Тесты онлайн, бесплатный конструктор тестов. Психологические тестирования, тесты на проверку знаний.

Список вопросов базы знаний

Физика (10 класс)

Вопрос id:707913
Линии напряженности электростатического поля расположены ___эквипотенциальной поверхности
?) по касательной к
?) под углом
?) параллельно
?) перпендикулярно
Вопрос id:707914
Макроскопическое тело заряжено отрицательно в том случае, если оно содержит ___количество отрицательно заряженных элементарных частиц
?) недостаточное
?) мнимое
?) равное нулю
?) избыточное
Вопрос id:707915
Макроскопическое тело заряжено положительно в том случае, если оно содержит___ количество положительных зарядов
?) избыточное
?) отрицательное
?) равное нулю
?) недостаточное
Вопрос id:707916
Максвелл математически нашел, что скорость распространения электромагнитных взаимодействий равна скорости света в вакууме
?) 300 000 км/ с
?) 300 000 км/ час
?) 300 000 км/ мин
?) 30 000 км/ с
Вопрос id:707917
Математическое выражение закона Кулона имеет вид
?)
?)
?)
?)
Вопрос id:707918
Материалы, которые отличаются от проводников тем, что обладают очень малой проводимостью, называются___
?) металлами
?) смолами
?) пластмассами
?) диэлектриками
Вопрос id:707919
Между двумя любыми точками на эквипотенциальной поверхности разность потенциалов___
?) меньше нуля
?) больше нуля
?) равна нулю
?) мнимая величина
Вопрос id:707920
Минимальный электрический заряд, существующий в природе, равен
?)
?)
?)
?)
Вопрос id:707921
Модуль напряженности поля, созданного в точке А положительным зарядом q1, равен Е1, модуль напряженности поля, созданного в той же точке положительным зарядом q2, равен Е2. Модуль напряженности поля, созданного двумя зарядами в точке А
?) равен Е12
?) может быть различным в зависимости от расположения зарядов относительно точки А
?) равен Е1 + Е2
?) равен │Е12
Вопрос id:707922
Модуль напряженности электрического поля, созданного точечным зарядом, при увеличении расстояния от этого заряда до точки наблюдения в к раз, ___ раз
?) уменьшится в k
?) уменьшится в к2
?) увеличится в k2
?) увеличится в k
Вопрос id:707923
На двух одинаковых металлических шарах находятся положительный заряд +Q и отрицательный заряд -5Q. При соприкосновении шаров заряд на каждом шаре станет равен ___ Q
?) +3
?) -2
?) -4
?) +6
Вопрос id:707924
Направление вектора напряженности совпадает с направлением силы, действующей на ___заряд
?) неподвижный
?) положительный
?) отрицательный
?) Равный нулю
Вопрос id:707925
Направление вектора напряженности противоположно направлению силы, действующей на ___заряд
?) положительный
?) неподвижный
?) отрицательный
?) равный нулю
Вопрос id:707926
Напряжение на последовательно соединенных проводниках равно ___силы тока и сопротивления каждого проводника
?) сумме
?) разности
?) частному от деления
?) произведению
Вопрос id:707927
Напряженность электрического поля является ___ величиной
?) Мнимой
?) комплексной
?) Скалярной
?) Векторной
Вопрос id:707928
Напряженность электростатического поля внутри проводника
?) больше нуля
?) мнимая величина
?) равна нулю
?) меньше нуля
Вопрос id:707929
Напряженность электростатического поля определяется по формуле
?)
?)
?)
?)
Вопрос id:707930
Наэлектризовать тело можно при помощи
?) трения
?) промывания
?) упаковки
?) воронения
Вопрос id:707931
Незаряженная цинковая пластина при освещении потеряла четыре электрона, при этом заряд пластины стал равен ___ Кл
?) +6,4 ∙ 10 -19
?) -6,4 ∙ 10 -19
?) -4
?) +4
Вопрос id:707932
Объединение ионов газа разных знаков в нейтральные молекулы называется___
?) реставрацией
?) репродукцией
?) релаксацией
?) рекомбинацией
Вопрос id:707933
Основным законом электростатики является закон
?) Ампера
?) Ома
?) Фарадея
?) Кулона
Вопрос id:707934
От капли, имевшей электрический заряд +2е, отделилась капля с зарядом +е, при этом модуль заряда оставшейся части капли
?) мог увеличиться и уменьшиться в зависимости размера отделившейся капли
?) увеличился
?) не изменился
?) уменьшился
Вопрос id:707935
Отрицательный заряд имеет элементарная частица, а именно
?) нейтрон
?) позитрон
?) электрон
?) протон
Вопрос id:707936
Переменное электрическое поле ___ во времени
?) разваливается
?) изменяется
?) не изменяется
?) исчезает
Вопрос id:707937
Перенос заряда положительными и отрицательными ионами в водных растворах электролитов называется___ проводимостью
?) ионной
?) положительной
