Тесты онлайн, бесплатный конструктор тестов. Психологические тестирования, тесты на проверку знаний.

Список вопросов базы знаний

Алгебра и начала анализа (10 класс)

Вопрос id:661015
Разложение многочлена С на множители А и В выражается формулой
?) С = B
?) С = A/B
?) С = A*B
?) С = A+B
Вопрос id:661016
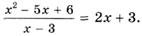
Распадающееся уравнение (х2 - 5х + 6)(х2 + x - 2) = 0
?) имеет бесконечное множество корней
?) не имеет корней
?) имеет следующие корни -2; 1; 2; -3.
?) имеет следующие корни -2; 1; 2; 3
Вопрос id:661017
Расположения n элементов в определенном порядке – это
?) сочетание
?) перестановка
?) объединение
?) распределение
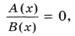
Вопрос id:661018
Расположите этапы поиска корней уравнения в порядке их выполнения
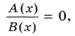
?) поиск корней уравнений А(x) = 0
?) вывод о том, что корнями уравнения являются корни уранения А(x) = 0 , которые не обращают в нуль знаменатель B(x)
?) проверка какие из корней уравнения А(x) = 0 не обращают в нуль знаменатель B(x)
?) проверка какие из корней уравнения А(x) = 0 обращают в нуль знаменатель B(x)
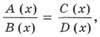
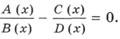
Вопрос id:661019
Расположите этапы поиска корней уравнения в порядке их выполнения
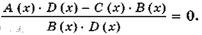
?) решение уравнение А(х)×D(х)-С(х)×В(х) = 0
?) отбор корней уравнения А(х)×D(х)-С(х)×В(х) = 0, которые не обращают в нуль знаменательB(х)×D(х)
?)

