Тесты онлайн, бесплатный конструктор тестов. Психологические тестирования, тесты на проверку знаний.
Список вопросов базы знанийМатематический анализ (курс 3)
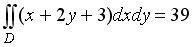
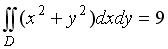
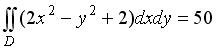
Вопрос id:745185 Расстояние от f(x) до g(x) в пространстве С[a,b] определяется по формуле: r(f(x),g(x)) = Вопрос id:745186 Расстоянием между множествами ?) ?) ?) ?) Вопрос id:745187 Расстоянием от точки ?) ?) ?) ?) Вопрос id:745188 Система векторов евклидова или унитарного пространства Вопрос id:745189 Система векторов евклидова, или унитарного, пространства ?) все ?) A) ?) D) ?) B) ?) С) Вопрос id:745190 Скалярное произведение любых двух векторов ортогональной системы векторов равно ___ (укажите целое число) Вопрос id:745191 Скалярное произведение функций f(x) и g(x) в пространстве f(x)×g(x)dx. Тогда скалярное произведение элементов Вопрос id:745192 Скалярное произведение функций f(x) и g(x) в пространстве f(x)×g(x)dx.Тогда скалярное произведение элементов sinх и cosx в пространстве Вопрос id:745193 Спектр совпадает с множеством ___(каких?) чисел (заполните пробел словом) Вопрос id:745194 Теорема ___: Семейство Вопрос id:745196 Точка х ⊂ А называется предельной для подмножества В Í А, если любая e-окрестность точки х содержит точку множества В, отличную от точки х. Установите соответствие между числовыми множествами и множествами предельных точек
Вопрос id:745197 Укажите возможные связки в теореме. Пусть оператор ?) A) ?) А) и С) ?) С) и D) ?) В) и D) Вопрос id:745198 Укажите предложения, относящиеся к функции Грина задачи Штурма-Лиувилля ?) эта функция отвечает собственному значению задачи Штурма -Лиувилля ?) эта функция определяет интегральный оператор Фредгольма, являющийся обратным к оператору Штурма-Лиувилля ?) эта функция является ядром интегрального оператора Фредгольма ?) эта функция существует и единственна тогда и только тогда, когда соответствующая однородная задача имеет только нулевое решение Вопрос id:745199 Укажите регулярные числа оператора А в евклидовом пространстве R2 A = ?) (-∞, ?) (-∞,-1) ∪ (-1,- ?) (-∞,1) ∪ (1,6) ∪ (6,+ ∞) ?) (-∞,-6) ∪ (-6,-1) ∪ (-1,+ ∞) Вопрос id:745200 Укажите регулярные числа оператора А в евклидовом пространстве R2 A = ?) (-∞,-4) ∪ (-4,9) ∪ (9,+ ∞) ?) (-∞;0,25) ∪ (- 0,25; ?) (-∞,9) ∪ (-9,4) ∪ (4,+ ∞) ?) (-∞;- Вопрос id:745201 Укажите регулярные числа оператора А в евклидовом пространстве R2 A = ?) (-∞;-0,1) ∪ (-0,1; ?) (-∞,-3) ∪ (-3,10) ∪ (10,+ ∞) ?) (-∞,-10) ∪ (-10,3) ∪ (3,+ ∞) ?) (-∞;- Вопрос id:745202 Укажите регулярные числа оператора А в евклидовом пространстве R2 A = ?) (-∞;-0,5) ∪ (-0,5; - ?) (-∞;2) ∪ (2;7) ∪ (7;+ ∞) ?) (-∞; ?) (-∞;-7) ∪ (-7;-2) ∪ (-2;+ ∞) Вопрос id:745203 Укажите регулярные числа оператора А в евклидовом пространстве R2 A= ?) (-∞;3) ∪ (3;7) ∪ (7;+ ∞) ?) (-∞;-7) ∪ (-7;-3) ∪ (-3;+ ∞) ?) (-∞; ?) (-∞;- Вопрос id:745204 Укажите решение интегрального уравнения в пространстве непрерывных функций ![]() ?) ?) ?) ?) Вопрос id:745205 Укажите соответствие между интегральным уравнением и его видом
Вопрос id:745206 Укажите соответствие между интегральным уравнением и его видом
Вопрос id:745207 Укажите соответствие между интегральным уравнением и его видом
