Тесты онлайн, бесплатный конструктор тестов. Психологические тестирования, тесты на проверку знаний.

Список вопросов базы знаний

Физика (10 класс)

Вопрос id:710607

Если уравнение зависимости проекции движущегося тела от времени имеет вид

vx = 2 + 3t (м/с), то соответствующее выражение уравнения проекции перемещения ___ (м)

?) rx = 2t + 3t2
?) rx = 2t + 1,5t2
?) rx = 1,5t2
?) rx = 3t + t2
Вопрос id:710608
___ – характеристика проводника – зависимость силы тока от приложенной разности потенциалов на концах проводника
Вопрос id:710609
___ соединение проводников – электрическая цепь, в которой все проводники включают в цепь поочередно друг за другом
Вопрос id:710610
___ индукция – появление зарядов на противоположных концах проводника, помещенного в электрическое поле
Вопрос id:710611
___ коэффициент сопротивления α показывает относительное изменение удельного сопротивления проводника при его нагревании на 1 К
Вопрос id:710612
___твердое тело – воображаемое тело, которое совершенно не деформируется
Вопрос id:710613
___соединение проводников– электрическая цепь, в которой имеются разветвления
Вопрос id:710614
___на участке цепи - произведение силы тока и сопротивления участка цепи
Вопрос id:710615
___сила определяет взаимодействия тел или частиц, имеющих электрический заряд и называемых заряженными
Вопрос id:710616
___– поверхность проводника, во всех точках которой потенциал электрического поля имеет одинаковые значения
Вопрос id:710617
___– прибор, содержащий р – n-переход, который является главной частью полупроводникового выпрямителя
Вопрос id:710618
___– условная точка электрического поля, в которой потенциальная энергия заряда считается равной нулю
Вопрос id:710619
___– устройство, в котором тонкий проводник плавится при определенной силе тока и размыкает электрическую цепь
Вопрос id:710620
___диэлектрика – смещение положительных и отрицательных связанных зарядов диэлектрика в противоположные стороны, в результате чего диполи приобретают упорядоченную ориентацию
Вопрос id:710621
___поле связанно с покоящимися электрическими зарядами
Вопрос id:710622
___– предельная температура, при которой давление идеального газа обращается в нуль при фиксированном объеме или объем идеального газа стремится к нулю при неизменном давлении
Вопрос id:710623
___движение – это тепловое движение взвешенных в жидкости (или газе) частиц
Вопрос id:710624
___равновесие - такое состояние термодинамической системы, при котором все макроскопические параметры тел системы сколь угодно долго остаются неизменными
Вопрос id:710625
___сила – в замкнутом контуре отношение работы сторонних сил при перемещении заряда вдоль контура к величине заряда
Вопрос id:710626
___– любые силы неэлектростатического происхождения, действующие на заряды в источнике тока
Вопрос id:710627
___– температура, до которой должен охладиться воздух, чтобы находящийся в нем водяной пар достиг состояния насыщения (при данной влажности воздуха и неизменном давлении)
Вопрос id:710628
___– устройство, предназначенное для перемещения зарядов во внешней цепи
Вопрос id:710629
___– электрическая система – система, в которую не входят извне и из которой не выходят наружу заряженные частицы
Вопрос id:710630
___– электрический ток, характеристики которого не изменяются со временем
Вопрос id:710631
___– величина, равная отношению заряда, который переносится через поперечное сечение проводника за промежуток времени , к этому промежутку
Вопрос id:710632
___– зависимость силы тока от напряжения в электрической цепи
Вопрос id:710633
___– физическое явление перераспределения электрических зарядов на телах, в результате которого тела становятся электрически заряженными
Вопрос id:710634
___сопротивление электрической цепи –суммарное сопротивление источника тока и сопротивления внешней цепи ( r + R)
Вопрос id:710635
Быстрота совершения механической работы характеризуется ___
?) мощностью
?) кинетической энергией
?) потенциальной энергией
?) тягой
Вопрос id:710636
В газах электическая проводимсть осуществляется следующими носителями
?) свободными электронами
?) положительными ионами
?) отрицательными ионами
?) связанными зарядами
Вопрос id:710637
В инерциальных системах отсчета выполняются следующие законы механики Ньютона
?) только первый
?) только второй
?) только третий
?) все три
Вопрос id:710638
В прямоугольной системе координат изохора, соответствующая большему объему, лежит ниже изохоры, соответствующей ___ объему
Вопрос id:710641
Величина ускорения ___- силе, действующей на тело
?) не равна
?) обратно пропорциональна
?) равна
?) прямо пропорциональна
Вопрос id:710643
Величина, равная отношению перемещения к промежутку времени, за которое произошло это перемещение при равномерном прямолинейном движении, называется
Вопрос id:710644
Вес тела – сила, с которой это тело действует на
?) жидкость и газ
?) подвес
?) упругую пружину
?) горизонтальную опору
Вопрос id:710645
Все механические процессы протекают одинаково во всех ___- системах отсчета
?) круговых
?) неинерциальных
?) инерциальных
?) относительных
Вопрос id:710646
Гравитационное взаимодействие осуществляется посредством особого вида материи, называемого___ полем
?) тяжести
?) магнитным
?) электрическим
?) гравитационным
Вопрос id:710648
Движение, при котором точка за любые равные промежутки времени совершает одинаковые перемещения, называется
Вопрос id:710650
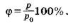
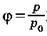
Для определения относительной влажности используются формулы
?)
?)
Вопрос id:710653
Если кинетическая энергия тела равна 8 Дж, а величина импульса - 4 Н с, то масса тела равна ___ кг
?) 0,5
?) 32
?) 2
?) 1
Вопрос id:710655
Если перенести два точечных электрических заряда из воздуха в среду с диэлектрической проницаемостью 2, при условии, что расстояние между ними остается прежним, сила электростатического взаимодействия
?) уменьшится в 4 раза
?) уменьшится в 2 раза
?) увеличится в 2 раза
?) не изменится
Вопрос id:710656
Если спутник движется по круговой орбите то, чем ___ эта высота, тем меньше скорость его движения
Вопрос id:710657
Если тело массой 2 кг движется со скоростью 3 м/с, то импульс тела равен ___ кг м/с
?) 18
?) 6
?) 3
?) 9
Вопрос id:710658
Если тело находится в покое, то геометрическая сумма всех сил, действующих на любой элемент,___ нулю(я)
?) больше
?) равна
?) не равна
?) меньше
Вопрос id:710661
Изменение потенциальной энергии пружины жесткостью к при ее растяжении на ∆х - это
?) к ∆х
?) к ∆х2
?) к ∆х2 /2
?) к ∆х/2
Вопрос id:710663
Импульс тела – величина
?) векторная
?) действительная
?) скалярная
?) мнимая
Вопрос id:710664
Инвариантные характеристики движения: ___ - имеют одинаковые значения в разных системах отсчета
?) промежуток времени
?) скорость
?) длина отрезка
?) траектория
Вопрос id:710665
К механической деформации тела относится ___
?) окраска
?) сжатие
?) растяжение
?) изгиб
Вопрос id:710666
К микроскопическим параметрам относятся:___молекулы
?) масса
?) средняя кинетическая энергия поступательного движения
?) цвет
?) средняя скорость
Вопрос id:710667
Когда большой корабль тянет за собой на тросе легкую лодку, со стороны корабля на лодку действует сила F1, а со стороны лодки на корабль действует сила F2, которая
?) F2=0
?) F2 = -F1
?) F2 < F1
?) F2>F1
Copyright tests.ithead.ru 2013-2026