преобразование к виду: с использованием

правила вычитания алгебраических дробей

?) перенос всех членов уравнения в одну сторону:
Вопрос id:661020
Распределительное свойство умножения действительных чисел обозначается формулой
?) a × b = b × a
?) (a × b) × с = a × (b × с)
?) a × 1 = a
?) (a + b) × c = a × c + b × c
Вопрос id:661021
Рациональное число является результатом операции
?) разность двух рациональных чисел
?) квадратный корень из отрицательных чисел
?) сумма двух иррациональных чисел
?) сумма двух рациональных чисел
Вопрос id:661022
Свойства функции у = хn (n ≥ 2) для неотрицательных х: если ___
?) функция у = хn является убывающей для х ≥ 0
?) х > 0, то у > 0
?) функция у = хn непрерывна
?) х = 1, то у = 1
?) х = 0, то у = 0
?) х → +∞, то у → -∞
Вопрос id:661023
Свойство транзитивности неравенств действительных чисел выражается формулой
?) a + (-a) < 0.
?) a + (-a) > 0
?) если a < b и b < с, то a < с
?) a + b = b + a
Вопрос id:661024
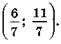
Система уравнений имеет следующие решения
?) (2; 1)
?)
?)
?) (1; 2)
Вопрос id:661025
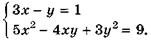
Система уравнений имеет следующие решения
?) (3; 2)
?) (2; 3)
?) (-2; 3)
?) (3; -2)
Вопрос id:661026
Системы уравнений, у которых каждое решение первой системы уравнений является решением второй системы, а каждое решение второй системы уравнений является решением первой системы, – это ___ система уравнений
?) симметрическая
?) равносильная
?) основная
?) объединенная
Вопрос id:661027
Сочетательное свойство сложения действительных чисел обозначается формулой
?) (a + b) + с = a + (b + с)
?) a + 0 = a
?) a + b = b + a
?) a + (-a) = 0
Вопрос id:661028
Сумма нескольких одночленов – это
Вопрос id:661029
Сумма, разность и произведение двух многочленов - это
Вопрос id:661030
Сумма, разность, произведение и частное любых двух действительных чисел есть ___ число
?) рациональное
?) иррациональное
?) действительное
?) натуральное
Вопрос id:661031
Сумму событий А и В обозначают ___
?) A U В
?) А ∩ В
?) A x В
?) A + В
Вопрос id:661032
Точка пересечения осей координат называется
?) главной точкой
?) основой системы координат
?) нулевой точкой
?) началом координат
Вопрос id:661033
Укажите соответствия между понятиями и их обозначениями
Левая частьПравая часть
(0;0)
абсцисса точки А
y
координаты точки А
x
начало координат
А(x; y)
ордината точки А
Вопрос id:661034
Укажите соответствия между понятиями и их обозначениями
Левая частьПравая часть
Q
множество всех действительных чисел
R
множество всех натуральных чисел
Z
множество всех рациональных чисел
N
множество всех целых чисел
Вопрос id:661035
Укажите соответствия между понятиями и их обозначениями
Левая частьПравая часть
(0;0)
отрезок
(a;b)
интервал
[a;b]
начало координат
[a;b)
полуинтервал
Вопрос id:661036
Укажите соответствия между понятиями и их обозначениями
Левая частьПравая часть
принадлежность множеству
Ø
отсутствие принадлежности множеству
пустое множество
бесконечность
Вопрос id:661037
Укажите соответствия между понятиями и их обозначениями
Левая частьПравая часть
пересечение множеств
принадлежность множеству
отсутствие принадлежности множеству
U
объединение множеств
Вопрос id:661038
Уравнение имеет следующие корни
?) 3
?) 3 и -5
?) -5 и -3
?) -5
Вопрос id:661039
Уравнение вида ах2 + bху + су2 = 0, где a, b, с – данные, неравные нулю числа, – это ___ уравнение
?) однородное
?) равносильное
?) однокоренное
?) целое
Вопрос id:661040
Уравнение вида: А(х)*В(х) = 0,где А(x) и В(x) - многочлены относительно х, - это ___ уравнение
?) распадающееся
?) сочетательное
?) полиномное
?) натуральное
Вопрос id:661041
Уравнение х8 + 4х6 - 10х4 + 4х2 + 1 = 0 имеет следующие корни
?) 0
?) 1 и -1
?) 1
?) -1
Вопрос id:661042
Уравнение, левая и правая части которого есть рациональные выражения относительно x и y, - ___ уравнение с двумя неизвестными
?) натуральное
?) рациональное
?) линейное
?) иррациональное
Вопрос id:661044
Уравнение: a sin x + b cos x = 0, где а ≠ 0 и b ≠ 0, называют ___ тригонометрическим уравнением первой степени
?) однородным
?) простейшим
?) основным
?) сложнейшим
Вопрос id:661045
Уравнения ___- уравнения, на которые распадается уравнение (х2 - 5х + 6)(х2 + x- 2) = 0
?) (х2 - 5х + 6) = 0
?) (х2 + x- 2) = 0
?) (х2 + x+2) = 0
?) (х2 - 5х -6) =0
Вопрос id:661046
Установите соответствие между выражениями между равными выражениями, если a - положительное число, a r1, r2 и r - рациональные числа
Левая частьПравая часть
Вопрос id:661047
Функцию у = loga х, где а - положительное, не равное 1 число, называют ___ функцией
Вопрос id:661048
Функцию у = ех называют ___ функцией (два названия)
?) логарифмической
?) экспонентой
?) экспоненциальной
?) натуральной
Вопрос id:661050
Частное от деления многочлена А на ненулевой многочлен В – это ___ дробь
?) нулевая
?) натуральная
?) геометрическая
?) алгебраическая
Вопрос id:661051
Число различных перестановок, которое можно составить из двух элементов, равно
?) 1
?) 0
?) 6
?) 2
Вопрос id:661052
Число различных перестановок, которое можно составить из трех элементов, равно
?) 0
?) 6
?) 2
?) 1
Вопрос id:661053
Число различных способов из двух человек из семи участников математического кружка для участия в олимпиаде равно
?) 14
?) 21
?) 7
?) 42
Вопрос id:661054
Число способов, которыми можно выбрать два элемента из 3 элементов, равно
?) 9
?) 6
?) 12
?) 3
Вопрос id:661055
Число способов, которыми можно выбрать два элемента из n элементов, равно
?) n!
?) n
?) n (n - 1)
?) 1
Вопрос id:661056
Число способов, которыми можно выбрать один элемент из 255 элементов, равно
?) 64
?) 128
?) 255
?) 32
Вопрос id:661057
Число способов, которыми можно выбрать один элемент из n элементов, равно
?) n!
?) 1
?) n
?) n +1
Вопрос id:661058
Число способов, которыми можно распределить два билета на разные кинофильмы между семью друзьями, равно
?) 42
?) 21
?) 7
?) 14
Вопрос id:661059
Число, при подстановке которого в неравенство вместо переменной x получается верное числовое неравенство, - это ___ неравенства
?) степень
?) логарифм
?) решение
?) коэффициент
Вопрос id:661060
Число, при подстановке которого в уравнение вместо x получается верное числовое равенство, – это ___ уравнения
?) корень
?) коэффициент
?) логарифм
?) степень
Copyright tests.ithead.ru 2013-2026