Тесты онлайн, бесплатный конструктор тестов. Психологические тестирования, тесты на проверку знаний.

Список вопросов базы знаний

Физика (10 класс)

Вопрос id:709230
В равных объемах различных газов при одинаковых температурах и давлениях содержится ___молекул
?) много
?) разное число
?) одинаковое число
?) немного
Вопрос id:709231
В резервуаре находится 20 кг азота при температуре 300 К и давлении 105 Па. Объем резервуара равен ___ м3
?) 1,8 · 10–2
?) 35,6
?) 17,8
?) 3,6 · 10–2
Вопрос id:709232
В результате охлаждения одноатомного идеального газа его давление уменьшилось в 4 раза, а концентрация молекул газа не изменилась. При этом средняя кинетическая энергия теплового движения молекул газа
?) уменьшилась в 2 раза
?) уменьшилась в 16 раз
?) уменьшилась в 4 раза
?) не изменилась
Вопрос id:709233
В сосуде под поршнем находится ненасыщенный пар. Его можно сделать насыщенным, если
?) добавить в сосуд другой газ
?) повысить температуру
?) уменьшить объем сосуда
?) увеличить его внутреннюю энергию
Вопрос id:709234
В сосуде под поршнем находятся только насыщенные пары воды. Если начать сдавливать пары, поддерживая температуру сосуда постоянной, в сосуде давление будет
?) оставаться постоянным, а затем начнет падать
?) оставаться постоянным
?) постоянно падать
?) постоянно расти
Вопрос id:709235
В тепловом двигателе происходит превращение внутренней энергии топлива в ___энергию
?) химическую
?) электрическую
?) магнитную
?) механическую
Вопрос id:709236
В термодинамике работа внешних сил, действующих на газ, равна
?)
?)
?)
?)
Вопрос id:709237
В термодинамике работа при сжатии и расширении газа равна изменению ___тела
?) внутренней энергии
?) механической энергии частей
?) кинетической энергии
?) потенциальной энергии
Вопрос id:709238
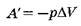
В термодинамике работа, совершаемая газом, равна
?)
?)
?)
?)
Вопрос id:709239
В узлах кристаллической решетки металлов находятся
?) нейтральные атомы
?) положительные ионы
?) электроны
?) отрицательные ионы
Вопрос id:709240
В устройстве термометра используется свойство тел изменять ___при нагревании или охлаждении
?) цвет
?) давление
?) объем
?) плотность
Вопрос id:709241
Величина постоянной Авагадро равна ___ моль –1
?) 6 · 10 23
?) 9 · 10 23
?) 6 · 10 27
?) 6 · 10 30
Вопрос id:709242
Величинами, характеризующими изменение внутренней энергии системы в результате того или иного процесса, являются
?) работа
?) удельная теплоемкость
?) удельная теплота плавления
?) количество теплоты
Вопрос id:709243
Вещество может находиться в___ агрегатных состояниях
?) четырех
?) пяти
?) двух
?) трех
Вопрос id:709244
Внутреннюю энергию тела изменили без совершения теплообмена. Изменение внутренней энергии тела равно
?) изменению потенциальной энергии гравитационного взаимодействия тела с Землёй
?) совершённой телом (над телом) работе
?) изменению кинетической энергии движения тела
?) изменению потенциальной энергии упругой деформации тела
Вопрос id:709245
Внутренняя энергия в термодинамике зависит от ___и___ тела
?) цвета
?) температуры
?) объема
?) запаха
Вопрос id:709246
Внутренняя энергия идеального газа не изменяется при ___ процессе
?) изобарном
?) адиабатном
?) изотермическом
?) изохорном
Вопрос id:709247
Внутренняя энергия идеального одноатомного газа зависит от___ и ___газа
?) массы
?) абсолютной температуры
?) молярной массы
?) запаха
Вопрос id:709248
Внутренняя энергия изолированной системы при отсутствии внешних воздействий
?) равна нулю
?) увеличивается
?) уменьшается
?) сохраняется
Вопрос id:709249
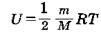
Внутренняя энергия одноатомного газа определяется формулой
?)
?)
?)
?)
Вопрос id:709250
Внутренняя энергия одноатомного идеального газа определяется выражением
?)
?)
?)
?)
Вопрос id:709251
Внутренняя энергия системы может измениться одинаково за счет
?) совершения системой работы
?) передачи окружающим телам какого-либо количества теплоты
?) окрашивания тел системы
?) перемещения тел системы
Вопрос id:709252
Внутренняя энергия тела при увеличении температуры и сохранении объема
?) у газообразных тел увеличивается, у жидких и твердых тел не изменяется
