Тесты онлайн, бесплатный конструктор тестов. Психологические тестирования, тесты на проверку знаний.

Список вопросов базы знаний

Физика (10 класс)

Вопрос id:709743
___– материалы, которые отличаются от проводников тем, что обладают очень малой проводимостью
Вопрос id:709744
___– полупроводниковое устройство с двумя р-n-переходами
Вопрос id:709745
___– препятствие, которое возникает при упорядоченном движении электрических заряженных частиц по проводнику
Вопрос id:709746
___– процесс выделения на электроде вещества, связанный с окислительно-восстановительными реакциями
Вопрос id:709747
___– система, в которую не входят извне и из которой не выходят наружу заряженные частицы
Вопрос id:709748
___– устройство, предназначенное для перемещения зарядов во внешней цепи
Вопрос id:709749
___– устройство, присоединяемое к электронно-вычислительной машине (ЭВМ) для отображения информации
Вопрос id:709750
___тела – физическое явление перераспределения электрических зарядов на телах, в результате которого тела становятся электрически заряженными
Вопрос id:709751
___тока называется величина, равная отношению заряда, который переносится через поперечное сечение проводника за промежуток времени , к этому промежутку
Вопрос id:709752
___– накопление электрических зарядов на обкладках конденсатора
Вопрос id:709753
___– элементарная частица, не имеющая электрического заряда
?) Электрон
?) Нейтрон
?) Протон
?) Ион
Вопрос id:709754
___диполем называется нейтральная система связанных электрических зарядов
Вопрос id:709755
Акцепторные примеси полупроводников являются химическими элементами ___группы таблицы Менделеева
?) четвертой
?) третьей
?) шестой
?) пятой
Вопрос id:709756
В газах электическая проводимсть осуществляется носителями, а именно
?) положительными ионами
?) свободными электронами
?) связанными зарядами
?) отрицательными ионами
Вопрос id:709757
В диэлектриках электрически заряженные частицы ___под действием электрического поля по всему объему тела
?) не перемещаются
?) распределяются
?) перемещаются
?) не распределяются
Вопрос id:709758
В конструкцию вакуумного диода не входит
?) подогреватель катода
?) р – n переход
?) анод
?) катод
Вопрос id:709759
В конструкцию электронно-лучевой трубки не входит
?) вакуумный баллон
?) управляющие электроды
?) электронная пушка
?) графитовый контакт
Вопрос id:709760
В кострукцию транзистора входят
?) База
?) Коллектор
?) Графитовые щетки
?) Эмиттер
Вопрос id:709761
В однородном электрическом поле с напряженностью 300 В/м положительный заряд перемещается на 2 см перпендикулярно к линиям напряженности. Разность потенциалов между этими точками равна___ В
?) 0
?) 15000
?) 150
?) 6
Вопрос id:709762
В однородном электростатическом поле заряд перемещается по прямой ABC (АВ = ВС), работа, совершенная полем на участке АВ, равна 100 Дж. Работа на участке ВС
?) зависит от взаимного расположения прямой АВ и линий напряженности поля
?) равна 100 Дж
?) равна 0
?) равна 200 Дж
Вопрос id:709763
В одну и ту же точку однородного электрического поля вначале поместили протон, а затем – альфа-частицу. Величина кулоновской силы, действующей на частицу
?) вначале увеличилась, а затем уменьшилась
?) уменьшилась
?) не изменилась
?) увеличилась
Вопрос id:709764
В одну и ту же точку однородного электрического поля вначале поместили протон, а затем – электрон. Величина кулоновской силы, действующей на частицу___
?) не изменилась
?) уменьшилась
?) увеличилась
?) вначале увеличилась, а затем уменьшилась
Вопрос id:709765
В природе заряд элементарных частиц___
?) минимальный
?) максимальный
?) равен нулю
?) мнимый
Вопрос id:709766
В состав атомного ядра входят элементарные частицы
?) отрицательные ионы
?) положительные ионы
?) нейтроны
?) протоны
Вопрос id:709767
В состав электрической цепи входят ___
?) соединительные провода
?) устройства, потребляющие электрическую энергию
?) источник электрической энергии
?) карандаш
Вопрос id:709768
В теле, имевшем отрицательный заряд –5 е, изменилось число электронов. После этого заряд тела стал равным+9 е. При этом тело ___ е
?) потеряло 14
?) потеряло 4
?) приобрело 14
?) приобрело 4
Вопрос id:709769
В теле, имевшем положительный заряд +5 е, изменилось число электронов. После этого заряд тела стал равным+9 е. При этом тело ___ е
?) приобрело 4
?) приобрело 14
?) потеряло 4
?) потеряло 14
Вопрос id:709770
В цепи, состоящей из трех одинаковых проводников, соединенных параллельно и включенных в сеть, за 40 с выделилось некоторое количество теплоты Если проводники соединить последовательно, то такое же количество теплоты выделится за ..
