Тесты онлайн, бесплатный конструктор тестов. Психологические тестирования, тесты на проверку знаний.
Список вопросов базы знанийМатематический анализ (курс 3)
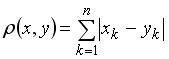
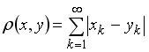
Вопрос id:745238 Косинус угла между элементами f(x) и g(x) в пространстве L2 [a,b] определяется по формуле: cos(f(x),g(x)) = f(x)×g(x)dx ; . Тогда косинус угла между элементами x4 и 1 в пространстве L2 [0,2] равен?) –0,5 ?) 0,8 ?) 0,6 ?) –0,1 Вопрос id:745239 Косинус угла между элементами f(x) и g(x) в пространстве L2 [a,b] определяется по формуле: cos(f(x),g(x)) = . Тогда косинус угла между элементами x и x3 в пространстве L2 [0,3] равен?) ?) – ?) ?) – Вопрос id:745240 Мера плоского множества, изображенного на рисунке, ![]() равна… ?) 15 ?) 10 ?) 14 ?) 12 Вопрос id:745241 Мера плоского множества, изображенного на рисунке, ![]() равна… ?) 8 ?) 10 ?) 6 ?) 9 Вопрос id:745242 Многочлены Лежандра: Р0 = 1, Р1(х) = х, Р2 = f(x) = 3x2 +5x +1 по многочленам Лежандра имеет вид ?) f(x) = 2P0 + 5P1 + 2P2 ?) f(x) = P0 + 3P1 + 5P2 ?) f(x) = 5P0 + 2P1 + 5P2 ?) f(x) = 3P0 + 5P1 + P2 Вопрос id:745243 Многочлены Лежандра: Р0 = 1, Р1(х) = х, Р2 = f(x) = 6x2 +4x +2 по многочленам Лежандра имеет вид ?) f(x) = 6P0 + 4P1 + 2P2 ?) f(x) = 2P0 + 4P1 + 6P2 ?) f(x) = 4P0 + 4P1 + 4P2 ?) f(x) = 4P0 + 4P2 Вопрос id:745244 Многочлены Лежандра: Р0 = 1, Р1(х) = х, Р2 = ?) f(x) = -3P0 + 4P2 ?) f(x) = 4P0 - 3P2 ?) f(x) = 2P0 - 3P2 ?) f(x) = 3P0 - 2P2 Вопрос id:745245 Многочлены Лежандра: Р0 = 1, Р1(х) = х, Р2 = ?) f(x) = 4P0 + 2P2 ?) f(x) = -2P0 +4P2 ?) f(x) = -4P0 - 4P2 ?) f(x) = 2P0 - 4P2 Вопрос id:745246 Многочлены Лежандра: Р0 = 1, Р1(х) = х, Р2 = ?) f(x) = 3P0 + 2P1 ?) f(x) = 2P0 + 3P2 ?) f(x) = P0 + 2P1 + P2 ?) f(x) = P0 -P1 + 2P2 Вопрос id:745247 На координатной плоскости Oxy даны два прямоугольника: Вопрос id:745248 Образом отрезка ?) [1; 85] ?) (7; 85) ?) [9; 81] ?) (1; 85) Вопрос id:745249 Образом отрезка ?) [– 17; 1] ?) (– 17; 1) ?) (1; 15) ?) [6; 24] Вопрос id:745250 Образом отрезка ?) (10; 87) ?) [– 12; 87] ?) [33; 132] ?) (– 12; 87) Вопрос id:745251 Образом отрезка ?) (0; 18) ?) (8; 18) ?) [8; 18] ?) [0; 15] Вопрос id:745252 Образом отрезка ?) (18; 56) ?) [– 14; 56] ?) [24; 54] ?) (– 14; 56) Вопрос id:745253 Пусть ?) если ?) объединение конечного числа замкнутых множеств ?) объединение открытого множества и произвольного множества ?) пересечение любого числа замкнутых множеств Вопрос id:745254 Пусть ?) ![]() ?) ,?) ?) Вопрос id:745257 Скалярное произведение функций f(x) и g(x) в пространстве L2 [a,b] определяется по формуле: (f(x),g(x)) = f(x)×g(x)dx. Тогда скалярное произведение элементов 2х и ?) 4е2 ?) е2 – 1 ?) е4 – 1 ?) 