Тесты онлайн, бесплатный конструктор тестов. Психологические тестирования, тесты на проверку знаний.

Список вопросов базы знаний

Физика (10 класс)

Вопрос id:709793
Для контроля силы тока и напряжения на различных участках цепи в электрическую цепь включают приборы
?) амперметры
?) манометры
?) спидометры
?) вольтметры
Вопрос id:709794
Для того чтобы на зажимах генератора напряжение стало равным 210 В, во внешнюю цепь генератора с ЭДС 220 В и внутренним сопротивлением 0,1 Ом, необходимо включить проводник с сопротивлением ___ Ом
?) 1
?) 3,2
?) 3,8
?) 2,1
Вопрос id:709795
Для того чтобы получить электрически заряженное макроскопическое тело его необходимо ___
?) покрасить
?) разрушить
?) распилить
?) наэлектризовать
Вопрос id:709796
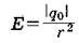
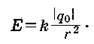
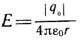
Для электростатического поля точечного заряда модуль вектора напряженности равен
?)
?)
?)
?)
Вопрос id:709797
Донорные примеси полупроводников являются химическими элементами ___группы таблицы Менделеева
?) пятой
?) шестой
?) второй
?) третьей
Вопрос id:709798
Емкость плоского воздушного конденсатора, если площадь его обкладок увеличить в 2 раза, а расстояние между ними уменьшить в 2 раза,___
?) не изменится
?) увеличится в 4 раза
?) уменьшится в 4 раза
?) уменьшится в 2 раза
Вопрос id:709799
Емкость плоского конденсатора зависит от
?) площади обкладок
?) расстояния между обкладками
?) цвета обкладок
?) диэлектрика между обкладками
Вопрос id:709800
Если время разряда молнии равно 3 мс, сила тока в канале молнии около 3 104 А, то по каналу молнии проходит заряд ___ Кл
?) 10– 4
?) 9 104
?) 90
?) 10–7
Вопрос id:709801
Если и длину медного провода, и напряжение между его концами увеличить в 2 раза, то сила тока, протекающего через провод
?) не изменится
?) уменьшится в 2 раза
?) увеличится в 2 раза
?) увеличится в 4 раза
Вопрос id:709802
Если к источнику тока с ЭДС, равной 20 В, подключен резистор сопротивлением 8 Ом, сила тока в электрической цепи равна 2 А, то внутреннее сопротивление источника равно ___ Ом
?) 2
?) 18
?) 8
?) 10
Вопрос id:709803
Если какое-нибудь тело окружено со всех сторон проводящей оболочкой, то внешнее электрическое поле ___ на тело
?) не оказывает действия
?) оказывает действие
?) накладывается
?) влияет
Вопрос id:709804
Если напряжение между концами проводника и его длину увеличить в 3 раза, то сила тока, идущего через проводник
?) уменьшится в 9 раз
?) не изменится
?) увеличится в 3 раза
?) уменьшится в 3 раза
Вопрос id:709805
Если напряжение между концами цилиндрического проводника уменьшить в 2 раза, а его диаметр увеличить в √2 раза, то сила тока, протекающего через него
?) не изменится
?) уменьшится в 4 раза
?) уменьшится в 2 раза
?) увеличится в 4 раза
Вопрос id:709807
Если площадь обкладок плоского воздушного конденсатора и расстояние между ними уменьшить в 2 раза, то его емкость
?) не изменится
?) уменьшится в 4 раза
?) увеличится в 4 раза
?) уменьшится в 2 раза
Вопрос id:709808
Если площадь обкладок плоского воздушного конденсатора уменьшить в 2 раза, а расстояние между ними увеличить в 2 раза, то его емкость
?) не изменится
?) уменьшится в 4 раза
?) уменьшится в 2 раза
?) увеличится в 2 раза
Вопрос id:709809
Если при замыкании батареи с ЭДС 9 В на внешнее сопротивление 3 Ом ток в цепи равен 2 А, то при коротком замыкании батареи сила тока равна ___ А
?) 2
?) 4
?) 6
?) 3
Вопрос id:709810
Если при напряжении на концах проводника 220 В в течение 1 мин совершается работа 66 кДж, то сила тока, проходящего по проводнику, равна ___ А
?) 5
?) 300
?) 13
?) 0,23
Вопрос id:709811
