Тесты онлайн, бесплатный конструктор тестов. Психологические тестирования, тесты на проверку знаний.

Список вопросов базы знаний

Физика (10 класс)

Вопрос id:709281
Если газ сжимается поршнем, то поршень во время столкновений с молекулами газа передает им часть своей ___ энергии, в результате чего газ нагревается
?) потенциальной
?) кинетической
?) внутренней
?) тепловой
Вопрос id:709282
Если для нагревания 5 кг вещества на 20 К необходимо 13 кДж теплоты, то удельная теплоемкость этого вещества равна ___ Дж/(кг · К)
?) 130
?) 3,25
?) 0,13
?) 52
Вопрос id:709283
Если из двух тел одно нагрето слабее, то это тело имеет ___температуру
Вопрос id:709284
Если поток воздуха над сосудом уносит с собой образовавшиеся пары жидкости, то жидкость ___быстрее
?) охлаждается
?) конденсируется
?) испаряется
?) нагревается
Вопрос id:709285
Если при изотермическом сжатии газа от объема V1 = 8 л до объема V2 = 6 л и его давление при этом возросло на , то начальное давление р1 было равно ___ кПа
?) 8
?) 16
?) 24
?) 12
Вопрос id:709286
Если сосуд, в котором происходит нагревание жидкости, закрыт, то чем меньше плотность пара, тем ___число его молекул возвращается в жидкость
Вопрос id:709287
Если сосуд, в котором происходит нагревание жидкости, закрыт, то чем___ плотность пара, тем большее число его молекул возвращается в жидкость
Вопрос id:709288
Если тела находятся в тепловом равновесии, то температура тел
?) высокая
?) средняя
?) разная
?) одинаковая
Вопрос id:709289
Жидкость, находящаяся в сосуде, имеет
?) объем
?) цвет
?) размеры
?) форму
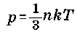
Вопрос id:709290
Зависимость давления газа от концентрации молекул и температуры определяется формулой
?)
?)
?)
?)
Вопрос id:709291
Зависимость давления газа от температуры при постоянном объеме был установлен ученым
?) Шарлем
?) Бойлем
?) Мариоттом
?) Гей-Люссаком
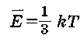
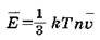
Вопрос id:709292
Зависимость среднего квадрата скорости теплового движения молекул от температуры выражается формулой
?)
?)
?)
?)
Вопрос id:709293
Закон Бойля–Мариотта справедлив для
?) смесей газов
?) любых газов
?) вакуума
?) определенных газов
Вопрос id:709294
Идеальная ___шкала температур использует изменение давления определенного количества разреженного газа при постоянном объеме или изменение объема газа при постоянном давлении
Вопрос id:709295
Идеальную тепловую машину с идеальным газом в качестве рабочего тела придумал ученый
?) дизель
?) эдисон
?) лодыгин
?) карно
Вопрос id:709296
Идеальный газ при любых изменениях его параметров ___
?) испаряется
?) превращается в жидкость
?) конденсируется
?) не превращается в жидкость
Вопрос id:709297
Изменение объема тела происходит при ___тела
?) нагревании
?) покраске
?) механическом сжатии
?) охлаждении
Вопрос id:709298
Изменение температуры тела связано с
?) совершением работы над телом
?) совершением работы телом
?) с изменением цвета тела
?) с теплообменом
Вопрос id:709299
Изобара представляет собой прямо пропорциональную зависимость объема газа от температуры при постоянном давлении и изображается
?) прямой линией
?) косинусоидой
?) параболой
?) гиперболой
Вопрос id:709300
Изобарный закон был установлен экспериментально ученым
?) Эди Мариоттом
?) Робертом Бойлем
?) Гей-Люссаком
?) Людвигом Больцманом
Вопрос id:709301
Изотерма газа представляет обратно пропорциональную зависимость между давлением и объемом и является
?) параболой
?) квадратом
?) гиперболой
?) синусоидой
Вопрос id:709302
Изотермический закон экспериментально был открыт и назван в честь них учеными
?) Эди Мариоттом
?) Кельвином
?) Робертом Бойлем
?) Людвигом Больцманом
Вопрос id:709303
Изотермы реального газа описывают
?) равновесие между газом и жидкостью
?) жидкое состояние
?) твердое состояние
?) состояние газа
Вопрос id:709304
Интенсивность броуновского движния зависит от
?) давления внутри жидкости
?) температуры жидкости
?) атмосферного давления
?) влажности воздуха
Вопрос id:709305
К аморфным телам относятся
?) пластелин
?) смола
