Тесты онлайн, бесплатный конструктор тестов. Психологические тестирования, тесты на проверку знаний.

Список вопросов базы знаний

Физика (10 класс)

Вопрос id:709844
Минимальное количество электричества (абсолютное значение), переносимое электрическим током через проводящую среду, может быть
?) равно заряду ядра атома
?) любое сколь угодно малое
?) равно заряду электрона
?) определено временем пропускания тока
Вопрос id:709845
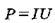
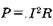
Мощность электрического тока определяется___
?)
?)
?)
?)
Вопрос id:709846
На электрической розетке написано: «16 А, 250 В». Максимальная допустимая мощность электроприборов, которые можно включать в такую розетку, равна ___ Вт
?) 1500
?) 4000
?) 0,064
?) 15,6
Вопрос id:709847
Напряжение на обкладках конденсатора 100 В. При полной разрядке конденсатора через резистор в цепи прошел электрический заряд 0,1 Кл. Электроемкость конденсатора и количество энергии, которое выделилось на резисторе, равны ___ Дж
?) 10–3 Ф, 5
?) 10–3 Ф, 10
?) 10 Ф, 5
?) 10 Ф, 10
Вопрос id:709848
Напряженность электрического поля небольшого заряженного шара в вакууме на расстоянии 18 см от центра шара равна напряженности электрического поля того же шара в воде с диэлектрической проницаемостью 81 в точке, находящейся на расстоянии___ см от шара
?) 18
?) 9
?) 20
?) 2
Вопрос id:709849
Незаряженная проводящая сфера радиусом R = 20 см находится в поле точечного заряда q = 10–8 Кл, расположенного на расстоянии r = 50 см от центра сферы. Потенциал поля в центре сферы равен ___ В
?) 180
?) 450
?) 18
?) 630
Вопрос id:709850
Нейтральным является атом любого вещества, так как число электронов в нем___ протонов в ядре
?) меньше числа
?) равно числу
?) в два раза больше числа
?) больше числа
Вопрос id:709852
Один электрический нагреватель при подключении источнику с напряжением U выдкляе количество теплоты Q 12 минут. Если два таких же нагревателя, подключить параллельно источнику с тем же напряжением, то количество теплоты Q выделится за время___ мин
?) 3
?) 24
?) 6
?) 12
Вопрос id:709853
Основной элемент телевизора и осциллографа – прибора для исследования быстропеременных процессов в электрических цепях - называется электронно-___ трубкой
Вопрос id:709854
Относительное изменение удельного сопротивления проводника при его нагревании на 1 К: показывает___ коэффициент сопротивления α
Вопрос id:709855
Отношение сил тока в двух параллельно соединенных резисторах с различным сопротивлением
?) обратно пропорционально отношению их сопротивлений
?) равно 1
?) зависит от силы тока на участке перед этими резисторами
?) пропорционально отношению их сопротивлений
Вопрос id:709856
Перенос заряда в водных растворах или расплавах электролитов положительными и отрицательными ионами, называется___ проводимостью
Вопрос id:709857
Плавкий___ – устройство, в котором тонкий проводник плавится при определенной силе тока и размыкает электрическую цепь
Вопрос id:709858
Плазма называется___-состоянием вещества
?) вторым
?) третьим
?) пятым
?) четвертым
Вопрос id:709859
Пластмассовая линейка при трении о шерсть заряжается отрицательно. Это объясняется тем, что.
?) протоны переходят с шерсти на линейку
?) электроны переходят с шерсти на линейку
?) протоны переходят с линейки на шерсть
?) электроны переходят с линейки на шерсть
Вопрос id:709860
Плоский воздушный конденсатор зарядили и отключили от источника тока. Как изменится энергия электрического поля внутри конденсатора, если расстояние между пластинами конденсатора уменьшить в 3 раза
?) увеличится в 3 раза
?) увеличится в 9 раз
?) уменьшится в 9 раз
?) уменьшится в 3 раза
Вопрос id:709861
Пограничная область полупроводников с различным типом проводимости называется p-n___-
Вопрос id:709862
Положительный электрический заряд 2 ∙ 10 –5 Кл перемещают в электростатическом поле из точки с потенциалом 100 В в точку с потенциалом 400 В. Работа поля по перемещению заряда равна ___ Дж
?) 6 ∙ 10 –3
?) 8 ∙ 10 –3
?) 2 ∙ 10 –3
?) –6 ∙ 10 –3
Вопрос id:709863
Полупроводники ___ -типа– полупроводниковые кристаллы, в которых электроны являются основными носителями заряда, а «дырки» - неосновным
?) p
?) m
?) r
?) n
Вопрос id:709864
Полупроводники, в которых концентрация «дырок» превышает концентрацию электронов проводимости, называются
Вопрос id:709865
Полупроводниковый прибор, содержащий р – n-переход, который является главной частью полупроводникового выпрямителя, называется___
Вопрос id:709866
При ___температуры сопротивление металлического проводника увеличивается
Вопрос id:709867
При включении транзистора в электрическую цепь переход «эмиттер-база» включают в ___ направлении, а переход «коллектор-база» - в обратном направлении
Вопрос id:709868
При внешнем сопротивлении цепи, равном внутреннему сопротивлению источника, сила тока равна I. Если внешнее сопротивление цепи увеличить в 2 раза, то сила тока
?) уменьшится в 1,5 раза