Если при перемещении между двумя точками электрического поля заряда 12 мкКл, поле совершает работу 3,6 мДж, то разность потенциалов между этими точками равна ___ В
?) 300
?) 30
?) 3
?) 0,3
Вопрос id:709812
Если проводник находится в электростатическом поле, то один и тот же потенциал имеют___ проводника
?) все точки вдали от
?) все точки возле
?) поверхность
?) все точки внутри
Вопрос id:709813
Если проводник разрезать на три равные части и соединить их параллельно, то сопротивление
?) увеличится в 9 раз
?) не изменится
?) уменьшится в 9 раз
?) уменьшится в 3 раза
Вопрос id:709814
Если разность потенциалов между точками, расположенными на одной силовой линии однородного электрического поля, напряженность которого 50 В/м, равна 10 В, то расстояние между этими точками равно ___ см
?) 5
?) 0,05
?) 5
?) 20
Вопрос id:709815
Если расстояние между обкладками плоского воздушного конденсатора увеличить в 2 раза, то его емкость ___
?) увеличится в 4
?) увеличится в 2
?) уменьшится в 4
?) уменьшится в 2
Вопрос id:709816
Если скорость направленного дрейфа электронов в проводнике увеличилась в 2 раза, сила тока в цепи
?) не изменилась
?) увеличилась в 2 раза
?) уменьшилась в 2 раза
?) увеличилась в 4 раза
Вопрос id:709817
Если точечный положительный заряд равномерно перемещают сначала вдоль линии напряженности электростатического поля, а затем в направлении, перпендикулярном этим линиям, то соотносятся работы А1 и А2, совершаемые силами электростатического поля на первом и втором участках траектории, соотносятся
?) А1<А2
?) А1=А2=0
?) А1>А2=0
?) А1>А2≠0
Вопрос id:709818
Закон ___определяет зависимость силы тока от напряжения в электрической цепи
Вопрос id:709819
Заряд тела стал равным + 6 е после того, как оно при освещении потеряло 4 электрона. Первоначальный заряд тела был равен
?) –2 е
?) –10 е
?) 10 е
?) 2 е
Вопрос id:709820
Заряд тела стал равным –6 е после того, как оно при освещении потеряло 4 электрона. Первоначальный заряд тела был равен ___ е
?) 10
?) –2
?) 2
?) –10
Вопрос id:709821
Заряженный до разности потенциалов 100 В конденсатор электроемкостью 1000 мкФ разряжают на резистор, опущенный в воду массой 10 г, при этом температура воды, удельная теплоемкость которой 4200 Дж/(кг К), увеличится на ___К
?) 0,1
?) 10
?) 1
?) 0,01
Вопрос id:709822
Имеются два одинаковых источника тока с ЭДС 24 В и внутренним сопротивлением 8 Ом каждый. Максимального значение силы тока в цепи при подключении внешней нагрузки 8 Ом будет в случаях подключения
?) только одного источника тока
?) источников последовательно
?) источников параллельно
?) последовательном и параллельном включении двух источников тока сила тока во внешней цепи будет одинакова
Вопрос id:709823
Имеются четыре заряженные частицы. Частицы 1 и 2 обладают положительными электрическими зарядами, частицы 3 и 4 – отрицательными зарядами. Взаимно отталкиваются частицы
?) 1 и 2 между собой и 3 и 4 между собой
?) только 3 и 4
?) только 1 и 2
?) 1 с частицами 3 и 4
Вопрос id:709824
Имеются четыре заряженные частицы. Частицы 1 и 2 обладают положительными электрическими зарядами, частицы 3 и 4 – отрицательными зарядами. Взаимно притягиваются частицы
?) 1 с частицами 3 и 4; 2 с частицами 3 и 4
?) 1 и 2 между собой и 3 и 4 между собой
?) только 3 и 4
?) только 1 и 2
Вопрос id:709825
К незаряженному конденсатору емкостью С подключили параллельно заряженный до заряда q конденсатор той же емкости. Энергия системы из двух конденсаторов после их соединения определяется выражением ___ С
?) q2 /8
?) q2 /2
?) q2 /
?) q2 /4
Вопрос id:709826
К неполярным диэлектрикам относятся___
?) инертные газы
?) водород
?) кислород
?) вода
Вопрос id:709827
К одному концу незаряженного металлического стержня поднесен без соприкосновения положительный электрический заряд. Если от стержня отделить в это время его второй конец, то на нем будет обнаружен электрический заряд
