|
|
Список вопросов базы знанийФизика (10 класс)Вопрос id:708777 Силы, возникающие при взаимодействии тел, приложены к разным телам и поэтому ___ друг друга ?) увеличивают ?) могут уравновешивать ?) дополняют ?) не могут уравновешивать Вопрос id:708778 Силы, препятствующие относительному движению соприкасающихся тел, называются силами ?) упругости ?) трения ?) притяжения ?) гравитации Вопрос id:708779 Силы, с которыми тела действуют друг на друга, равны по модулям и направлены по одной прямой в ___ стороны Вопрос id:708780 Система отсчета, в которой определяется положение тела, включает ?) плоскость ?) систему координат ?) часы ?) тело отсчета Вопрос id:708781 Система отсчета, связанная с Землей, называется ___ системой отсчета ?) геоцентрической ?) полярной ?) инерциальной ?) гелиоцентрической Вопрос id:708782 Скалярные величины имеют числовое значение, которое может быть ?) отрицательным ?) мнимым ?) равным нулю ?) положительным Вопрос id:708783 Скорость точки с течением времени изменяется по модулю и направлению при неравномерном ___движении ?) прямолинейном ?) относительном ?) колебательном ?) криволинейном Вопрос id:708784 Скорость, которую необходимо сообщить телу у поверхности планеты, чтобы оно стало ее спутником, движущимся по круговой орбите, называется ___ космической скоростью ?) второй ?) линейной ?) угловой ?) первой Вопрос id:708785 Существуют системы отсчета, называемые ___ , относительно которых свободные тела движутся равномерно и прямолинейно ?) полярными ?) инерциальными ?) относительными ?) неинерциальными Вопрос id:708786 Существуют системы отсчета, называемые инерциальными, относительно которых свободные тела движутся ?) неравномерно по окружности ?) равномерно по окружности ?) равномерно и прямолинейно ?) неравномерно и прямолинейно Вопрос id:708787 Тела имеют одинаковые массы, если ___ действующие на них силы тяжести Вопрос id:708788 Тела при свободном падении в вакууме достигают поверхности Земли за ___ время ?) разное ?) длительное ?) маленькое ?) одинаковое Вопрос id:708789 Тело, брошенное горизонтально, будет двигаться по траектории, которая является ?) параболой ?) гиперболой ?) окружностью ?) экспонентой Вопрос id:708790 Телом отсчета называется физическое тело, относительно которого определяется ___ других тел ?) скорость ?) движение ?) ускорение ?) положение Вопрос id:708791 Точку пересечения осей называют ?) точкой отсчета ?) началом координат ?) нулем ?) ориентиром Вопрос id:708792 Ускорение измеряют при помощи прибора ?) барометра ?) акселерометра ?) спидометра ?) манометра Вопрос id:708793 Ускорение свободного падения является ___ характеристикой гравитационного поля Земли. ?) потенциальной ?) энергетической ?) силовой ?) магнитной Вопрос id:708794 Ускорение свободного падения– вектор, всегда направленный ?) к центру Земли ?) вертикально вниз ?) горизонтально ?) вертикально вверх Вопрос id:708795 Условием возникновения сил упругости в теле является ___ тела ?) нагревание ?) покраска ?) деформация ?) освещение Вопрос id:708796 Установить соответствие | Левая часть | Правая часть | проекция вектора положительна | равна координате его конца | проекция вектора отрицательна | если направление вектора противоположно направлению оси | проекция радиус-вектора на координатную ось | если направление вектора совпадает с направлением оси |
Вопрос id:708797 Установить соответствие | Левая часть | Правая часть | траектория | линия, образованная множеством точек, через которые проходит движущаяся частица в данной системе отсчета | перемещение | направленный отрезок, проведенный из начального положения точки в ее конечное положение | пройденный путь | длина участка траектории, пройденного точкой за данный промежуток времени |
Вопрос id:708798 Установить соответствие | Левая часть | Правая часть | криволинейное движение | движения точки по траектории, которая является окружностью, дугой | вращательное движение | движения точки по траектории, которая является прямой линией | прямолинейное движение | движение, при котором все точки тела описывают окружности |
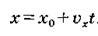
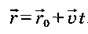
Вопрос id:708799 Установить соответствие | Левая часть | Правая часть | формула уравнение равномерного прямолинейного движения точки, в векторной форме | | формула уравнение равномерного прямолинейного движения в проекциях на ось ох | | формула скорости равномерного прямолинейного движения | |
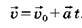
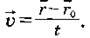
