Тесты онлайн, бесплатный конструктор тестов. Психологические тестирования, тесты на проверку знаний.

Список вопросов базы знаний

Физика (10 класс)

Вопрос id:709996
Чем меньше расстояние между обкладками плоского конденсатора, тем ___ его электроемкость
Вопрос id:709997
Чем меньше сила тока в замкнутой электрической цепи, тем ___ работа сторонних сил источника тока
Вопрос id:709998
Чем меньше сила тока в проводнике, тем ___ количества тепла выделяется за время прохождения тока
Вопрос id:709999
Чем меньше сила тока на участке цепи, тем ___работу совершает электрический ток
Вопрос id:710000
Чем меньше сила тока, протекающего через электролит, тем ___ масса вещества, выделившегося на электроде за определенный период времени
Вопрос id:710001
Чем меньше скорость направленного движения заряженных частиц в проводнике, тем ___ сила тока
Вопрос id:710002
Чем меньше сопротивление участка электрической цепи, тем___ сила тока на этом участке
Вопрос id:710003
Чем меньше спротивление проводника, тем ___ количества тепла выделяется в этом проводнике за время прохождения тока
Вопрос id:710004
Чем меньше удельное сопротивление проводника, тем ___ его сопротивление
Вопрос id:710005
Чем меньше ЭДС источника тока, тем ___ток течет в электричесой цепи
Вопрос id:710006
Чем___ напряжение на концах участка цепи, тем большую работу совершает электрический ток
Вопрос id:710007
Чем___ удельное сопротивление проводника, тем больше его сопротивление
Вопрос id:710008
Чем___ площадь поперечного сечения проводника, тем меньше его электическое сопротивление
Вопрос id:710009
Чем___ длина проводника, тем больше его электическое сопротивление
Вопрос id:710010
Чем___ радиус уединенного проводящего шара, тем больше его электроемкость
Вопрос id:710011
ЭДС источника тока – это___
?) модуль сторонней силы, действующей на электрические заряды в источнике тока
?) отношение работы электростатической силы к заряду, перемещаемому внутри источника тока
?) работа сторонней силы, действующей на электрические заряды в источнике тока
?) отношение работы сторонней силы к заряду, перемещаемому внутри источника тока
Вопрос id:710012
Электризация тела может осуществляться при помощи
?) разрушения
?) влияния заряженных тел
?) освещения светом
?) трения
Вопрос id:710013
Электрическая цепь состои из источника электрического тоа и электрической лампы. Для определения электрического сопротивления лампы амперметр и вольтметр необходимо подключить следующим образом: амперметр
?) последовательно с лампой, вольтметр-параллельно лампе
?) и вольтметр параллельно лампе
?) и вольтметр последовательно с лампой
?) параллельно лампе, вольтметр-последовательно с лампой
Вопрос id:710014
Электрическая цепь состоит из источника тока с ЭДС, равной 6 В, и внутренним сопротивлением 1 Ом. Источник тока замкнут на сопротивление R. Сила тока в цепи равна 2 А. Величина сопротивления R внешней цепи равна ___ Ом
?) 1
?) 2
?) 0,5
?) 4
Вопрос id:710015
Электрическая цепь, в которую включены база и коллектор транзистора, называется цепью___
Вопрос id:710016
Электрическая цепь, в которую включены эмиттер и база транзистора, называется цепью
Вопрос id:710017
Электрическая энергия конденсатора превращается в другие формы энергии
?) механическую
?) световую
?) ядерную
?) тепловую
Вопрос id:710018
Электрический ___ – свойство тел или частиц действовать друг на друга силами, которые убывают с увеличением расстояния
Вопрос id:710019
Электрический ___представляет собой два проводника, разделенные слоем диэлектрика, толщина которого мала по сравнению с размерами проводников
Вопрос id:710020
Электрический заряд q на расстоянии R от точечного электрического заряда Q обладает потенциальной энергией W. Электрический заряд 2q на расстоянии 3R от заряда Q будет обладать потенциальной энергией, равной ___ W
?) 2/3
?) 6
?) 18
?) 1/6
Вопрос id:710021
Электрический ток возникает при упорядоченном перемещении ___
?) отрицательных ионов
?) положительных ионов
?) свободных электронов
?) нейтронов
Вопрос id:710022
Электрический ток проводят___
?) газообразные тела
?) жидкие тела
?) эфир
?) твердые тела
Вопрос id:710023
Электрическим током можно называть явление
?) полета молекулы водорода между двумя заряженными шариками
?) движения молоточка в электрическом звонке перед ударом о звонковую чашу
?) поворота стрелки компаса на север при ориентировании на местности
?) разряда молнии во время грозы
Вопрос id:710024
Электрическими силами связаны между собой ___ частицы
?) положительно заряженные
?) отрицательно заряженные
?) положительно и отрицательно заряженные
?) нейтральные
Вопрос id:710025
Электрическое ___– это разность потенциалов между точками электрического поля
Вопрос id:710026
Электрическое поле между параллельными разноименно заряженными металлическими пластинами в воздухе обладает энергией W. Поле между этими пластинами после заполнения пространства между ними диэлектриком с диэлектрической проницаемостью, равной 4, будет обладать энергией___ W
?) 1/4
?) 1
?) 2
?) 1/2
Вопрос id:710027
Электрическое поле обладает свойствами
?) эмоциональность
?) бесконечность
?) потенциальность
?) непрерывность
Вопрос id:710028
Электрическое поле обладает___ скоростью распространения электромагнитных взаимодействий
?) нулевой
?) бесконечной
?) конечной
?) мнимой
Вопрос id:710029
Электрическое поле, сосредоточенное внутри конденсатора
?) однородное
?) мнимое
?) переменное
?) имеет эквипотенцмальные поверхности
Вопрос id:710030
Электрическое сопротивление медной провлоки 8 Ом. После того, как проволоку потянули за концы и ее длина увеличилась вдвое, сопротивление проволоки стало равным ___ Ом
?) 32
?) 16
?) 8
?) 64
Вопрос id:710031
Электрическое сопротивление медной провлоки 8 Ом. После того, как проволоку сложили вдвое, сопротивление проволоки стало равным ___ Дж
?) 2
?) 8
?) 32
?) 16
Вопрос id:710032
Электричская цепь может быть выполнена в виде ___соединения проводников
?) параллельного
?) последовательного
?) смешанного
?) виртуального
Вопрос id:710033
Электроемкость плоского конденсатора при наличии диэлектрика ___
?) уменьшается в два раза
?) не изменяется
?) увеличивается
?) уменьшается
Вопрос id:710035
Электроемкость плоского конденсатора увеличивается при___
?) введении диэлектрика между обкладками
?) уменьшении расстояния между обкладками
?) изменении материала обкладок
?) увеличении площади обкладок
Вопрос id:710036
Электроемкость системы проводников не зависит от
?) цвета проводников
?) возникающего на проводниках напряжения
?) сообщенных проводникам зарядов,
?) вещества проводников
Вопрос id:710037
Электромагнитными взаимодействиями определяются___веществ
?) цвет
?) вкус
?) структура молекул
?) строение электронных оболочек атомов
Вопрос id:710038
Электрон перемещается под действием сил электрического поля из точки с меньшим потенциалом в точку с большим потенциалом, его скорость при этом
?) убывает
?) не изменяется
?) зависит от направления начальной скорости
?) возрастает
Вопрос id:710039
Электроскоп был заряжен положительным зарядом +q. При постепенном приближении к нему стержня из диэлектрика листочки электроскопа сначала опускаются, затем при дальнейшем приближении вновь поднимаются. При этом диэлектрический стержень обладает зарядом Q
?) Q = 0
?) отрицательным зарядом, \Q\ > \q\.
?) отрицательным зарядом, |Q| < \q\.
?) положительным зарядом, |Q| > \q\.
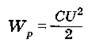
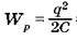
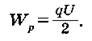
Вопрос id:710040
Энергия электрического поля конденсатора определяется формулой
?)
?)
?)
?)
Вопрос id:710041
– это частично или полностью ионизованный газ, в котором плотности положительных и отрицательных зарядов практически совпадают
Вопрос id:710042

