – это способ задания последовательности, при котором указывают ее первый член или первые несколько членов и формулу или правило, позволяющее найти любой член последовательности по известным предшествующим членам ?) Линейным ?) Рекуррентным ?) Абсолютным ?) Относительным Вопрос id:659971 ___ – это функция f(x) = ?) Линейная ?) Обратная пропорциональность ?) Прямая пропорциональность ?) Квадратичная Вопрос id:659972 ___ и его ученики рассматривали последовательности, связанные с геометрическими фигурами Вопрос id:659975 ___ прогрессия - последовательность отличных от нуля чисел, каждый член которой, начиная со второго, равен предыдущему, умноженному на одно и то же число ?) Арифметическая ?) Геометрическая ?) Бесконечная ?) Нулевая Вопрос id:659976 ___ событий А и В и обозначают С = A ∪ В Вопрос id:659977 ___ события – события, вероятности которых не зависят друг от друга Вопрос id:659979 ___ из n элементов конечного множества по k, где k ≤ n, называют упорядоченное множество, содержащее k элементов ?) Перестановкой ?) Подстановкой ?) Размещением ?) Заменой Вопрос id:659980 ___ – это подмножество данного множества |
Copyright tests.ithead.ru 2013-2026