Вопрос id:708800 Установить соответствие | Левая часть | Правая часть | мгновенная скорость | | закон сложения скоростей, выраженный в проекциях скоростей на оси ОХ, ОY | | закон сложения перемещений | предел отношения перемещения  точки к промежутку времени  , в течение которого это перемещение произошло, при стремлении промежутка  к нулю |
Вопрос id:708801 Установить соответствие | Левая часть | Правая часть | векторное уравнение скорости | | формула ускорения в векторной форме | | ускорения при равномерном движении по окружности | |
Вопрос id:708802 Установить соответствие | Левая часть | Правая часть | равноускоренное движение | прямолинейное движение с постоянным ускорением, при котором модуль скорости уменьшается | свободное падение | прямолинейное движение с постоянным ускорением, при котором модуль скорости увеличивается | равнозамедленное движение | движение тел к Земле с постоянным ускорением |
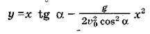
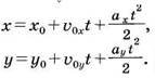
Вопрос id:708803 Установить соответствие | Левая часть | Правая часть | векторное уравнение, которое определяет положение тела в момент времени t | | уравнение траектории при свободном падении тела | | кинематическими уравнениями движения с постоянным ускорением в проекция на оси | |
Вопрос id:708804 Установить соответствие | Левая часть | Правая часть | формула проекции вектора скорости при свободном падении тела на ось Оy | | формула проекции вектора перемещения при свободном падении тела на ось Оy | | уравнения координат тела при свободном падении | |
Вопрос id:708805 Установить соответствие | Левая часть | Правая часть | ускорение свободного падения | уравнение, устанавливающее зависимость между координатами х и у | уравнение траектории. | движение тела, при котором скорость не меняется по модулю, а изменяется лишь по направлению. | равномерное движение по окружности | ускорение, которое сообщает телам земной шар |
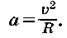
Вопрос id:708806 Установить соответствие | Левая часть | Правая часть | абсолютно твердое тело | физическая величина, которая характеризует быстроту изменения скорости | центростремительное ускорение | тело, при движении которого взаимное расположение его частей не изменяется | ускорение | ускорение точки при ее равномерном движении по окружности |
Вопрос id:708807 Установить соответствие | Левая часть | Правая часть | вращение вокруг неподвижной оси | движение твердого тела, при котором все точки тела описывают окружности, центры которых находятся на одной прямой, перпендикулярной плоскостям этих окружностей | поступательное движение | величина, равная отношению угла  поворота тела к промежутку времени  , за который этот поворот произошел | угловая скорость | такое движение твердого тела, при котором любая прямая, проведенная в этом теле, перемещается параллельно самой себе |
Вопрос id:708808 Установить соответствие | Левая часть | Правая часть | частота вращения | отношение длины дуги окружности, на которую опирается угол, к ее радиусу | период вращения | число полных оборотов тела за 1 с. | угол в радианной мере | время, в течение которого тело совершается один полный оборот |
Вопрос id:708809 Установить соответствие | Левая часть | Правая часть | угловая скорость в радианной мере | | угол полного оборота тела | | угол поворота тела за время t | |
Вопрос id:708810 Установить соответствие | Левая часть | Правая часть | формула связи между частотой и периодом вращения | | формула для определения угловой скорости | | формула для определения угла в радианной мере | |
Вопрос id:708811 Установить соответствие | Левая часть | Правая часть | законы Ньютона | вектор, совпадающий с касательной в точке окружности, определяющей положение этой точки, и перпендикулярный радиусу, проведенному в эту точку | механический принцип причинности | основа классической теоретической физики, отразившая причинно-следственные связи при взаимодействии тел и определившая качественную и количественную форму этих взаимодействий | линейная скорость вращения тела | совокупность начальных положений и скоростей всех частиц механической системы, полностью определяющих ее дальнейшее движение |
Вопрос id:708812 Установить соответствие | Левая часть | Правая часть | формула для определения модуля линейной скорости | | формула для определения модуля линейной скорости | | формула для определения модуля ускорения точки, движущейся равномерно по окружности | |
