Тесты онлайн, бесплатный конструктор тестов. Психологические тестирования, тесты на проверку знаний.
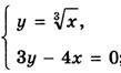
Список вопросов базы знанийАлгебра и начала анализа (10 класс)Вопрос id:659066 Произведение двух положительных чисел равно 25. Найдите одно из этих чисел, если их сумма принимает наибольшее значение Вопрос id:659067 Функция имеет экстремум, если ?) функция у = f(x) имеет внутри промежутка стационарную или критическую точку х = х0 и если у этой точки существует окрестность, в которой при х < х0 выполняется неравенство f(x)<0 (f(x)>0), а при х > х0 - неравенство f(x)>0 (f(x)<0), то х = х0 - точка минимума (максимума)функции у = f(x) ?) функция у = f(x) имеет внутри промежутка стационарную или критическую точку х= х0 ?) f ′(x0)=0 ?) f ′(x0)=0 и производная меняет знак, проходя через точку x0 Вопрос id:659068 Определите промежутки монотонности функции y=5x2+15x-1 ?) при x≥ ?) при x≥- ?) при x≥- ?) при x≥ Вопрос id:659069 Укажите верные выражения: ?) если во всех точках открытого промежутка X выполняется неравенство f '(x) < 0 (причем равенство f '(x) = 0 либо не выполняется, либо выполняется лишь в конечном множестве точек), то функция у = f(x) возрастает на промежутке X ?) если во всех точках открытого промежутка X функция у = f(x) постоянна, то f'(x) не существует ?) если во всех точках открытого промежутка X выполняется неравенство f '(x) > 0 (причем равенство f '(x) = 0 либо не выполняется, либо выполняется лишь в конечном множестве точек), то функция у = f(x) возрастает на промежутке X ?) если во всех точках открытого промежутка X выполняется равенство f'(x) = 0, то функция у = f(x) постоянна на промежутке X Вопрос id:659070 Укажите верные выражения: ?) если f(x) = ?) ![]() ?) если f(x) = ?) ![]() Вопрос id:659071 Найдите вертикальную асимптоту функции y= Вопрос id:659072 Найдите горизонтальную асимптоту функции y= Вопрос id:659073 Сколько точек экстремума имеет функция y=(x-1)2(x+2)? Вопрос id:659074 Укажите верные утверждения ?) если │q│ < 1, то последовательность уп = qn расходится ?) если последовательность сходится, то она ограничена ?) если последовательность сходится, то только к одному пределу ?) если последовательность ограничена, то она сходится Вопрос id:659075 Выполните действия ?) ( ?) ?) ?) Вопрос id:659076 Определите число решений системы уравнений
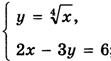
Вопрос id:659077 Определите число решений системы уравнений
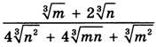
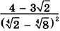
Вопрос id:659078 Верны ли утверждения? А) Если n - четное число, то область определения функции у = В) Если n - нечетное число, то область определения функции у = ?) А - да, В - нет ?) А - нет, В - нет ?) А - да, В - да ?) А - нет, В - да Вопрос id:659079 Верны ли утверждения? А) Если n - четное число, то функция у = В) Если n - нечетное число, то функция у = ?) А - да, В - нет ?) А - нет, В - да ?) А - да, В - да ?) А - нет, В - нет Вопрос id:659080 Вынесите множитель из-под знака корня, считая, что переменные принимают только неотрицательные значения ?) n ?) n ?) n2 ?) n3 Вопрос id:659081 Вынесите множитель из-под знака корня, считая, что переменные принимают только неотрицательные значения ?) 3a ?) 4a ?) 2a2 ?) 4a Вопрос id:659082 Вычислить ?) ?) ?) ?) Вопрос id:659083 Вычислить Вопрос id:659084 Найдите область определения функции y= ?) (-∞;- ?) (-∞;- ?) (-∞;-5]U[5;+ ∞) ?) R Вопрос id:659085 Найдите область определения функции y= ?) [2;+∞) ?) (-∞;-6]U[2;+∞) ?) (-∞;-6)U(2;+∞) ?) (-∞;-6] Вопрос id:659086 Найдите область определения функции ?) [2;+∞) ?) [- ?) (-∞;2] ?) [- Вопрос id:659087 Найдите область определения функции ?) R ?) (-∞;-3]U[3;+ ∞) ?) [ ?) [3; + ∞) Вопрос id:659088 Найдите область определения функции y= ?) (-∞;0,5)U(1;+∞) ?) (-∞;0,5]U[1;+∞) ?) (0,5;1) ?) [0,5;1] Вопрос id:659089 Решить уравнение Вопрос id:659090 Сократите дробь, считая, что переменные принимают только неотрицательные значения ![]() ?) ?) ?) ?) Вопрос id:659091 Сократите дробь, считая, что переменные принимают только неотрицательные значения ![]() ?) ?) a ?) ?) a Вопрос id:659092 Сократите дробь ![]() ?) x5 ?) x5 ?) x5 ?) Вопрос id:659093 Укажите верные утверждения: ?) если n - четное число, то функция у = ?) если n - четное число, то область значений функции у = ?) если n - нечетное число, то область значений функции у = ?) если n - нечетное число, то функция у = Вопрос id:659094 Упростите выражение ?) 3 ?) 2 ?) 3 ?) Вопрос id:659095 Упростить выражение ?) 2a2 ?) 2 ?) a2 ?) 2a Вопрос id:659096 Вычислить Вопрос id:659097 Вычислить Вопрос id:659098 Вычислить Вопрос id:659099 Вычислить Вопрос id:659100 Вычислить Вопрос id:659101 Вычислить Вопрос id:659102 Найдите значение выражения Вопрос id:659103 Найдите значение выражения Вопрос id:659104 Найдите значение выражения Вопрос id:659105 Преобразуйте выражение Вопрос id:659106 При каких значениях x имеет смысл выражение ?) x€(-∞;0,5]U[1;+∞) ?) x€(-∞;0,5)U(1;+∞) ?) x€[0,5;1] ?) x€(0,5;1) Вопрос id:659107 Расположите числа в порядке возрастания ?) -1 ?) ?) ?) Вопрос id:659108 Расположите числа в порядке возрастания ?) ?) ?) ?) -2 Вопрос id:659109 Расположите числа в порядке возрастания ?) ?) ?) ?) 2,5 Вопрос id:659110 Расположите числа в порядке возрастания ?) ?) ?) ?) Вопрос id:659111 Расположите числа в порядке убывания ?) ?) ?) ?) 2 Вопрос id:659112 Расположите числа в порядке убывания ?) ?) 3 ?) ?) Вопрос id:659113 Расположите числа в порядке убывания ?) ?) ?) 0 ?) 2π Вопрос id:659114 Решить уравнение 5x5=-160 Вопрос id:659115 Решить уравнение |
Copyright tests.ithead.ru 2013-2026






