Тесты онлайн, бесплатный конструктор тестов. Психологические тестирования, тесты на проверку знаний.

Список вопросов базы знаний

Физика (10 класс)

Вопрос id:709386
Силы притяжения и отталкивания, действующие между молекулами вещества, называются
Вопрос id:709387
Силы, действующие между электрически нейтральными молекулами, являются ___ и ___
?) нецентральными
?) кулоновскими
?) центральными
?) короткодействующими
Вопрос id:709388
Скорости молекул удалось измерить в опытах, проводимых ученым
?) Перреном
?) Томпсоном
?) Клаузиусом
?) Штерном
Вопрос id:709389
Скорость испарения жидкости определяется ее
?) сжимаемостью
?) текучестью
?) летучестью
?) прозрачностью
Вопрос id:709390
Скорость испарения зависит от ___ и___ жидкости
?) запаха
?) температуры
?) цвета
?) площади свободной поверхности
Вопрос id:709391
Смесь газов образуется путем их
?) отвердевания
?) нагрева
?) охлаждения
?) диффузии
Вопрос id:709392
Состояние пара в состоянии динамического равновесия системы жидкость пар характеризуется ___
?) температурой
?) цветом
?) плотностью
?) давлением насыщенного пара
Вопрос id:709393
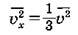
Средний квадрат проекции скорости молекул равен
?)
?)
?)
?)
Вопрос id:709394
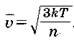
Средняя квадратичная скорость молекул равна
?)
?)
?)
?)
Вопрос id:709395
Средняя кинетическая энергия молекулы зависит от
?) массы
?) среднего значения квадрата скорости
?) квадрата скорости
?) среднего значения скорости
Вопрос id:709396
Средняя кинетическая энергия хаотичного поступательного движения молекул газа пропорциональна
?) концентрации молекул
?) давлению
?) абсолютной температуре
?) плотности
Вопрос id:709397
Степень нагрева тела характеризуется___
?) температурой
?) количеством вещества
?) количеством молекул
?) давлением
Вопрос id:709398
Так как плавление происходит при постоянной температуре, то ___энергия молекул не меняется
?) потенциальная
?) химическая
?) электрическая
?) кинетическая
Вопрос id:709399
Так как при испарении жидкость покидают самые быстрые молекулы, то уменьшается___ и ___ молекул, оставшихся в жидкости
?) размер
?) средняя квадратичная скорость
?) длина свободного пробега
?) средняя кинетическая энергия
Вопрос id:709400
Так как при испарении средняя кинетическая энергия молекул жидкости уменьшается, то уменьшается ___ и ___жидкости
?) сжимаемость
?) температура
?) летучесть
?) объем
Вопрос id:709401
Твердые тела отличаются от жидкостей и газов постоянством
?) плотности
?) объема
?) формы
?) текучести
Вопрос id:709402
Тело А находится в тепловом равновесии с телом С, а тело В не находится в тепловом равновесии с телом С. Верное утверждение
?) температуры тел А, С и В одинаковы
?) температуры тел А и С не одинаковы
?) тела А и В находятся в тепловом равновесии
?) температуры тел А и В не одинаковы
Вопрос id:709403
Температура ___- температура, при которой происходит кипение жидкости при нормальном атмосферном давлении
Вопрос id:709404
Температура газа измеряется прибором
?) хронометром
?) манометром
?) динамометром
?) термометром
Вопрос id:709405
Температура газа, определяемая формулой , не может быть
?) не равной нулю
?) отрицательной
?) равной нулю
?) положительной
Вопрос id:709406
Температура идеального газа повысилась от 273 °С до 546 °С, при этом средняя кинетическая энергия теплового движения молекул газа увеличилась в ___ раза
?) 1,22
?) 2
?) 1,5
?) 1,41
Вопрос id:709407
Температура кипения жидкости зависит от
?) свойств жидкости
?) цвета жидкости
?) объема жидкости
?) внешнего давления
Вопрос id:709408
Температура кристаллического тела при плавлении не изменяется. Внутренняя энергия вещества при плавлении
?) не изменяется
?) может увеличиваться или уменьшаться в зависимости от кристаллической структуры тела
?) уменьшается
?) увеличивается
Вопрос id:709409
Температура определяет направление ___между телами, имеющими разную степень нагрева
?) движения молекул
?) течения процесса взаимодействия
?) теплового обмена
?) сил взаимодействия
Вопрос id:709410
Температура тела определяется___теплового движения молекул
?) средней скоростью
?) временем
?) средней кинетической энергией
?) свободным пробегом
Вопрос id:709411
Тепловое ___– такое состояние термодинамической системы, при котором все макроскопические параметры тел системы сколь угодно долго остаются неизменными.
Вопрос id:709412
Тепловое движение молекул имеет ___ характер
?) беспорядочный
?) поступательный
?) прямолинейный
?) вращательный
Вопрос id:709413
Тепловой двигатель не может работать без
?) нагревателя
?) холодильника
?) станины
?) усилителя
Вопрос id:709414
Тепловые явления происходят внутри тел и всецело определяются движением
?) нейтронов
?) молекул
?) электронов
?) атомов
Вопрос id:709415
Точка ___– температура, до которой должен охладиться воздух, чтобы находящийся в нем водяной пар достиг состояния насыщения (при данной влажности воздуха и неизменном давлении)
Вопрос id:709416
Удельная ___– физическая величина, равная, количеству теплоты, которое получает или отдает вещество массой 1 кг при изменении его температуры на 1 К
