Список вопросов базы знанийМатематический анализ (курс 3)
Вопрос id:744515 Укажите соответствие между свойством определённого интеграла и формулой.
Вопрос id:744516 Укажите соответствие между типом интеграла и методом его решения
Вопрос id:744517 Площадь фигуры, изображенной на рисунке,
определяется интегралом… ?) ![]() ?) ![]() ?) ![]() ?) ![]() Вопрос id:744518 Площадь фигуры, ограниченной параболой прямой
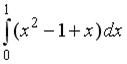
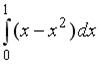
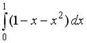
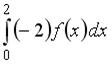
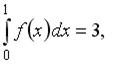
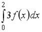
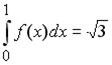
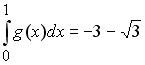
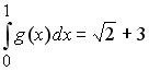
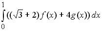
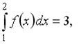
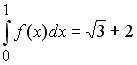
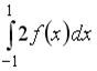
вычисляется с помощью интеграла … ?) ![]() ?) ![]() ?) ![]() ?) ![]() Вопрос id:744519 Правильную рациональную дробь можно представить в виде суммы простейших дробей?) ![]() ?) ![]() ?) ![]() ?) ![]() Вопрос id:744520 Вычислить определенный интеграл ?) ?) 15 ?) ?) 7 Вопрос id:744521 Если и то интеграл равен …?) 11 ?) 1 ?) 5 ?) 7 Вопрос id:744522 Если , , то интеграл равен …Вопрос id:744523 Если , , то интеграл равен …Вопрос id:744524 Если , , то интеграл равен …Вопрос id:744525 Если , , то интеграл равен …Вопрос id:744526 Если , , то интеграл равен …Вопрос id:744527 Если и то интеграл равен …?) 4 ?) - 8 ?) 2 ?) - 4 Вопрос id:744528 Если и то интеграл равен …?) 1 ?) 5 ?) - 2 ?) - 10 Вопрос id:744530 Если и то интеграл равен …?) 18 ?) 2 ?) 12 ?) 8 Вопрос id:744531 Метод замены переменной применим для вычисления следующих интегралов ?) ?) ?) Вопрос id:744532 Множество первообразных функции ?) ?) ?) ?) ![]() Вопрос id:744533 Найдите объём тела, образованного вращением вокруг оси абсцисс фигуры, ограниченной линиями, ?) ?) ?) ?) Вопрос id:744536 Найти определенный интеграл .?) ?) 2 ?) ?) Вопрос id:744538 Ненулевая функция равен…?) ![]() ?) 0 ?) ![]() ?) ![]() Вопрос id:744539 Несобственный интеграл равен?) ?) 0 ?) ?) Вопрос id:744540 Объем тела, образованного вращением вокруг оси OX фигуры, ограниченной линиями ?) 1/2 ?) ?) ?) 1 Вопрос id:744541 Определенный интеграл равен…?) 8 ?) 1 ?) - 1 ?) 0 Вопрос id:744542 Определенным интегралом называется предел?)
?)
?)
?)
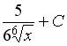
Вопрос id:744543 Первообразной функции ?) ?) ?) ?) Вопрос id:744544 Первообразными функции ?) ?) ?) ?) Вопрос id:744545 Площадь фигуры, ограниченной линиями ?) ![]() ?) ![]() ?) ![]() ?) ![]() Вопрос id:744546 Случайные события А и В, удовлетворяющие условиям ?) совместными и независимыми ?) несовместными и зависимыми ?) несовместными и независимыми ?) совместными и зависимыми Вопрос id:744547 Теорема о среднем значении: Если функция f (x) непрерывна на отрезке [a,b], то существует ___ ξ такая, что .Вопрос id:744550 Установите соответствие между заштрихованными фигурами и определенными интегралами, которые выражают площади этих фигур.
Вопрос id:744551 Установите соответствие между интегралами и их значениями
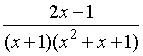
Вопрос id:744552 Установите соответствие между неопределенными интегралами и разложениями подынтегральных функций на элементарные дроби.
Вопрос id:744553 (Завершите определение, вставив два слова): Скалярное или векторное поле, не зависящее от времени, называется___ Вопрос id:744554 (Завершите определение, вставив два слова): Часть пространства (или всё пространство), каждой точке которого ставится в соответствие значение функции u=f(x,y,z), называется ___ Вопрос id:744555 Градиент функции ?) ?) 0 ?) 3 ?) Вопрос id:744556 ?) ?) ?) вся плоскость ?) вся плоскость, кроме точки Вопрос id:744557 (Завершите определение, вставив два слова): Часть пространства (или всё пространство), каждой точке которого ставится в соответствие значение векторной функции называется ___ Вопрос id:744558 Область определения функции z=arcsin ?) ?) совокупность точек плоскости XoY, удовлетворяющих условиям ?) ?) Вопрос id:744559 Областью определения функции является множество ?) ?) ?) вся плоскость Oxy ?) Вопрос id:744560 Областью определения функции является множество ?) ?) ?) вся плоскость Oxy кроме точки О(0,0) и точек окружности x2+y2=1 ?) вся плоскость Оху Вопрос id:744561 Областью определения функции z= является множество ?) ?) внутренность эллипса с центром в точке О(0,0) и полуосями a=1, b=3 ?) ?) Вопрос id:744562 Производная в точке P0(1,1) равна ?) –1 ?) не существует ?) 0 ?) 1 Вопрос id:744563 Производная по направлению вектора, перендикулярного к градиенту, равна ___( укажите значение) Вопрос id:744564 Расставить пределы интегрирования в двойном интеграле
?) ![]() ?) ![]() ?) ![]() ?) ![]() Вопрос id:744565 Расставить пределы интегрирования в двойном интеграле
?) dy?) dx?) dy?) dxВопрос id:744566 Стационарная точка функции z=xy(9–x–y) (x>0, y>0) есть ___ (указать координаты точки) Вопрос id:744567 Уравнение касательной плоскости к поверхности
?) 3x+4y–6z+4=0 ?) 3x+4y–6z=0 ?) ?) 9x+16y–18z+5=0 Вопрос id:744568 Уравнение нормали к поверхности в точке (4,3,4) имеет вид ?) ?) 3(x–4)+4(y–3)–6(z–4)=0 ?) ?) нельзя провести нормаль Вопрос id:744569 Частная производная равна ?) 1 ?) 2 ?) 3 ?) 0 Вопрос id:744571 Градиент направлен по ___( вставьте слово) к линии уровня u(x,y) =с , лежащей в плоскости xOy и проходящей через соответствующую точку. |













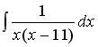
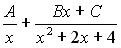
можно представить в виде суммы простейших дробей



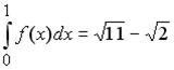
и
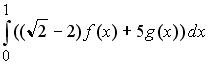
то интеграл
равен …
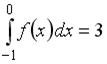
,
, то интеграл
равен …
,
, то интеграл
равен …
,
, то интеграл
равен …
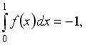
,
, то интеграл
равен …
,
, то интеграл
равен …
и
то интеграл
равен …
и
то интеграл
равен …
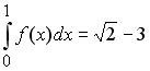
и
то интеграл
равен …
.
равен…


равен
равен…
называется предел
, где
, где 



.

















неявной функции (x2+y2)3–3(x2+y2)+1=0



dy
dx
dy
dx