Тесты онлайн, бесплатный конструктор тестов. Психологические тестирования, тесты на проверку знаний.
Список вопросов базы знанийАлгебра и начала анализа (10 класс)Вопрос id:659216 Решить уравнение (sinx- ?) x=(-1)nargsin ?) x= ?) x= ?) x=(-1)n+1argsin Вопрос id:659217 Решить уравнение ?) x= ?) x=–arccos(- ?) x= ?) x=arccos( Вопрос id:659218 Решить уравнение ?) - ?) ?) - ?) Вопрос id:659219 Укажите (цифрой) номер четверти числовой окружности, в которой находятся точки, аналитическая запись которых имеет вид Вопрос id:659220 Укажите верные равенства ?) -sinx=sinx ?) cos( ?) sin( ?) cosx=cos(-x) Вопрос id:659221 Укажите соответствие между левой и правой частью формулы
Вопрос id:659222 Упростите выражение 1 + ctg2 t ?) - ?) ?) - ?) Вопрос id:659223 Упростите выражение 1 + tg2 t ?) - ?) ?) - ?) Вопрос id:659224 Упростить выражение Вопрос id:659225 Установите парные соответствия между началом и окончанием определения
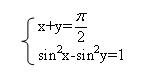
Вопрос id:659226 Функция f(x) = cos ( ?) [- ?) [-π + 2πk; π+ 2 πk] ?) [ ?) [0 + 2πk; π+ 2 πk] Вопрос id:659227 Функция f(x) = sin (π + x) возрастает на любом отрезке вида ?) [- ?) [-π + 2πk; π+ 2 πk] ?) [0 + 2πk; π+ 2 πk] ?) [ Вопрос id:659228 Сколько пар решений имеет система уравнений
Вопрос id:659229 Верны ли утверждения? А) При решении системы уравнений методом подстановки всегда переменную x выражают через переменную y В) При решении одной системы уравнений возможно использовать последовательно несколько методов ?) А - нет, В - нет ?) А - нет, В - да ?) А - да, В - да ?) А - да, В - нет Вопрос id:659230 Решите систему уравнений
?) ( ?) ( ?) ( ?) ( Вопрос id:659231 Из уравнения Вопрос id:659232 Найти значение выражения cos Вопрос id:659233 Найти наибольшее значение функции у = 4 sin х +3 cos x Вопрос id:659234 Найти наименьшее значение функции у = 4 sin х +3 cos x Вопрос id:659235 Представьте в виде произведения sinх + sin2x + sinЗx (Выражение ответа запишите без пробелов) Вопрос id:659236 Преобразовать выражение tg3x=ctgx к виду cos(f(x)) Вопрос id:659237 Преобразовать выражение tgx=-tg5x к виду sin(f(x)) Вопрос id:659238 Преобразовать произведение 2cos(3x+y)cos(x-3y) в сумму. (Ответ введите без пробелов) Вопрос id:659239 Решить уравнение sin7x+sin3x=0 ?) x= ?) x= ?) x= ?) x= Вопрос id:659240 Упростите выражение 2sintsin2t+cos3t Вопрос id:659241 Упростите выражение cos2(45o-t)-cos2(60o+t)-cos75osin(75o-2t) Вопрос id:659242 Упростите выражение Вопрос id:659243 Выражение -2 sin ?) cosx-cosy ?) sinx+siny ?) cosx+cosy ?) sinx-siny Вопрос id:659244 Выражение 2 cos ?) sinx+siny ?) cosx+cosy ?) sinx-siny ?) cosx-cosy Вопрос id:659245 Выражение 2 sin ?) cosx-cosy ?) cosx+cosy ?) sinx+siny ?) sinx-siny Вопрос id:659246 Выражение 2 sin ?) sinx+siny ?) cosx+cosy ?) cosx-cosy ?) sinx-siny Вопрос id:659247 Выражение cos12о-cos48o преобразуется в ___ (В ответе знак градуса не вводите) Вопрос id:659248 Выражение sin35о+sin25o преобразуется в ___ (В ответе знак градуса не вводите) Вопрос id:659249 Выражение sin40о+cos70o преобразуется в ___ (В ответе знак градуса не вводите) Вопрос id:659250 Выражение ?) cos.cos t ?) sins.cos to ?) sins. sin t ?) -sins.cos t Вопрос id:659251 Выражение cos20о-sin50o преобразуется в ?) cos10o ?) cos18o ?) sin10o ?) sin18o Вопрос id:659252 Выражение sin20o-sin40o преобразуется в ?) - ?) ?) ?) - Вопрос id:659253 Выражение преобразуется в?) sins.cos to ?) sins. sin t ?) cos.cos t ?) -sins.cos t Вопрос id:659254 Выражение преобразуется в?) -sins.cos t ?) sins.cos to ?) sins. sin t ?) cos.cos t Вопрос id:659255 Преобразуйте в сумму sin23osin32o ?) 0,5 (cos9o+cos55o) ?) 0,5(cos9o-cos55o) ?) 0,5 (sin 7o-sin50o) ?) 0,5 (sin 17o-sin55o) Вопрос id:659256 Преобразуйте в сумму ?) 0,5 (sin ?) 0,5 (cos ?) 0,5 (sin ?) 0,5 (cos Вопрос id:659257 Сколько корней имеет уравнение sin5x+sinx=0 на отрезке [0; Вопрос id:659258 Упростите высщыражение cos(x-y)+sin(-x)siny Вопрос id:659259 Вычислить Вопрос id:659260 Если sin 4x - cos 2x = 0, чему равен sin2x? Вопрос id:659261 Преобразуйте в произведение 0,5sin3t-0,5sint Вопрос id:659262 Преобразуйте в произведение cos6t+cos4t Вопрос id:659263 Преобразуйте произведение в сумму 2sin(x+y)cos(x-y) Вопрос id:659264 Преобразуйте произведение в сумму 2sin(x+y)sin(x-y) Вопрос id:659265 Решить уравнение ?) ?) ?) ?) |
Copyright tests.ithead.ru 2013-2026


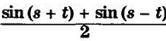
преобразуется в
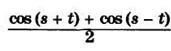
преобразуется в