?) то же время
?) 360 с
?) 240 с
?) 120 с
Вопрос id:709771
В четырехвалентный кремний добавили в первом опыте трехвалентный химический элемент, а во втором – пятивалентный элемент. При этом полупроводники в основном будут обладать следующей проводимостью в
?) обоих случаях электронной
?) первом случае – электронной, во втором случае – дырочной
?) обоих случаях дырочной
?) первом случае – дырочной, во втором случае – электронной
Вопрос id:709772
В электронагревателе с неизменным сопротивлением спирали, через который течет постоянный ток, за время t выделяется количество теплоты Q. Если силу тока и время t увеличить вдвое, то количество теплоты, выделившееся в нагревателе, будет равно ___ Q
?) 8
?) 4
?) 3
?) 2
Вопрос id:709773
В электронагревателе с неизменным сопротивлением спирали, через который течет постоянный ток, за время t выделяется количество теплоты Q. Если силу тока увеличить вдвое, а время t уменьшить в 2 раза, то количество теплоты, выделившееся в нагревателе, будет равно ___ Q
?) 4
?) 2
?) 3
?) 1/2
Вопрос id:709774
В электронагревателе, через который течет постоянный ток, за время t выделяется количество теплоты Q. Если сопротивление нагревателя и время t увеличить вдвое, не изменяя силу тока, то выделившееся количество теплоты будет равно ___ Q
?) 2
?) 8
?) 4
?) 1
Вопрос id:709775
В электронагревателе, через который течет постоянный ток, за время t выделяется количество теплоты Q. После того как сопротивление нагревателя и силу тока в нём изменили, за то же время выделилось количество теплоты 2Q. При этом, если силу тока увеличили в 2 раза, сопротивление стало равным ___ R
?) 1/4
?) 2
?) 1/8
?) 6
Вопрос id:709776
В электронно-лучевой трубке при сообщении разности потенциалов вертикальным пластинам электронный пучок смещается ___
?) по ломаной линии
?) по окружности
?) в вертикальном направлении
?) в горизонтальном направлении
Вопрос id:709777
В электронно-лучевой трубке при сообщении разности потенциалов горизонтальным пластинам он смещается___
?) в вертикальном направлении
?) в горизонтальном направлении
?) по дуге окружности
?) по ломаной линии
Вопрос id:709778
В электростатическом поле работа сил, действующих на пробный заряд со стороны поля при его перемещении по замкнутому контуру
?) всегда равна нулю
?) зависит от формы контура
?) равна нулю только в однородном поле
?) зависит от знака пробного заряда
Вопрос id:709779
Воздушный конденсатор подсоединен к источнику напряжения 24 В. Напряженность электрического поля между обкладками конденсатора, расположенными на расстоянии 2 см друг от друга, равна
?) 48 В/м
?) 1200 В/м
?) 12 В/м
?) 0,48 В/м
Вопрос id:709780
График зависимости удельного сопротивления металлов от температуры является ___
?) гиперболой
?) экспонентой
?) параболой
?) прямой линией
Вопрос id:709781
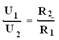
Два резистора сопротивлениями R1, и R2 соединены последовательно, показания идеальных вольтметров, присоединенных к концам этих резисторов, Ul и U2
?) равны между собой
?) таковы, что
?) могут быть произвольными
?) таковы, что
Вопрос id:709782
Два резистора, имеющие сопротивления R1 = 1 Ом и R2=2 Ом, включены в цепь постоянного тока параллельно друг другу. Отношение мощностей N1 / N2 электрического тока на этих резисторах равно