?) не изменится
?) увеличится в 2 раза
?) уменьшится в 2 раза
Вопрос id:709869
При нагревании на несколько градусов сопротивление полупроводника без примесей уменьшилось в 100 раз. Это объясняется тем, что примерно в
?) 100 раз увеличилась скорость направленного движения свободных носителей заряда
?) 10 раз увеличились и концентрация свободных носителей заряда, и скорость их направленного движения
?) 1000 раз увеличилась концентрация свободных носителей и в 10 раз уменьшилась скорость их направленного движения
?) 100 раз увеличилась концентрация свободных носителей заряда
Вопрос id:709870
При напряжении 12 В через нить электрической лампы течет ток 2 А. За 5 мину нить лампы выделит количество тепла, равное ___ Дж
?) 3600
?) 120
?) 60
?) 7200
Вопрос id:709871
При напряжении 2 В сила тока, идущего через металлический проводник длиной 2 м, равна 1 А, сила тока через такой же проводник длиной 1 м при напряжении на нем 4 В будет равна ___ А
?) 2
?) 0,5
?) 4
?) 1
Вопрос id:709872
При подключении к источнику тока резистора с электрическим сопротивлением 2 Ом сила тока в цепи была равна 2 А, при подключении к источнику тока резистора с электрическим сопротивлением 1 Ом сила тока в цепи равна 3 А. Внутреннее сопротивление источника тока равно ___ Ом
?) 0,5
?) 2,5
?) 1
?) 1,5
Вопрос id:709873
При пропускании постоянного тока через электролит за 10 с положительные ионы передали катоду положительный заряд 5 Кл и отрицательные ионы передали аноду отрицательный заряд 5 Кл. При этом сила тока в цепи была равна ___ А
?) 100
?) 50
?) 0,5
?) 1
Вопрос id:709874
При силе тока в электрической цепи 0,6 А сопротивление равно 5 Ом. Мощность электрического тока, выделяющаяся на нити лампы, равна ___ Вт
?) 0,06
?) 1,8
?) 15
?) 3
Вопрос id:709875
При увеличении разности потенциалов между точками в 3 раза абсолютная величина работы электрического поля по перемещению электрона из одной точки поля в другую___
?) уменьшится в 3 раза
?) не изменится
?) увеличится в 3 раза
?) уменьшится в 9 раз
Вопрос id:709876
При увеличении температуры степень диссоциации электролита ___
?) убывает в два раза
?) возрастает
?) не изменяется
?) убывает
Вопрос id:709877
При увеличении температуры удельное сопротивление растворов электролитов ___
?) увеличивается
?) увеличивается в несколько раз
?) уменьшается
?) не изменяется
Вопрос id:709878
При уменьшении напряжения на контактах полупроводника сила тока через прямой переход ___
Вопрос id:709879
При электризации тел выполняется закон___
?) Ома
?) Ньютона
?) Паскаля
?) сохранения электрического заряда
Вопрос id:709880
При электризации трением оба тела приобретают заряды ___
?) отрицательные
?) противоположные по знаку
?) положительные
?) одинаковые по модулю.
Вопрос id:709881
При электролитической диссоциации доля в растворенном веществе молекул, распавшихся на ионы, характеризует___ диссоциации
Вопрос id:709882
При___ напряжения на контактах полупроводника сила тока через прямой переход возрастает
Вопрос id:709883
Примером электрического тока не является
?) распространение электромагнитной волны в вакууме
?) движение электронов в кинескопе телевизора
?) «стекание» заряда с острия заряженного тел
?) разряд молнии между тучами и землей
Вопрос id:709884
Примеси, которые захватывают электроны и создают тем самым подвижные «дырки», не увеличивая числа электронов проводимости, называются
Вопрос id:709885
Примеси, поставляющие электроны проводимости без возникновения равного им количества «дырок», называются
Вопрос id:709886
Проводимость полупроводников, обусловленная наличием примесей, называется___
Вопрос id:709887
Проводимость полупроводников, обусловленная наличием у них свободных электронов, называется___проводимостью
Вопрос id:709888
Проводимость чистых полупроводников, которая осуществляется перемещением свободных электронов (электронная проводимость) и перемещением связанных электронов на вакантные места (дырочная проводимость), называется ___ проводимостью
Вопрос id:709889
Произведение силы тока и сопротивления участка цепи называется разностью___
Вопрос id:709890
Процесс протекания электрического тока через газ называется газовым___
Вопрос id:709891
Пылинка, заряженная отрицательно, в начальный момент времени покоится в однородном электрическом поле, напряженность которого направлена слева направо. Если силой тяжести пренебречь, то пылинка начнет двигаться
?) влево равноускоренно
?) вправо равноускоренно
?) вправо равномерно
?) влево равномерно
Вопрос id:709892
Работа по разделению ___ зарядов равна электрической энергии плоского конденсатора
?) пороховых
?) положительных и отрицательных
?) положительных
?) отрицательных
Вопрос id:709893
Работа электрического поля по перемещению заряда на участке цепи тем меньше, чем ___ напряжение на этом участке
Вопрос id:709894
Работа электрического поля по перемещению заряда на участке цепи тем___, чем больше напряжение на этом участке
Copyright tests.ithead.ru 2013-2026