Тесты онлайн, бесплатный конструктор тестов. Психологические тестирования, тесты на проверку знаний.

Список вопросов базы знаний

Алгебра и начала анализа (10 класс)

Вопрос id:660963
Бином Ньютона выражают формулы
?)
?)
?)
?)
Вопрос id:660964
Выражение ___
?) не имеет смысла
?) имеет значение, равное 0
?) имеет значение, равное n
?) имеет значение, равное 1
Вопрос id:660965
Выражение ___
?) имеет значение, равное 5
?) имеет значение, равное 1
?) не имеет смысла
?) имеет значение, равное 0
Вопрос id:660966
Выражение, в котором несколько алгебраических дробей соединено знаками арифметических действий, причем это выражение не содержит деления на нулевой многочлен, – это ___ выражение
?) действительное
?) нулевое
?) натуральное
?) рациональное
Вопрос id:660967
Если каждому натуральному числу n поставлено в соответствие по некоторому закону число хn, то говорят, что задана числовая ___ {хn
Вопрос id:660968
Коэффициенты в биноме Ньютона называются
?) биномиальными
?) логарифмическими
?) степенными
?) показательными
Вопрос id:660969
Любой упорядоченный набор из k элементов, составленный из данных n элементов, – это
?) отображение n элементов из k
?) размещение из n элементов по k
?) сочетание k элементов из n
?) размещение из k элементов по n
Вопрос id:660970
Многочлен от нескольких переменных, вид которого не изменяется при любой перестановке этих переменных, – это ___ многочлен
?) симметрический
?) простой
?) нулевой
?) натуральный
Вопрос id:660972
Многочлен, который после приведения подобных членов превращается в число нуль ___, - многочлен
?) начальный
?) нулевой
?) простой
?) натуральный
Вопрос id:660973
Множество всех действительных чисел x, удовлетворяющих двойному неравенству а < x < b, - это
?) полуинтервал [a;b)
?) отрезок [a;b]
?) интервал (a;b)
?) полуинтервал (a;b]
Вопрос id:660974
Множество всех корней распадающегося уравнения есть ___ множеств всех корней двух уравнений А(x) = 0 и В(x) = 0
?) пересечение
?) умножение
?) сочетание
?) объединение
Вопрос id:660975
Множество, в котором для любого сколь угодно большого натурального числа n найдется n элементов, называют -___ множеством
?) конечным
?) элементарным
?) бесконечным
?) пустым
Вопрос id:660976
Множество, состоящее из всех элементов множеств А и В, принадлежащих хотя бы одному из этих множеств, называется
?) исключением множеств А и В
?) объединением множеств А и В
?) отображением множества А на множество В
?) пересечением множеств А и В
Вопрос id:660977
Множество, состоящее из всех элементов, каждый из которых принадлежит и множеству А, и множеству В, называется
?) объединением множеств А и В
?) исключением множеств А и В
?) отображением множества А на множество В
?) пересечением множеств А и В
Вопрос id:660978
Множество, состоящее из конечного числа элементов, называют ___ множеством
?) конечным
?) элементарным
?) пустым
?) нулевым
Вопрос id:660979
Модуль, или абсолютная величина действительного числа a, обозначается
?)
?) (а)
?) |а|
?)
Вопрос id:660980
Мощность конечного множества А ___ мощности бесконечного множества В
?) больше
?) равна
?) меньше либо равна
?) меньше
Вопрос id:660981
Найти все корни уравнения или показать, что их нет, - это значит ___ уравнение
Вопрос id:660982
Натуральные числа имеют следующие свойства
?) сумма любых двух натуральных чисел является дробным числом
?) сумма и произведение любых двух натуральных чисел являются натуральными числами
?) разность и частное любых двух натуральных чисел необязательно являются натуральными числами
?) разность любых двух натуральных чисел является иррациональным числом
Вопрос id:660983
Натуральные числа – это
?) 1, 2, 3, 4, 5, 6, ...
?) -3, -2, -1, 0, 1, 2, 3, ...
?) 0
?) 1/10, 2/10, 3/10, 4/10, 5/10, 6/10, ...
Вопрос id:660984
Неравенства и неравенство А(x) × В(x) > 0 имеют ___ общие решения
?) никакое
?) любое
?) 0
?) ∞
Вопрос id:660985