?) Отрицательный
?) Любая часть стержня не имеет электрического заряда
?) В зависимости от размеров отделенной части знак заряда может быть положительным или отрицательным
?) Положительный
Вопрос id:709828
К полупроводникам относятся вещества
?) железо
?) кремний
?) селен
?) германий
Вопрос id:709829
К полярным диэлектрикам относятся
?) полиэтилен
?) бензол
?) вода
?) спирт
Вопрос id:709830
К стержню положительно заряженного электроскопа поднесли, не касаясь его, стеклянную палочку. Листочки электроскопа опали, образуя гораздо меньший угол. Такой эффект может наблюдаться, если палочка
?) не заряжена
?) имеет заряд любого знака
?) заряжена отрицательно
?) заряжена положительно
Вопрос id:709831
Капля, имеющая отрицательный заряд -е, при освещении потеряла электрон. Заряд капли стал равным
?) -3е
?) +2е
?) 0
?) -2е
Вопрос id:709832
Количественной характеристикой электрического тока служит
?) сила тока
?) модуль Юнга
?) плотность вещества
?) масса электрона
Вопрос id:709833
Контакт двух полупроводников называют электронно-___ переходом
Вопрос id:709834
Контакт двух полупроводников с различными видами проводимости ___проводимость
?) имеет одностороннюю
?) нулевую
?) имеет двухстороннюю
?) бесконечно большую
Вопрос id:709835
Контакт двух полупроводников с различными видами проводимости обладает свойством ___ток в прямом направлении
?) плохо проводить
?) вообще не создавать
?) не проводить
?) хорошо проводить
Вопрос id:709836
Концентрацию донорной примеси в полупроводнике увеличивают в два раза. При этом примерно в 2 раза ___ проводимость
?) уменьшается электронная
?) уменьшается дырочная
?) увеличивается дырочная
?) увеличивается электронная
Вопрос id:709837
Коэффициент k, характеристика вещества, численно равная массе вещества, выделившегося на электродах, при переносе ионами заряда, равного 1 Кл, называется___ эквивалентом данного вещества
Вопрос id:709838
Лампочка с вольфрамовой нитью соединена последовательно с источником тока и реостатом. При движении ползунка реостата лампочка горит все ярче и ярче. При этом сила тока через нить
?) падает, а ее сопротивление растет
?) падает наряду с ее сопротивлением
?) растет наряду с ее сопротивлением
?) растет, а ее сопротивление уменьшается
Вопрос id:709839
Легкий незаряженный шарик из металлической фольги подвешен на тонкой шелковой нити. К шарику поднесли (без прикосновения) сначала стержень с положительным электрическим зарядом, а затем стержень с отрицательным зарядом. Шарик
?) притягивается к стержням в обоих случаях
?) не испытывает ни притяжения, ни отталкивания в обоих случаях
?) притягивается к стержню в первом случае, отталкивается от стержня во втором случае
?) отталкивается от стержней в обоих случаях
Вопрос id:709840
Любые силы неэлектростатического происхождения, действующие на заряды в источнике тока называются
Вопрос id:709841
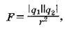
Математическое выражение закона Кулона имеет вид
?)
?)
?)
?)
Вопрос id:709842
Медная проволока имеет электрическое сопротивление 1,2 Ом. Электрическое сопротивление другой медной проволоки, у которой в 4 раза больше длина и в 6 раз больше площадь поперечного сечения, равно ___ Ом
?) 0,8
?) 0,2
?) 1,8
?) 7,2
Вопрос id:709843
Металлический шар радиусом R находится в однородном поле Е0. Точки А и В находятся внутри шара на диаметре, параллельном линии напряженности этого поля. Расстояние между точками R. Модуль напряженности поля Е и потенциал φ для результирующего поля в этих точках соотносятся как
?) ЕА = ЕВ = 0; φА = φВ + Е0 R
?) ЕА = ЕВ = Е0; φА = φВ + Е0 R
?) ЕА = ЕВ = 0; φА = φВ
?) ЕА = ЕВ ≠ 0; φА = φВ
Copyright tests.ithead.ru 2013-2026