Тесты онлайн, бесплатный конструктор тестов. Психологические тестирования, тесты на проверку знаний.
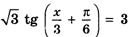
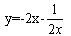
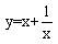
Список вопросов базы знанийАлгебра и начала анализа (10 класс)Вопрос id:659721 Исследуйте функцию y= ?) (-∞;1] возрастает, [1;+ ∞) убывает ?) (-∞; ?) (-∞; ?) (-∞; Вопрос id:659722 Исследуйте функцию y= ?) (-∞; ?) (-∞; ?) ?) (-∞; Вопрос id:659723 Промежутки знакопостоянства производной функции y=3x5-5x3+2 представлены на схеме: ?) ![]() ?) ![]() ?) ![]() ?) ![]() Вопрос id:659724 Найдите вертикальную асимптоту функции y= Вопрос id:659725 Найдите горизонтальную асимптоту функции y= Вопрос id:659726 Найдите точки экстремума функции ?) ?) ?) ?) Вопрос id:659727 Сколько точек экстремума имеет функция y=x3(2-x) Вопрос id:659728 Сколько точек экстремума имеет функция y= Вопрос id:659729 Решите уравнение ctg2x-ctgx=0. Введите номер правильного ответа: 1. x=πk, x= - Вопрос id:659730 Решите уравнение tg2x+tgx=0. Введите номер правильного ответа: 1. x=πk, x= - Вопрос id:659731 Решить уравнение (sinx-2)(cosx- 1. x=(-1)nargsin2 +πn, x=±arccos(- Вопрос id:659732 Решить уравнение (sinx-3)(cosx+ 1. x=(-1)nargsin3 +πn, x=±arccos(- Вопрос id:659733 Решить уравнение (sinx- 1. x=(-1)nargsin Вопрос id:659734 Решить уравнение (sinx- 1. x=(-1)nargsin Вопрос id:659735 Решить уравнение tg x (sin х - 1) =0 ?) x=± ?) x=(-1)k ?) х = πk ?) x=(-1)k Вопрос id:659736 Решить уравнение cos4x.tgx=0 ?) x=± ?) x=± ?) ± ?) x=± Вопрос id:659737 Решить уравнение sin2 ?) (-1)kπ+4πk, x=4πk ?) x= (-1)k ?) x=4πk, x=2π+8 πk ?) (-1)kπ Вопрос id:659738 Решить уравнение tg6x.cosx=0 ?) ?) ?) ?) Вопрос id:659739 Решить уравнение ?) ?) - ?) ± ?) Вопрос id:659740 Найдите наибольшее значение функции y=x2-8x+19 на отрезке [-1;5] Вопрос id:659741 Найдите наибольшее значение функции y=x2-8x+6 на отрезке [-1;4] Вопрос id:659742 Найдите наибольшее значение функции y= Вопрос id:659743 Найдите наибольшее и наименьшее значение функции y=- ?) yнаим = -32 yнаиб =1 ?) yнаим = 1 yнаиб =32 ?) yнаим = -32 yнаиб =-1 ?) yнаим = -1 yнаиб =32 Вопрос id:659744 Найдите наибольшее и наименьшее значение функции y=- ?) yнаим = -2 yнаиб =2 ?) yнаим = 0 yнаиб =2 ?) yнаим = -4 yнаиб =0 ?) yнаим = -4 yнаиб =-2 Вопрос id:659745 Найдите наибольшее и наименьшее значение функции y=2sinx на промежутке [- ?) yнаим = -1 yнаиб =2 ?) yнаим = -2 yнаиб =2 ?) yнаим = 1 yнаиб =2 ?) yнаим = -2 yнаиб =1 Вопрос id:659746 Найдите наибольшее и наименьшее значение функции y=3x-6 на промежутке [-1;4] ?) yнаиб= 9 yнаим=-6 ?) yнаим = -9 yнаиб =3 ?) yнаим = -9 yнаиб =6 ?) yнаиб= 9 yнаим=6 Вопрос id:659747 Найдите наибольшее и наименьшее