Неравенства: f(x) > a и f(x) < a, где а - данное число, a f(x) - одна из основных тригонометрических функций, называют ___ тригонометрическими неравенствами
?) простейшими
?) основными
?) главными
?) сложнейшими
Вопрос id:660986
Неравенство 2х2 - x - 1 ≤ 0 имеет следующие решения
?)
?) (0;0)
?)
?)
Вопрос id:660987
Неравенство 3x - 7≥ 0. имеет следующие решения
?)
?)
?) (0;0)
?) (2; 3)
Вопрос id:660988
Неравенство имеет следующие решения
?) решения отсутствуют
?) (2; 3).
?) (-1; 1)
?) (-1; 1) U (2; 3)
Вопрос id:660989
Неравенство имеет следующие решения
?) (2; 3)
?) (-3; 2) U (2; 3)
?) (0; 0)
?) (-3; 2)
Вопрос id:660990
Неравенство имеет следующие решения
?) (0; 0)
?) (2; 3)
?) (-1; 1)
?) (-1; 1) и (2; 3)
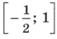
Вопрос id:660991
Неравенство имеет следующие решения
?) (-3; -2]
?) (0; 4]
?) (-3; -2] U (0; 4]
?) (0; 0)
Вопрос id:660992
Неравенство имеет следующие решения
?) (1; 2)
?) решения отсутствуют
?) (1; 2) U (3; +∞)
?) (3; +∞)
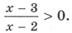
Вопрос id:660993
Неравенство имеет следующие решения
?)
?) (3; +∞)
?) (-∞; 2)
?) решения отсутствуют
Вопрос id:660994
Неравенству, левая и правая части которого есть рациональные выражения относительно x, – это неравенство
?) иррациональное
?) нестрогое
?) рациональное
?) рациональное с двумя переменными
Вопрос id:660995
Обыкновенная дробь имеет следующее представление в виде периодической дроби
?) 0,3
?) 0,33
?) 0,33333.....
?) 0,3(2)
Вопрос id:660996
Обыкновенная дробь имеет следующее представление в виде периодической дроби
?) 0,66
?) 0,6666.....
?) 0,6
?) 0,6(2)
Вопрос id:660997
Одночленами являются
?) 0
?) 3x2 – 4x + 5
?) a
?) 3a + 2b
Вопрос id:660998
Основной способ решения систем уравнений – это способ
?) настройки
?) подстановки
?) сочетания
?) распределения
Вопрос id:660999
Отрезок между a и b обозначается
?) (a;b]
?) (a;b)
?) [a;b)
?) [a;b]
Вопрос id:661000
Переместительное свойство сложения действительных чисел обозначается формулой
?) (a + b) + с = a + (b + с)
?) a + b = b + a
?) a + (-a) = 0
?) a + 0 = a
Вопрос id:661001
Правильное значение выражения 0! равно
?) 1
?) -1
?) 0
?) 0.1
Вопрос id:661002
Правильное значение выражения 1! равно
?) 1
?) 0.1
?) 0
?) -1
Вопрос id:661003
Представленный список содержит следующие многочлены с несколькими переменными
?)
?)
?)
?) 2x + 3
Вопрос id:661004
Представленный список содержит следующие многочлены с одной переменной
?) 2x + 3
?)
?)
?)
Вопрос id:661005
Представленный список содержит следующие несимметрические многочлены
?) 6zuv
?) x+ y + z
?) a2 - b2
?) а3 + аb - b3
Вопрос id:661006
Представленный список содержит следующие рациональные выражения
?) 3a + 6
?)
?)
?)
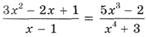
Вопрос id:661007
Представленный список содержит следующие рациональные уравнения
?)
?)
?)
?)
Вопрос id:661009
Представленный список содержит следующие симметрические многочлены с тремя переменными
?) а3 + 3 с3
?)
?) x+ y + z
?) 6zuv
Вопрос id:661010
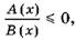
Приведенный список содержит следующие нестрогие неравенства
?) А(x) +× В(x) > 0
?)
?) А(x) × В(x) > 0
?)
Вопрос id:661011
Произведение n натуральных чисел от 1 до n обозначается
?) (n)
?) n * n
?) n!
?) n
Вопрос id:661012
Прямая у = b, параллельная оси Ох, пересекает параболу у = х2m + 1 (m⊂Z) в ___ точке(ах)
?) трех
?) четырех
?) двух
?) одной
Вопрос id:661013
Прямая, на которой выбраны начальная точка, положительное направление и единичный отрезок, называется
?) параллельной прямой
?) главной осью
?) координатной осью
?) системой координат
Вопрос id:661014
Равносильные системы уравнений имееют следующие признаки
?) каждое решение второй системы уравнений является решением первой системы
?) каждое решение первой системы уравнений является решением второй системы
?) первая система уравнение не имеет корней
?) вторая система уравнений имеет нулевые корни
Copyright tests.ithead.ru 2013-2026