Тесты онлайн, бесплатный конструктор тестов. Психологические тестирования, тесты на проверку знаний.
Список вопросов базы знанийМатематический анализ (курс 3)
Вопрос id:744812 Семейству линий сопоставьте огибающую
Вопрос id:744813 Теорема существования и единственности решения задачи Коши для дифференциального уравнения ?) ?) ?) ?) Вопрос id:744814 Теорема существования и единственности решения задачи Коши для дифференциального уравнения ?) {x > -1, -∞ < t < +∞} ?) {t > -1, -∞ < x < +∞} ?) {-∞ < t, x < +∞} ?) {0<t<+∞,-∞<x<+∞} Вопрос id:744815 Укажите верные для уравнений Клеро и Лагранжа утверждения ?) уравнения Клеро и Лагранжа решаются методом замены переменного ?) уравнения Клеро являются частным случаем уравнений Лагранжа ?) уравнения Клеро и Лагранжа решаются методом введения параметра ?) уравнения Лагранжа являются частным случаем уравнений Клеро Вопрос id:744817 Укажите соответствия между дифференциальными уравнениями и их характеристическими уравнениями
Вопрос id:744818 Укажите соответствия между дифференциальными уравнениями и их частными решениями
Вопрос id:744819 Укажите соответствия между дифференциальными уравнениями и корнями их характеристических уравнений
Вопрос id:744820 Укажите соответствия между функциями и дифференциальными уравнениями
Вопрос id:744821 Укажите соответствия между функциями и дифференциальными уравнениями
Вопрос id:744822 Укажите утверждения верные для дифференциального уравнения Лагранжа ?) уравнение решается методом введения параметра ?) уравнение имеет вид ?) уравнение имеет вид ?) уравнение решается методом замены переменного Вопрос id:744823 Укажите утверждения, верные для дифференциального уравнения Клеро ?) уравнение имеет вид ?) уравнение имеет вид ?) уравнение решается методом замены переменного ?) уравнение решается методом введения параметра Вопрос id:744824 Установить зависимость вида общего решения дифференциального уравнения от корней соответствующего характеристического уравнения
Вопрос id:744825 Установить соответствие между дифференциальным уравнением и его видом
Вопрос id:744826 Установить соответствие между дифференциальным уравнением и его видом
Вопрос id:744827 Установить соответствие между дифференциальным уравнением и его видом
Вопрос id:744828 Установить соответствие между дифференциальным уравнением и его видом
Вопрос id:744829 Установить соответствие между дифференциальным уравнением и его видом
Вопрос id:744830 Установить соответствие между дифференциальным уравнением и его видом
Вопрос id:744831 Установить соответствие между дифференциальным уравнением и его видом
Вопрос id:744832 Установить соответствие между дифференциальным уравнением и его видом
Вопрос id:744833 Установить соответствие между дифференциальным уравнением и его видом
Вопрос id:744834 Установить соответствие между дифференциальным уравнением и его видом
Вопрос id:744835 Установить соответствие между дифференциальными уравнениями первого порядка и их названием
Вопрос id:744836 Установить соответствие между линейным однородным дифференциальным уравнением и видом его общего решения
Вопрос id:744837 Установить соответствие между линейным однородным дифференциальным уравнением и видом общего решения этого уравнения
Вопрос id:744838 Установить соответствие между линейным однородным дифференциальным уравнением и его характеристическим многочленом
Вопрос id:744840 Установить соответствие между характеристическим многочленом и линейным однородным дифференциальным уравнением
Вопрос id:744841 Характеристическое уравнение дифференциального уравнения ?) ?) ?) ?) Вопрос id:744842 Характеристическое уравнение дифференциального уравнения ?) ?) ?) ?) Вопрос id:744843 Характеристическое уравнение дифференциального уравнения ?) ?) ?) ?) ?) Вопрос id:744844 Частное решение дифференциального уравнения ?) 2 ?) ?) ?) 2 Вопрос id:744845 Частное решение линейного неоднородного дифференциального уравнения второго порядка y´´+4y=ex имеет вид ?) 1 ?) Aex ?) ex ?) e2x+A Вопрос id:744846 Частное решение уравнения ?) ?) ?) ?) Вопрос id:744847 Дано дифференциальное уравнение Тогда его решением является функция…?) ?) ?) ?) ![]() Вопрос id:744848 Дифференциальное уравнение ?) является дифференциальным уравнением второго порядка ?) его решение ?) его частное решение при ?) его частное решение при ?) является линейным уравнением с постоянными коэффициентами ?) его решение Вопрос id:744849 Интегральная кривая дифференциального уравнения первого порядка ?) ?) ?) ?) Вопрос id:744852 Рассмотрим уравнение ?) это уравнение с разделенными переменными ?) это уравнение с разделяющимися переменными ?) его интегральная кривая – семейство концентрических окружностей с центром в начале координат и радиусом С ?) его общий интеграл - Вопрос id:744853 Рассмотрим уравнение ?) это уравнение с разделяющимися переменными ?) его общий интеграл - ?) его интегральная кривая – семейство окружностей ?) его интегральная кривая – семейство гипербол Вопрос id:744854 Рассмотрим уравнение ?) это однородное уравнение первого порядка ?) это уравнение с разделяющимися переменными ?) это однородное уравнение второго порядка ?) его решение - Вопрос id:744855 Семейству линий сопоставьте огибающую
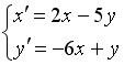
Вопрос id:744856 Система дифференциальных уравнений может быть сведена к уравнению вида…?) ?) ?) ?) Вопрос id:744857 Теорема существования и единственности решения задачи Коши для дифференциального уравнения ?) {t > -1, -∞ < x < +∞} ?) {-∞ < t, x < +∞} ?) {x > -1, -∞ < t < +∞} ?) Вопрос id:744859 Укажите соответствия между дифференциальными уравнениями и их характеристическими уравнениями
Вопрос id:744862 Укажите соответствия между функциями и дифференциальными уравнениями
Вопрос id:744863 Уравнение ?) линейным неоднородным дифференциальным уравнением 1 порядка ?) однородным дифференциальным уравнением ?) уравнением Бернулли ?) уравнением с разделяющимися переменными Вопрос id:744864 Уравнение ?) однородным дифференциальным уравнением ?) уравнением Бернулли ?) уравнением с разделяющимися переменными ?) линейным неоднородным дифференциальным уравнением 1 порядка Вопрос id:744865 Установить зависимость вида общего решения дифференциального уравнения от корней соответствующего характеристического уравнения
Вопрос id:744866 Установить соответствие между дифференциальным уравнением и его видом
Вопрос id:744867 Установить соответствие между дифференциальным уравнением и его видом
Вопрос id:744868 Установить соответствие между дифференциальными уравнениями первого порядка и их названием
|
Copyright tests.ithead.ru 2013-2026

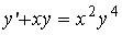
Тогда его решением является функция…
может быть сведена к уравнению вида…