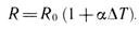
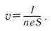
Список вопросов базы знанийФизика (10 класс)
Вопрос id:710047 Верны ли утверждения? А) Полупроводниками являются химическими элементами IV группы таблицы Д.И.Менделеева В) Полупроводники – это вещества, которые по своему удельному сопротивлению занимают промежуточное положение между проводниками и диэлектриками ?) А-да, В-нет ?) А- нет, В- да ?) А- нет, В- нет ?) А- да, В- да Вопрос id:710048 Верны ли утверждения? А) Примеси, поставляющие электроны проводимости без возникновения такого же числа дырок, называются донорными В) В полупроводниковом кристалле, содержащем донорные примеси, электроны являются неосновными носителями ?) А- нет, В- да ?) А- да, В- да ?) А-да, В-нет ?) А- нет, В- нет Вопрос id:710049 Верны ли утверждения? А) Проводниками называют вещества, через которые электрические заряды могут переходить от заряженного тела к незаряженному телу В) В состав электрических линий передач входят проводники, направляющие электрическую энергию к определенным потребителям ?) А-да, В-нет ?) А- да, В- да ?) А- нет, В- да ?) А- нет, В- нет Вопрос id:710050 Верны ли утверждения? А) Температура, при которой ряд веществ переходит в сверхпроводящее состояние, называется критической В) Сильное магнитное поле разрушает сверхпроводящее состояние ?) А- нет, В- нет ?) А- да, В- да ?) А-да, В-нет ?) А- нет, В- да Вопрос id:710051 Верны ли утверждения? А) Температурный коэффициент сопротивления α равен относительному изменению удельного сопротивления проводника при его нагревании на 1 К В) Температурные коэффициенты сопротивления чистых металлов сравнительно мало отличаются друг от друга и примерно равны 0,004 К-1 ?) А- нет, В- да ?) А-да, В-нет ?) А- нет, В- нет ?) А- да, В- да Вопрос id:710052 Верны ли утверждения? А) Ток, возникающий в сверхпроводнике, может сохраняться неограниченно долго В) Существует высокотемпературная сверхпроводимость ?) А- нет, В- да ?) А- нет, В- нет ?) А- да, В- да ?) А-да, В-нет Вопрос id:710053 Верны ли утверждения? А) Электроны, покинувшие атомы полупроводника, называют электронами проводимости В) «Дырками» называются пустые места, Образовавшиеся при разрыве электронных связей в полупроводниках ?) А- нет, В- нет ?) А-да, В-нет ?) А- да, В- да ?) А- нет, В- да Вопрос id:710054 Верны ли утверждения? А) Электропроводность чистых (без примесей) полупроводников называют собственной проводимостью В) Движение электронов и дырок под действием электрического поля происходит в противоположных направлениях ?) А- да, В- да ?) А- нет, В- да ?) А- нет, В- нет ?) А-да, В-нет Вопрос id:710055 Верны ли утверждения? А) Явление полной потери металлом электрического сопротивления при определенной температуре называется сверхпроводимостью В) В сверхпроводящей обмотке теплота не выделяется ?) А- нет, В- да ?) А- нет, В- нет ?) А-да, В-нет ?) А- да, В- да Вопрос id:710056 Зависимость сопротивления от температуры для металлического проводника выражается формулой___ ?) ?) ?) ?) Вопрос id:710057 В полупроводниковом кристалле, содержащем донорные примеси, электроны являются ___носителями ?) простыми ?) собственными ?) неосновными ?) основными Вопрос id:710058 Внешняя электронная оболочка атомов германия и кремния состоит из ___ электронов, обращающихся вокруг ядра ?) шести ?) четырех ?) трех ?) пяти Вопрос id:710059 Вольт-амперная характеристика металлического проводника___ ?) прямая линия ?) ломаная линия ?) окружность ?) нелинейна Вопрос id:710060 К диэлектрикам относятся материалы ?) резина ?) фарфор ?) железо ?) никель Вопрос id:710061 К заряженным частицам, которые переносят электрические заряды, относятся:___ ?) свободные электоны ?) положительные