?) стекло
?) поваренная соль
Вопрос id:709306
К горючим природным веществам относятся
?) нефть
?) вода
?) уголь
?) метан
Вопрос id:709307
К макроскопическим телам относятся физические тела
?) камень
?) электрон
?) тело человека
?) песчинка
Вопрос id:709308
К макроскопическим характеристикам тела относятся
?) температура
?) количество вещества
?) давление
?) объем
Вопрос id:709310
К типичным необратимым процессам относятся
?) течение реки
?) переход механической энергии во внутреннюю энергию тела
?) перемещние тела из точки А в точку В
?) переход теплоты от горячего тела к холодному
Вопрос id:709311
Когда расстояние между молекулами становится равным___ радиусам молекул, равнодействующая сил притяжения и отталкивания равна нулю
?) пяти
?) трем
?) четырем
?) двум
Вопрос id:709312
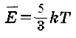
Количество ___- энергия, которую тело получает или отдает в процессе теплообмена
Вопрос id:709313
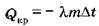
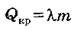
Количество теплоты, выделяемое при кристаллизации тела, равно
?)
?)
?)
?)
Вопрос id:709314
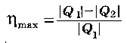
Коэффициент полезного действия тепловой машины
?) больше 100%
?) меньше 100%
?) равен 100%
?) равен 0
Вопрос id:709315
Макроскопические тела могут совершать движения
?) криволинйное
?) вращенательное
?) прямолинейное
?) тепловое
Вопрос id:709316
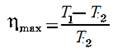
Максимальный коэффициент полезного действия тепловой машины Карно зависит от
?) конструкции узлов
?) рабочего тела
?) температуры холодильника
?) температуры нагревателя
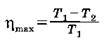
Вопрос id:709317
Максимальный коэффициент полезного действия тепловой машины Карно равен
?)
?)
?)
?)
Вопрос id:709318
Между телами, которые имеют различную температуру, при контакте происходит
?) теплообмен
?) нарушение равновесия
?) выравнивание температуры
?) деформация
Вопрос id:709320
Межмолекулярное взаимодействие определяется электрически нейтральными ___ и ___
?) молекулами
?) атомами
?) нейтронами
?) фотонами
Вопрос id:709321
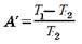
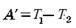
Механическая работа, совершаемая двигателем, равна
?)
?)
?)
?)
Вопрос id:709322
Мир, состоящий из крупных тел, называется
Вопрос id:709323
Мир, состоящий из мельчайших частиц, называется
Вопрос id:709324
Многочисленные удары молекул о стенки сосуда определяют ___ газа
?) массу
?) давление
?) температуру
?) плотность
Вопрос id:709325
Молекулярно-кинетическая теория на основе представлений о том, что все тела состоят из отдельных, беспорядочно движущихся частиц, объясняет:
?) механическое движение
?) распространение зкука
?) тепловые процессы
?) свойства макроскопических тел
Вопрос id:709326
Монокристалл отличается от аморфного тела
?) электропроводностью
?) прозрачностью
?) анизотропностью
?) прочностью
Вопрос id:709327
Наименьшая упорядочность в расположении частиц характерна для
?) жидкостей
?) кристаллических тел
?) газов
?) аморфных тел
Вопрос id:709328
Насыщенный пар при заданной температуре имеет свойства
?) максимальную плотность
?) белый цвет
?) малую сжимаемость
?) максимальное давление
Вопрос id:709329
Некоторое вещество массой m и молярной массой М содержит N молекул. Количество вещества равно
?) М · m/M
?) M
?) M/m
?) N/ М
Вопрос id:709330
Неон количеством вещества 4 моли находится в сосуде при температуре Т. Если неон и аргон считать идеальными газами, то температура 1 моля аргона в сосуде той же вместимости и при том же давлении будет равна
?) 2Т
?) Т/2
?) 8Т
?) 4Т
Вопрос id:709331
Объем молекулы кислорода равен примерно ___ м3
?) 10 –20
?) 10 –30
?) 10–8
?) 10 –5
Вопрос id:709332
Одними из подтверждений положения молекулярно-кинетической теории строения вещества о том, что частицы хаотически движутся, могут служить
?) возможность испарения жидкости при любой температуре
?) зависимость давления столба жидкости от глубины
?) смешивание жидкостей
?) выталкивание из жидкости погруженных в нее тел
Copyright tests.ithead.ru 2013-2026