Верны ли утверждения?

А) Внутри кристаллической решетки металлического тела перемещаются свободные электроны

В) При протекании тока через металл переноса вещества не происходит

?) А- нет, В- нет
?) А- да, В- да
?) А-да, В-нет
?) А- нет, В- да
Вопрос id:710043

Верны ли утверждения?

А) Мерой способности веществ проводить электрический ток является электрическая проводимость

В) Проводимость – величина, обратная электрическому сопротивлению

?) А- нет, В- нет
?) А- нет, В- да
?) А-да, В-нет
?) А- да, В- да
Вопрос id:710044

Верны ли утверждения?

А) Металлы имеют кристаллическую решетку, в узлах которой находятся положительные ионы

В) Внешнее поле влияет на концентрацию носителей электронов в металлическом проводнике

?) А- да, В- да
?) А-да, В-нет
?) А- нет, В- да
?) А- нет, В- нет
Вопрос id:710045

Верны ли утверждения?

А) Общие электроны и связывают между собой атомы германия или кремния, образуя ковалентные связи

В) При абсолютном нуле чистый полупроводник обладал бы свойствами идеального изолятора

?) А- да, В- да
?) А-да, В-нет
?) А- нет, В- нет
?) А- нет, В- да
Вопрос id:710046

Верны ли утверждения?

А) Общий ток в полупроводнике равен сумме дырочного и электронного токов

В) Примеси в полупроводниках бывают двух типов – донорные и акцепторные

?) А- нет, В- да
?) А- да, В- да
?) А- нет, В- нет
?) А-да, В-нет
Copyright tests.ithead.ru 2013-2026