?) 1 : 1
?) 2 : 1
?) 1 : 2
?) 4 : 1
Вопрос id:709783
Два точечных заряда будут отталкиваться друг от друга только в том случае, если заряды
?) различны по знаку и по модулю
?) одинаковы по знаку и обязательно одинаковы по модулю
?) одинаковы по знаку; модули зарядов произвольны
?) различны по знаку, но обязательно одинаковы по модулю
Вопрос id:709784
Два точечных заряда действуют друг на друга с силой 12 мкН. Если уменьшить величину каждого заряда в 2 раза, не меняя расстояния между ними, то сила взаимодействия между ними будет равна ___ мкН
?) 6
?) 24
?) 48
?) 3
Вопрос id:709785
Два точечных заряда притягиваются друг к другу только в том случае, если заряды
?) различны по знаку, но обязательно одинаковы по модулю
?) одинаковы по знаку и по модулю
?) одинаковы по знаку, но обязательно различны по модулю
?) различны по знаку; модули зарядов произвольны
Вопрос id:709786
Два точечных электрических заряда q и 2q на расстоянии r друг от друга притягиваются с силой F. Заряды 2q и 2q на расстоянии 2 r будут притягиваться с силой, равной
?) 2F
?) F
?) 4F
?) 1/2 F.
Вопрос id:709787
Две железные проволоки, длины которых одинаковы, соединены последовательно и подключены к источнику тока. Площадь поперечного сечения первой проволоки в несколько раз больше, чем второй. Большее Количество теплоты выделится
?) большее во второй, более тонкой проволоке
?) в первой, не выделится во второй
?) в первой и второй одинаковое
?) большее в первой, более толстой проволоке
Вопрос id:709788
Две одинаковые по форме плоские параллельные пластинки изготовлены из разных материалов и помещены в однородное поле, при этом напряженность поля перпендикулярна их плоскостям. Диэлектрическая проницаемость материала у первой пластины в 2 раза больше, чем у второй. Напряженность поля в первой пластине
?) в 2 раза меньше, чем во второй
?) в 4 раза больше, чем во второй
?) в 2 раза больше, чем во второй
?) такая же, как во второй
Вопрос id:709789
Две параллельные металлические пластины заряжены одинаковыми по модулю и противоположными по знаку электрическими зарядами, между пластинами находится воздух. При уменьшении расстояния между пластинами конденсатора разность потенциалов между пластинами и электроемкость изменятся так: разность потенциалов
?) не изменится, электроемкость увеличится.
?) увеличится, электроемкость уменьшится
?) увеличится, электроемкость увеличится
?) уменьшится, электроемкость увеличится
Вопрос id:709790
Дискретность электрического заряда проявляется в явлении
?) излучения электромагнитных волн
?) самоиндукции
?) электролиза
?) электромагнитной индукции
Вопрос id:709791
Длину медного провода, подключенного к источнику, увеличили в 2 раза. Чтобы сила тока, текущего через провод, увеличилась в 2 раза, нужно напряжение между его концами
?) увеличить в 4 раза
?) оставить неизменным
?) уменьшить в 2 раза
?) увеличить в 2 раза
Вопрос id:709792
Для возникновения и существования постоянного электрического тока в веществе необходимо(а)
?) сила, действующая на заряженные частицы в определенном направлении
?) электрическая цепь
?) воздушная среда
?) наличие свободных заряженных частиц
Copyright tests.ithead.ru 2013-2026