ионы ?) нейтроны ?) отрицательные ионы Вопрос id:710062 К полупроводниковыми материалами являются монокристаллы ___ ?) германия ?) фосфора ?) серы ?) кремния Вопрос id:710063 К проводникам электричества относятся:___ ?) резина ?) растворы солей ?) металлы ?) пластмассы Вопрос id:710064 Мерой способности веществ проводить электрический ток является ___ ?) электрический ток ?) электрическое сопротивление ?) электрическое напряжение ?) электрическая проводимость Вопрос id:710065 На электропроводность полупроводников оказывают влияние ___ ?) рентгеновские лучи ?) гравитационное поле ?) электрическое поле ?) магнитное поле Вопрос id:710066 Непроводники электричества называются:___ ?) резисторами ?) кондесаторами ?) изоляторами ?) диэлектриками Вопрос id:710067 Носителями электрических зарядов в жидких проводниках являются: ___ ?) отрицательные ионы ?) свободные электроны ?) позитроны ?) положительные ионы Вопрос id:710068 Носителями электрических зарядов в ионизированных газах являются:___ ?) свободные электроны ?) положительные ионы ?) нейтроны ?) отрицательные Вопрос id:710069 Носителями электрических зарядов в металлических проводниках являются ___ ?) нейтроны ?) отрицательные ионы ?) положительные ионы ?) свободные электроны Вопрос id:710070 Полупроводниковые диоды изготавливают из других веществ ?) кремния ?) слюды ?) форфора ?) германия Вопрос id:710071 При нагревании сопротивление электролита___ ?) не изменяется ?) равно нулю ?) уменьшается ?) увеличивается Вопрос id:710072 При увеличении температуры проводимость полупроводников: ___ ?) равна нулю ?) уменьшается ?) увеличивается ?) не изменяется Вопрос id:710073 При увеличении температуры сопротивление металлов ___ ?) не изменяется ?) увеличивается ?) уменьшается ?) равно нулю Вопрос id:710074 Процесс заполнение дырок электронами называется ___ ?) интерференцией ?) рекомбинацией ?) релаксацией ?) генерацией Вопрос id:710075 Процесс разрыва парноэлектронных связей называется ___электронов и дырок ?) генерацией ?) дифракцией ?) релаксацией ?) рекомбинацией Вопрос id:710076 Свободные электроны, которые переносят электрический заряд, одинаковы в:___ ?) алюминии ?) меди ?) парафине ?) слюде Вопрос id:710077 Способность полупроводникового p-n-перехода пропускать ток в одном направлении используется в полупроводниковых___ ?) транзисторах ?) конденсаторах ?) термисторах ?) диодах Вопрос id:710078 Существует сверхпроводимость ___ ?) плазменная ?) металлическая ?) высокотемпературная ?) низкотемпературная Вопрос id:710079 Существуют полупроводники с: ___проводимостью ?) собственной ?) дырочной ?) электронной ?) ионной Вопрос id:710080 Удельное сопротивление металлов зависеть от: ___ ?) гибкости ?) рода материала ?) прочности ?) температуры Вопрос id:710081 Формула для определения скорости электронов в металле имеет вид ?) ?) ?) ?) Вопрос id:710082 Верны ли утверждения? А) Емкость конденсатора – физическая величина С, равная отношению заряда q , накопленного на обкладках, к разности потенциалов между обкладками В) Между обкладками конденсатора сосредоточено электрическое поле ?) А - нет, В - нет ?) А - нет, В - да ?) А - да, В - да ?) А - да, В - нет Вопрос id:710083 Верны ли утверждения? А) Если плоский конденсатор подключить к источнику тока, а затем увеличить расстояние между пластинами, то электроемкость конденсатора уменьшится В) Если плоский конденсатор подключить к источнику тока, а затем увеличить расстояние между пластинами, то энергия конденсатора уменьшится ?) А - нет, В - нет ?) А - да, В - да ?) А - нет, В - да ?) А - да, В - нет Вопрос id:710084 Верны ли утверждения? А) Заряженный плоский конденсатор имеет внутри между обкладками неоднородное электрическое поле В) Для того