|
|
Список вопросов базы знанийФизика (10 класс)Вопрос id:710726 Установить соответствие | Левая часть | Правая часть | прямолинейное движение | движение, при котором все точки тела описывают окружности | криволинейное движение | движение точки по траектории, которая является окружностью, дугой | вращательное движение | движение точки по траектории, которая является прямой линией |
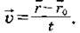
Вопрос id:710727 Установить соответствие | Левая часть | Правая часть | уравнение скорости равномерного прямолинейного движения | | уравнение равномерного прямолинейного движения в проекциях на ось Ох | | уравнение равномерного прямолинейного движения точки, в векторной форме | |
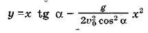
Вопрос id:710728 Установить соответствие | Левая часть | Правая часть | векторное уравнение, которое определяет положение тела в момент времени t | | уравнение траектории при свободном падении тела | | кинематические уравнения движения с постоянным ускорением в проекциях на оси | |
Вопрос id:710729 Установить соответствие | Левая часть | Правая часть | вращение вокруг неподвижной оси | движение твердого тела, при котором все точки тела описывают окружности, центры которых находятся на одной прямой, перпендикулярной плоскостям этих окружностей | параллельное соединение проводников | электрическая цепь, в которой все проводники включают в цепь поочередно друг за другом | последовательное соединение проводников | электрическая цепь, в которой имеются разветвления | поступательное движение | такое движение твердого тела, при котором любая прямая, проведенная в этом теле, перемещается параллельно самой себе |
Вопрос id:710730 Установить соответствие | Левая часть | Правая часть | свободное тело | тело, обладающее массой, но не имеющее геометрических размеров | материальная точка | тело, на движении которого не оказывают воздействие другие тела | абсолютно твердое тело | тело, при движении которого взаимное расположение его частей не изменяется |
Вопрос id:710731 Установить соответствие | Левая часть | Правая часть | математическое выражение принципа суперпозиции для второго закона Ньютона | | математическое выражение равнодействующей силы | | математическое выражение второго закона Ньютона | |
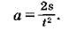
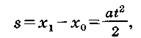
Вопрос id:710732 Установить соответствие | Левая часть | Правая часть | кинематическая формула для определения модуля ускорения равноускоренного движения | | формула для определения модуля перемещения тела при начальной скорости, равной нулю | | принцип суперпозиции для ускорения тела | |
Вопрос id:710733 Установить соответствие | Левая часть | Правая часть | количество теплоты | физическая величина, равная количеству теплоты, необходимому для превращения кристаллического вещества массой 1 кг в жидкость при температуре плавления | удельная теплота парообразования | энергия, которую тело получает или отдает в процессе теплообмена | удельная теплота плавления | физическая величина, равная количеству теплоты, необходимому для превращения жидкости массой 1 кг в пар при температуре кипения |
Вопрос id:710734 Установить соответствие | Левая часть | Правая часть | сверхпроводимость | проводники, обладающие свойством терять сопротивление при температуре ниже определенного | полупроводники | вещества, которые по своему удельному сопротивлению занимают положение, промежуточное между проводниками и диэлектриками | сверхпроводники | явление потери сопротивления проводниками при температуре ниже определенного значения |
Вопрос id:710735 Установить соответствие | Левая часть | Правая часть | электронная проводимость | проводимость полупроводников, обусловленная наличием примесей | примесная проводимость | проводимость полупроводников, обусловленная наличием у них свободных электронов | собственная проводимость полупроводников | проводимость чистых полупроводников, которая осуществляется перемещением свободных электронов (электронная проводимость) и перемещением связанных электронов на вакантные места (дырочная проводимость) |
Вопрос id:710736 Установить соответствие | Левая часть | Правая часть | акцепторные примеси | полупроводниковые кристаллы, в которых электроны являются основными носителями заряда, а «дырки» неосновными | дырочные полупроводники | полупроводники, в которых концентрация «дырок» превышает концентрацию электронов проводимости | полупроводники n-типа | примеси, которые захватывают электроны и создают тем самым подвижные «дырки», не увеличивая числа электронов проводимости | донорные примеси | примеси, поставляющие электроны проводимости без возникновения равного им количества «дырок» |
Вопрос id:710737 Установить соответствие | Левая часть | Правая часть | внутренние силы системы | силы, с которыми тела системы взаимодействуют между собой | внешние силы | совокупность тел, взаимодействующих между собой, но не взаимодействующих с другими телами | замкнутая система тел | силы взаимодействия между телами системы и телами, находящимися вне системы |
Вопрос id:710738 Установить соответствие между величинами | Левая часть | Правая часть | концентрация молекул | | средняя плотность газа | | давление газа | ρ =  . | масса газа | |
Вопрос id:710739 Установить соответствие между величинами | Левая часть | Правая часть | электроемкость двух проводников | равна отношению заряда одного из проводников к разности потенциалов между этими проводниками | электроемкость проводника | равен разности потенциалов между двумя близкими точками в поле, деленной на расстояние между этими точками | модуль напряженности электростатического поля | равна количеству электричества, нужного для повышения потенциала этого проводника на единицу |
Вопрос id:710740 Установить соответствие между величинами | Левая часть | Правая часть | сила | | механическая работа | | мощность | |
Вопрос id:710741 Физическая величина, равная произведению массы тела на его скорость,– это ?) количество движения тела ?) импульс тела ?) импульс силы ?) импульс перемещения Вопрос id:710742 Формула для определения коэффициента полезного действия теплового двигателя Вопрос id:710743 Чем ___ масса тела, тем меньше получаемое телом ускорение при действии на него заданной силы Вопрос id:710744 Чем ___сила тока на участке цепи, тем большую работу совершает электрический ток Вопрос id:710745 Чем ___ЭДС источника тока, тем большый ток течет в электричесой цепи Вопрос id:710746 Чем больше сила тока на участке электрической цепи при постоянном сопротивлении участка, тем___ напряжение на концах этого участка Вопрос id:710747 Чем длительнее период времени, в течение кторого протекает ток через электролит, тем ___ масса вещества, выделившегося на электроде Вопрос id:710748 Электрический заряд элементарной частицы нельзя ___ ?) покрасить ?) просушить ?) снять с нее ?) разложить на составные части Вопрос id:710749 Электрическое поле обладает___ скоростю распространения электромагнитных взаимодействий ?) бесконечной ?) нулевой ?) мнимой ?) конечной Вопрос id:710750 Электрическое сопротивление медной провлоки 8 Ом. После того, как проволоку сложили вдвое, сопротивление проволоки стало равным ___ Ом
|