Вопрос id:745208 Укажите спектр линейного оператора А в евклидовом пространстве R2 A = ?) {-0,25; ?) {- ?) {-9;4} ?) {-4;9} Вопрос id:745209 Укажите спектр линейного оператора А в евклидовом пространстве R2 A = ?) { ?) {-6;-1} ?) {1;6} ?) {-1;- Вопрос id:745210 Укажите спектр линейного оператора А в евклидовом пространстве R2 A = ?) {-0,1; ?) {-3;10} ?) {-10;3} ?) {- Вопрос id:745211 Укажите спектр линейного оператора А в евклидовом пространстве R2 A = ?) {-0,5; ?) { ?) {2;7} ?) {-7;-2} Вопрос id:745212 Укажите спектр линейного оператора А в евклидовом пространстве R2 A= ?) {3;7} ?) {-7;-3} ?) {- ?) { Вопрос id:745213 Укажите условия, определяющие собственный вектор ?) такой вектор ?) такой ненулевой вектор ?) вектор, являющийся корнем уравнения ?) такой ненулевой вектор Вопрос id:745214 Укажите, какие условия выполняются для интегрального оператора Фредгольма с ядром ?) он непрерывен ?) он вполне непрерывен ?) он неограничен ?) его норма не превосходит Вопрос id:745215 Укажите, какие условия определяют линейность оператора ?) каждое из B),С) и D) ?) одновременно A), B) и С) ?) только A) и D) ?) все Вопрос id:745216 Уравнение (2t2 - sins)x(s)ds = tgt является интегральным уравнением Вольтера ___ (какого?) рода (укажите порядок словом)Вопрос id:745217 Уравнение ![]() Вопрос id:745218 Уравнение x(t) - ![]() Вопрос id:745221 Установите соответствие между названием пространства и его обозначением
Вопрос id:745222 Установите соответствие между названием пространства и равенством, определяющем в нем норму
Вопрос id:745223 Установите соответствие между неравенством и его названием
Вопрос id:745224 Функция, сопоставляющая каждой паре векторов ?) метрикой на множестве ?) скалярным произведением на ?) эрмитовым скалярным произведением на комплексном линейном пространстве ?) нормой на множестве Вопрос id:745225 Функция, сопоставляющая каждой паре элементов Вопрос id:745226 Функция, сопоставляющая каждому элементу Вопрос id:745227 Целью процесса ортогонализации Грамма-Шмидта является построение ?) ортогонального базиса пространства ?) системы векторов с единичным модулем ?) системы векторов, скалярное произведение любых двух векторов которой, равно нулю ?) системы линейно-независимых векторов Вопрос id:745228 Косинус угла между элементами f(x) и g(x) в пространстве L2 [a,b] определяется по формуле: cos(f(x),g(x)) = ?) ?) ?) Вопрос id:745229 Если Вопрос id:745230 Если Вопрос id:745231 Если Вопрос id:745232 Если Вопрос id:745233 Если j(х) является отображением отрезка [a,b] в себя и имеет непрерывную производную j'(х) на отрезке [a,b], то коэффициент сжатия оценивается по формуле q = ?) 0,6 ?) 0,8 ?) –0,8 ?) 0,16 Вопрос id:745234 Если j(х) является отображением отрезка [a,b] в себя и имеет непрерывную производную j'(х) на отрезке [a,b], то коэффициент сжатия оценивается по формуле q = ?) 0,5 ?) –0,75 ?) 0,48 ?) 0,75 Вопрос id:745235 Если j(х) является отображением отрезка [a,b] в себя и имеет непрерывную производную j'(х) на отрезке [a,b], то коэффициент сжатия оценивается по формуле q = ?) ?) ?) – ?) Вопрос id:745236 Замыканием ?) ?) ?) ?) Вопрос id:745237 Известно, что расстояние от точки . Если ?) 1-cos1 ?) sin1/2 ?) ?) 1 |
Copyright tests.ithead.ru 2013-2026
f(x)×g(x)dx. Тогда скалярное произведение элементов
f(x)×g(x)dx.Тогда скалярное произведение элементов sinх и cosx в пространстве 
, 

(2t2 - sins)x(s)ds = tgt является интегральным уравнением Вольтера ___ (какого?) рода (укажите порядок словом)



. Тогда косинус угла между элементами x2 и x3 в пространстве L2 [0,2] равен
. Если