значение функции y= ?) yнаим = -3 yнаиб =0 ?) yнаим = 0 yнаиб =2 ?) yнаим = 0 yнаиб =3 ?) yнаим = 1 yнаиб =3 Вопрос id:659748 Найдите наименьшее значение функции y= x2-8x+19 на отрезке [-1;5] Вопрос id:659749 Найдите наименьшее значение функции y=x2-8x+6 на отрезке [-1;4] Вопрос id:659750 Найдите наименьшее значение функции y= Вопрос id:659751 Найдите наименьшее значение функции y= Вопрос id:659752 Найдите наибольшее значение функции Вопрос id:659753 Найдите наибольшее значение функции y= -3x7 на отрезке [0;1] Вопрос id:659754 Найдите наибольшее значение функции y=12x4 на отрезке [-1;2] Вопрос id:659755 Найдите наибольшее и наименьшее значение функции y=-0,5x+4 на отрезке [-2;6] ?) yнаим = -5 yнаиб =5 ?) yнаиб= 5 yнаим=-1 ?) yнаиб= 1 yнаим=-5 ?) yнаим = 1 yнаиб =5 Вопрос id:659756 Найдите наибольшее и наименьшее значение функции y=- ?) yнаим = -4 yнаиб =-2 ?) yнаим = -3 yнаиб =0 ?) yнаим = -2 yнаиб =2 ?) yнаим = -3 yнаиб =-2 Вопрос id:659757 Найдите наибольшее и наименьшее значение функции y=6cosx на промежутке [- ?) yнаим = -6 yнаиб =0 ?) yнаим = 0 yнаиб =6 ?) yнаим = -6 yнаиб =1 ?) yнаим = -1 yнаиб =0 Вопрос id:659758 Найдите наибольшее и наименьшее значение функции y= ?) yнаим = -1 yнаиб =1,5 ?) yнаим = -1,5 yнаиб =10 ?) yнаим = 1,5 yнаиб =10 ?) yнаим = -10 yнаиб =1.5 Вопрос id:659759 Найдите наибольшее и наименьшее значение функции y= ?) yнаим = -3 yнаиб =0 ?) yнаим = 0 yнаиб =2 ?) yнаим = 0 yнаиб =3 ?) yнаим = 1 yнаиб =3 Вопрос id:659760 Найдите наименьшее значение функции y= -3x7 на отрезке [0;1] Вопрос id:659761 Найдите наименьшее значение функции y=x-2 Вопрос id:659762 Какое выражение является математической моделью задачи: «Разность двух чисел равна 98. Найдите эти числа, если известно, что их произведение принимает наименьшее значение» ?) y=98b2 ?) y=98b+b2 ?) y=b2-98b ?) y=98b-b2 Вопрос id:659763 Найдите абсциссу минимума функции y= y= 98x+x2 на интервале (-∞;+∞) ?) x=98 ?) x=-98 ?) x=-49 ?) x=49 Вопрос id:659764 Найдите наибольшее значение функции y= sinx на отрезке Вопрос id:659765 Найдите наибольшее и наименьшее значение функции ?) yнаим =-2 , yнаиб не существует ?) yнаим =-2 , yнаиб =2 ?) yнаим =0 , yнаиб =2 ?) yнаим не существует, yнаиб =-2 Вопрос id:659766 Найдите наибольшее и наименьшее значение функции y= x3-2x2+1 на промежутке [0,5;+∞) ?) ?) ?) ?) Вопрос id:659767 Найдите наименьшее значение функции y= sinx на отрезке Вопрос id:659768 Найдите производную функции y= 98x+x2 ?) y′=98+2x ?) y′=98-2x ?) y′=98+x ?) y′=2x Вопрос id:659769 Произведение двух положительных чисел равно 49. Найдите одно из этих чисел, если их сумма принимает наибольшее значение. Вопрос id:659770 Найдите производную функции |
Copyright tests.ithead.ru 2013-2026