Вопрос id:708813 Установить соответствие | Левая часть | Правая часть | причина | явление, которое порождает другое явление | причинность | связь явлений, в которой одно явление при определенных условиях с необходимостью порождает другое явление | следствие | явление, которое вызывается действием причины |
Вопрос id:708814 Установить соответствие | Левая часть | Правая часть | материальная точка | система отсчета, относительно которой свободные тела имеют постоянную скорость и движутся прямолинейно | свободное тело | тело, обладающее массой, но не имеющее геометрических размеров | инерциальная система отсчета | тело, на движении которого не оказывают воздействие другие тела |
Вопрос id:708815 Установить соответствие | Левая часть | Правая часть | сила | количественная мера действия тел друг на друга, в результате которого тела получают ускорения | спидометр | прибор для измерения сил | динамометр | прибор для измерения скорости |
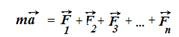
Вопрос id:708816 Установить соответствие | Левая часть | Правая часть | математическое выражение второго закона Ньютона | | математическое выражение равнодействующей силы | | принципа суперпозиции для второго закона Ньютона | |
Вопрос id:708817 Установить соответствие | Левая часть | Правая часть | инертность | способность тела сохранять состояние покоя или равномерного прямолинейного движения | явление инерции | свойство тела, которое определяет его способность изменять скорость под действием силы | масса | величина, которая характеризует способность тела изменять свою скорость |
Вопрос id:708818 Установить соответствие | Левая часть | Правая часть | свойство аддитивности | величина, равная отношению модуля силы к модулю ускорения. | масса тела | масса системы тел равна сумме масс всех тел системы. | инертная масса тела | количественная мера инертности тела |
Вопрос id:708819 Установить соответствие | Левая часть | Правая часть | секунда | единица времени в Международной системе единиц (СИ) | килограмм | единица массы в Международной системе единиц (СИ) | ньютон | единица сил, производной единицей измерения в Международной системе единиц (СИ) |
Вопрос id:708820 Установить соответствие | Левая часть | Правая часть | явление всемирного тяготения | явление всемирного тяготения | гравитационное поле | особый вид материи, посредством которого осуществляется гравитационное взаимодействие | гравитация | взаимодействие, свойственное всем телам Вселенной и проявляющееся в их взаимном притяжении друг к другу |
Вопрос id:708821 Установить соответствие | Левая часть | Правая часть | третий закон Ньютона | если на тело массой окружающие тела действуют с силой, то это тело приобретает такое ускорение, что произведение массы на ускорение будет равно действующей силе. | второй закон Ньютона | силы, с которыми тела действуют друг на друга, равны по модулям и направлены по одной прямой в противоположные стороны | закон всемирного тяготения | сила гравитационного притяжения любых двух частиц прямо пропорциональна произведению их масс и обратно пропорциональна квадрату расстояния между ними |
Вопрос id:708822 Установить соответствие | Левая часть | Правая часть | формула гравитационной постоянной | | формула закона всемирного тяготения | | формула ускорения свободного падения тела | |
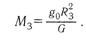
Вопрос id:708823 Установить соответствие | Левая часть | Правая часть | формула модуль силы тяжести | | формула для определения массы Земли | | формула ускорения свободного падения | |
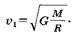
Вопрос id:708824 Установить соответствие | Левая часть | Правая часть | формула для определения скорости спутника | | формула первой космической скорости | | формула центростремительного ускорения спутника | |
Вопрос id:708825 Установить соответствие | Левая часть | Правая часть | уравнение для определения веса тела, если вектор ускорения тела и вектор ускорения свободного падения равны | | уравнение для определения веса тела, если вектор ускорения тела и вектор ускорения свободного падения имеют одинаковое направление | | уравнение для определения веса тела, если вектор ускорения тела и вектор ускорения свободного падения имеют противоположное направление |  ,  |
Вопрос id:708826 Установить соответствие | Левая часть | Правая часть | сила трения скольжения | состояние тела, когда его вес превышает силу тяжести | перегрузка | сила, возникающая при движении одного тела по поверхности другого | невесомость | означает, что тело не давит на опору и вес тела равен нулю |
|