чтобы зарядить конденсатор, нужно совершить работу по разделению положительных и отрицательных зарядов ?) А - нет, В - нет ?) А - да, В - да ?) А - нет, В - да ?) А - да, В - нет Вопрос id:710085 Верны ли утверждения? А) При последовательном соединении конденсаторов складываются величины, обратные емкостям В) При параллельном соединении конденсаторов общая емкость батареи равна сумме емкостей соединенных конденсаторов ?) А - да, В - да ?) А - да, В - нет ?) А - нет, В - нет ?) А - нет, В - да Вопрос id:710086 Верны ли утверждения? А) При электризации двух проводников один из них приобретает положительный заряд, а другой отрицательный заряд В) Напряжение между двумя проводниками пропорционально электрическим зарядам, которые находятся на проводниках ?) А - нет, В - нет ?) А - да, В - нет ?) А - нет, В - да ?) А - да, В - да Вопрос id:710087 Верны ли утверждения? А) Разделение заряда происходит в результате совершения работы, которая равна электрической энергии конденсатора В) При разряде электрическая энергия конденсатора превращается в другие формы энергии ?) А - нет, В - да ?) А - нет, В - нет ?) А - да, В - нет ?) А - да, В - да Вопрос id:710088 Верны ли утверждения? А) Фарад – электроемкость уединенного проводника, численно равная величине заряда, который необходимо сообщить данному проводнику для увеличения его потенциала на единицу В) Электроемкость проводника равна отношению заряда, размещенного на проводнике, к сопротивлению проводника ?) А - да, В - да ?) А - да, В - нет ?) А - нет, В - да ?) А - нет, В - нет Вопрос id:710089 Верны ли утверждения? А) Электрическая емкость конденсатора обратно пропорциональна относительной диэлектрической проницаемости диэлектрика, разделяющего его пластины В) Емкость плоского конденсатора зависит от его геометрических размеров и диэлектрика между обкладками ?) А - нет, В - да ?) А - да, В - да ?) А - нет, В - нет ?) А - да, В - нет Вопрос id:710090 Верны ли утверждения? А) Электрическая емкость конденсатора прямо пропорциональна относительной диэлектрической проницаемости диэлектрика, разделяющего его пластины В) Относительная диэлектрическая постоянная ε показывает, во сколько раз увеличивается емкость конденсатора при внесении диэлектрика между обкладками ?) А - нет, В - нет ?) А - да, В - да ?) А - да, В - нет ?) А - нет, В - да Вопрос id:710091 Верны ли утверждения? А) Электроемкость уединенного металлического шара прямо пропорциональна его радиусу В) Для уединенного проводника заряд равен произведению электроемкости проводника на его потенциал ?) А - нет, В - нет ?) А - да, В - да ?) А - да, В - нет ?) А - нет, В - да Вопрос id:710092 Верны ли утверждения? А) Электроемкость – физическая величина равная отношению заряда q уединенного проводника к его потенциалу j В) Электроемкость проводника зависит от его размеров и формы ?) А - да, В - да ?) А - да, В - нет ?) А - нет, В - да ?) А - нет, В - нет Вопрос id:710093 Верны ли утверждения? А) Электроемкостью двух проводников называют отношение заряда одного из проводников к разности потенциалов между этим проводником и соседним В) Электроемкость двух проводников равна единице, если при сообщении им зарядов +1 Кл и – 1 Кл между ними возникает разность потенциалов 1 В ?) А - нет, В - да ?) А - да, В - нет ?) А - нет, В - нет ?) А - да, В - да Вопрос id:710094 Зависимость электроемкости плоского конденсатора от расстояния между пластинами показана на рисунке ___
?) 3 ?) 1 ?) 4 ?) 2 Вопрос id:710095 В конструкцию конденсатора входят ?) контакты ?) шкала ?) диэлектрик ?) обкладки Вопрос id:710096 Два одинаковых конденсатора электроемкостью С соединены параллельно. Общая электроемкость полученного соединения равна ___ ?) С ?) С2 ?) 2С ?) С/2 |