?) отрицательной
?) простой
Вопрос id:707938
Поверхность проводника, во всех точках которой потенциал электрического поля имеет одинаковые значения, называется___
?) непотенциальной
?) идеальной
?) однородной
?) эквипотенциальной
Вопрос id:707939
Полная ЭДС цепи, включающей несколько источников тока равна ___сумме последовательно соединенных ЭДС отдельных источников
?) мнимой
?) геометрической
?) аддитивной
?) алгебраической
Вопрос id:707940
Положительный заряд имеет элементарная частица, а именно
?) электрон
?) атом
?) нейтрон
?) протон
Вопрос id:707941
Полупроводниковый диод содержит р - n-переходы в количестве
?) двух
?) четырех
?) одного
?) трех
Вопрос id:707942
Полярный диэлектрик состоит из молекул, которые можно рассматривать как электрические ___
?) контроллеры
?) консоли
?) звенья
?) диполи
Вопрос id:707943
Потенциал электрического поля является___-величиной
?) постоянной
?) векторной
?) мнимой
?) скалярной
Вопрос id:707944
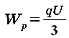
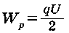
Потенциальная энергия заряда в однородном электростатическом поле равна:
?)
?)
?)
?)
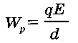
Вопрос id:707945
Потенциальной энергии заряда в однородном поле конденсатора равна
?)
?)
?)
?)
Вопрос id:707946
Препятствие, которое возникает при упорядоченном движении заряженных частиц по проводнику, называется___
?) электрическим сопротивлением
?) силой тока
?) потенциалом
?) напряженностью
Вопрос id:707947
При нагревании кремния кинетическая энергия частиц___, и наступает разрыв отдельных связей
?) равна нулю
?) не изменяется
?) повышается
?) понижается
Вопрос id:707948
При нагревании проводимость воздуха ___
?) увеличивается
?) не изменяется
?) может как уменьшаться, так и увеличиваться
?) уменьшается
Вопрос id:707949
При параллельном соединении проводников напряжения в ветвях U1 и U2 ___
?) U1 > U2
?) U1 < U2
?) неодинаковы
?) одинаковы
Вопрос id:707950
При параллельном соединении проводников электрический ток в общей цепи равен___ токов в ветвях
?) разности
?) произведению
?) частному от деления
?) сумме
Вопрос id:707951
При последовательном соединении проводников полное сопротивление цепи равно___ сопротивлений отдельных проводников
?) наибольшему из
?) разности
?) сумме
?) произведению
Вопрос id:707952
При последовательном соединении проводников сила тока во всех проводниках___
?) одинакова
?) не одинакова
?) имеет мнимую величину
?) равна нулю
Вопрос id:707953
При трении пластмассовой линейки о шерсть заряжается положительно шерсть, так как
?) протоны переходят с линейки на шерсть
?) электроны переходят с шерсти на линейку
?) электроны переходят с линейки на шерсть
?) протоны переходят с шерсти на линейку
Вопрос id:707954
При электризации трением оба тела приобретают заряды
?) равные нулю
?) противоположных знаков
?) нейтральные
?) одинаковых знаков
Вопрос id:707955
Проводимость полупроводников ___ при введении примесей
?) обнуляется
?) уменьшается
?) не изменяется
?) увеличивается
Вопрос id:707956
Проводники, обладающие свойством терять сопротивление при температуре ниже определенного значения, называются___
?) гиперпроводниками
?) сверхпроводниками
?) гипопроводниками
?) суперпроводниками
Вопрос id:707957
Работа электрического поля на участке цепи равна изменению энергии рассматриваемого участка цепи согласно закону
?) сохранения энергии
?) Ома
?) Ньютона
?) Кулона
Вопрос id:707958
Работа электрического тока на участке цепи равна___ силы тока, напряжения и времени, в течение которого совершалась работа
?) произведению
?) сумме
?) частному от деления
?) разности
Вопрос id:707959
Работа электростатического поля при перемещении заряда по ___ равна нулю
?) замкнутому контуру
?) по дуге окружности
?) незамкнутому контуру
?) прямой линии
Вопрос id:707960
Работа электростатического поля при перемещении заряда по любому замкнутому контуру___
?) больше нуля
?) мнимая величина
?) меньше нуля
?) равна нулю
Вопрос id:707961
Разность потенциалов между точками электрического поля называется электрическим(ой) ___
?) током
?) напряжением
?) напряженностью
?) силой
Вопрос id:707962
Распад молекул электролитов на ионы под влиянием электрического поля полярных молекул воды называется___
?) разложением
?) электрической диссоциацией
?) электронной диссоциацией
?) электролитической диссоциацией
Copyright tests.ithead.ru 2013-2026