?) у газообразных тел не изменяется, у жидких и твердых тел увеличивается
?) уменьшается
?) увеличивается
Вопрос id:709253
Впервые наблюдал броуновское движение в 1827 английский ученый
?) Кельвин
?) Роберт Броун
?) Клаузиус
?) Больцман
Вопрос id:709254
Газ находится в баллоне объемом 8,31 л при температуре 127 0С и давлении 100 кПа. При этом в газе содержится количество вещества ___ моль
?) 1
?) 2
?) 0,25
?) 0,5
Вопрос id:709255
Газовые ___определяют количественные зависимости между двумя параметрами газа при фиксированном значении третьего параметра
Вопрос id:709256
Газовые законы определяют ___ зависимости между двумя параметрами газа при фиксированном значении третьего параметра
?) количественные
?) качественные
?) вероятностные
?) статистические
Вопрос id:709257
Газы не сохраняют ___ и ___
?) состав
?) цвет
?) объем
?) форму
Вопрос id:709258
Газы отличаются от твердых тел и жидкостей ___
?) твердостью
?) текучестью
?) малой плотностью
?) несжимаемостью
Вопрос id:709259
Градус ___ - 1/100 часть разности температур кипящей воды и тающего льда
Вопрос id:709260
График зависимости давления от абсолютной температуры при постоянном объеме газа является
?) гиперболой
?) прямой линией
?) косинусоидой
?) параболой
Вопрос id:709261
Давление ___– давление пара в состоянии динамического равновесия системы жидкость – пар
Вопрос id:709262
Давление водорода массой 1 г равно Р, Давление 2 г гелия в сосуде той же вместимостью при той же температуре, если считать водород и гелий идеальными газами, будет равно
?) Р/2
?) 4Р
?) 2Р
?) Р
Вопрос id:709263
Давление газа измеряется приборами
?) термометром
?) манометром
?) барометром
?) динамометром
Вопрос id:709264
Давление идеального газа пропорционально двум третям произведения ___ молекул и средней кинетической энергии поступательного движения молекулы
?) квадрата скорости
?) температуры
?) массы
?) концентрации
Вопрос id:709265
Давление насыщенного водяного пара при температуре 40°С приблизительно равно 6·10 Па. Парциальное давление водяного пара в комнате при этой температуре при относительной влажности 50% будет равно ___ Па
?) 1,8 · 103
?) 1,2 · 104
?) 3 · 103
?) 2 · 105
Вопрос id:709266
Давление насыщенного пара зависит только от
?) плотности
?) количества молекул
?) температуры
?) объема
Вопрос id:709267
Движение броуновских частиц является подтверждением ___движения молекул
?) прямолинейного
?) механического
?) теплового
?) вращательного
Вопрос id:709268
Диаметр любого атома приблизительно равен ___ см
?) 10-8
?) 10 –20
?) 10 –5
?) 10 –30
Вопрос id:709269
Для измерения влажности воздуха применяются специальные приборы
?) термометр
?) психрометр
?) гигрометр
?) барометр
Вопрос id:709270
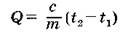
Для нагревания тела массой т от температуры t1 до температуры t2 необходимо передать ему количество теплоты, равное
?)
?)
?)
?)
Вопрос id:709272
Для определения параметров микромира используются методы
?) вероятностный
?) статистический
?) тепловой
?) механический
Вопрос id:709273
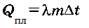
Для превращения жидкости массой m в пар требуется количество теплоты, равное
?)
?)
?)
?)
Вопрос id:709274
Для того чтобы двигатель совершал работу, необходимо иметь ___давлений по обе стороны поршня двигателя или лопастей турбины
?) отсутствие
?) произведение
?) сумму
?) разность
Вопрос id:709275
Для того чтобы расплавить кристаллическое тело массой т, необходимо количество теплоты, равное
?)
?)
?)
?)
Вопрос id:709276
Единица абсолютной температуры называется
?) ньютоном
?) джоулем
?) кельвином
?) томпсоном
Вопрос id:709277
Единица измерения удельной теплоты парообразования
?) Дж/кг
?) Дж*кг
?) Дж/кг*К
?) кг/Дж
Вопрос id:709278
Единицей измерения парциального давления водяного пара являются
?) паскаль
?) миллиметр ртутного столба
?) джоуль
?) ньютон /метр
Вопрос id:709279
Единицей измерения удельной теплоты плавления является
?) кг/Дж
?) Дж · кг
?) Дж/кг·К
?) Дж/кг
Вопрос id:709280
Единицей количества вещества в Международной системе является
?) джоуль
?) миллиграмм
?) грамм
?) моль
Copyright tests.ithead.ru 2013-2026