Вопрос id:709417
Удельная теплоемкость является характеристикой вещества и зависит от его
?) цвета
?) массы
?) физических свойств
?) расположения в пространстве
Вопрос id:709418
Удельная теплота парообразования воды 2,3·106 Дж/кг. При превращении 0,1 кг пара в воду при температуре 100°С выделится количество теплоты, равное ___ Дж
?) 2,3 107
?) 2,3 106
?) 0
?) 2,3 105
Вопрос id:709419
Универсальная (молярная) газовая постоянная равна ___ Дж/(моль · К)
?) 8,31
?) 0,831
?) 83,1
?) 831
Вопрос id:709420
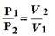
Уравнение давления идеального газа имеет вид
?)
?)
?)
?)
Вопрос id:709421
Уравнение давления идеального газа называется основным уравнением ___ теории газов
Вопрос id:709422
Уравнение состояния газа в форме было получено ___ и ___
?) Клайпероном
?) Менделеевым
?) Больцманом
?) Клаузиусом
Вопрос id:709423
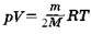
Уравнение состояния для произвольной массы идеального газа имеет вид
?)
?)
?)
?)
Вопрос id:709424
Установите соответствие
Левая частьПравая часть
относительная молекулярная масса
масса вещества
молярная масса вещества
количество вещества
Вопрос id:709425
Установите соответствие
Левая частьПравая часть
постоянная Авагадро
6 · 10 23 моль –1
постоянная Больцмана
2,7 · 10 25 м –3
постоянная Лошмидта
1,38 · 10 –23 Дж/К
Вопрос id:709426
Установите соответствие между величинами
Левая частьПравая часть
давление газа
концентрация молекул
масса газа
ρ = .
средняя плотность газа
Вопрос id:709427
Установите соответствие между понятиями
Левая частьПравая часть
макромир
мир, состоящий из мельчайших частиц
атом
мир, состоящий из крупных тел
молекула
наименьшая частица данного химического элемента
микромир
наименьшая устойчивая частица данного вещества, обладающая его основными химическими свойствами
Вопрос id:709428
Установите соответствие между понятиями
Левая частьПравая часть
закон Бойля–Мариотта
давление данной массы газа при постоянном объеме прямо пропорционально абсолютной температуре
закон Шарля
для газа данной массы отношение объема к температуре постоянно, если давление газа не меняется
закон Гей-Люссака
для газа данной массы произведение давления газа на его объем постоянно, если температура газа не меняется
Вопрос id:709429
Установите соответствие между понятиями
Левая частьПравая часть
изохора
график зависимость давления от абсолютной температуры при постоянном объеме газа
изобара
график зависимости давления газа от объема при постоянной температуре
изотерма
график зависимости объема газа от температуры при постоянном давлении
Вопрос id:709430
Установите соответствие между понятиями
Левая частьПравая часть
изохорный процесс
изменение состояния термодинамической системы при постоянном объеме
изотермический процесс
процесс изменения состояния термодинамической системы при постоянном давлении
изобарный процесс
процесс изменения состояния термодинамической системы макроскопических тел при постоянной температуре
Вопрос id:709431
Установите соответствие между понятиями
Левая частьПравая часть
изохорный процесс
уравнение состояний
изотермический процесс
уравнение состояний
изобарный процесс
уравнение состояний
Вопрос id:709432
Установите соответствие между понятиями
Левая частьПравая часть
изотропия
неодинаковость свойств кристаллов (механических, тепловых, электрических и т. д.) по различным направлениям
полиморфизм
свойство кристаллических тел одинакового химического состава в зависимости от условий существовать в двух или более разновидностях
анизотропия
одинаковость свойств кристаллов по разным направлениям
Вопрос id:709433
Установите соответствие между понятиями
Левая частьПравая часть
кристаллы
кристаллические тела, состоящие из множества беспорядочно расположенных и сросшихся между собой мелких кристалликов
монокристаллы
твердые тела, представляющие собой один кристалл.
поликристаллы
твердые тела, атомы или молекулы которых занимают определенные, упорядоченные положения в пространстве
Вопрос id:709434
Установите соответствие между понятиями
Левая частьПравая часть
закон сохранения энергии
невозможно перевести теплоту от более холодной системы к более горячей при отсутствии других одновременных изменений в обеих системах или в окружающих телах
второй закон термодинамики
энергия в природе не возникает из ничего и не исчезает: количество энергии неизменно, она только переходит из одной формы в другую
первый закон термодинамики
изменение внутренней энергии системы при переходе ее из одного состояния в другое равно сумме работы внешних сил и количества теплоты, переданного системе
Вопрос id:709435
Установите соответствие между понятиями
Левая частьПравая часть
при изобарном процессе передаваемое газу количество теплоты идет на изменение его внутренней энергии и на совершение им работы при постоянном давлении
при адиабатном процессе изменение внутренней энергии происходит только за счет совершения работы
при изохорном процессе изменение внутренней энергии равно
при изотермическом процессе все переданное газу количество теплоты идет на совершение работы
Copyright tests.ithead.ru 2013-2026