4е4 Вопрос id:745258 Среди функций, определенных на множестве Rn упорядоченных групп из n действительных чисел ?) ?) ?) ![]() ?) ![]() Вопрос id:745259 Среди функций, определенных на множестве , указать ту, которая не удовлетворяет аксиоме тождественности: ?) ![]() ?) ![]() ?) ?) ![]() Вопрос id:745260 Среди функций, определенных на множестве ?) ?) ![]() ?) ?) Вопрос id:745261 Укажите верные утверждения. ?) Формула ?) имеющие минимальную равномерную норму, среди многочленов вида ?) Чебышева ?) наилучшего приближения функций, непрерывных на отрезке Вопрос id:745262 Укажите возможные связки в теореме. Подмножество A) тогда и только тогда, когда …; B) при необходимом и достаточном условии, что… ?) В) и С) ?) С) ?) А) или С) ?) A) или B) ?) С) если Вопрос id:745264 Укажите решение интегрального уравнения в пространстве непрерывных функций ?) ?) ?) ?) ?) ![]() Вопрос id:745266 Если члены функционального ряда
Вопрос id:745267 Пусть члены ряда
Укажите какие выводы верны: ?) ?) если сходится несобственный интеграл ?) если ?) функция Вопрос id:745268 Рассматривается периодическая функция
Укажите верные утверждения: ?) в точках x= ± π сумма ряда данной функции равна нулю ?) ее ряд Фурье содержит только косинусы ?) ее ряд Фурье содержит только синусы ?) в точках x= ± π сумма ряда данной функции равна единице Вопрос id:745269 Рассматривается периодическая функция
Укажите верные утверждения ?) точка ?) в нуле сумма ряда данной функции равна нулю ?) ее ряд Фурье содержит только косинусы ?) ее ряд Фурье содержит только синусы Вопрос id:745270 Функция f(x) при xε [-π,π] и ее периодическое продолжение заданы на рисунке
Тогда ряд Фурье для этой функции имеет вид ?) ?) ?) ?) Вопрос id:745271 В точке ?) ?) ?) ?) f(2π + 0)=0 Вопрос id:745272 Вид ряда Фурье периодической функции f(x) зависит ?) от интервала периодичности f(x) ?) от ее четности или нечетности f(x) ?) от монотонности f(x) ?) от дифференцируемости f(x) Вопрос id:745274 Гармоническим рядом называется ряд ?) 1+1+ … +1+ … ?) ?) ![]() ?) 1+ Вопрос id:745275 Геометрические ряды ?) первый – сходится, второй – расходится ?) оба расходятся ?) оба сходятся ?) первый – расходится, второй – сходится Вопрос id:745276 Геометрический ряд Вопрос id:745277 Даны два расходящихся числовых ряда ?) ряд А) расходятся при любых n и ряд В) сходится ?) если ?) ряд А) сходятся при любых n и ряд В) расходится ?) ряд В) всегда расходится Вопрос id:745278 Для разложения функции f(x) в степенной ряд используются приемы ?) сложение рядов ?) дифференцирование степенных рядов ?) вычитание рядов ?) логарифмирование степенных рядов Вопрос id:745279 Для разложения функции f(x) в степенной ряд используются приемы ?) умножение ряда на число ?) сравнение с соответствующим числовым рядом ?) интегрирование степенных рядов ?) дифференцирование степенных рядов Вопрос id:745280 Для разложения функции f(x) в степенной ряд используются приемы ?) используется умножение ряда на функцию ?) используются табличные разложения ?) используется замена функции f(x) соответствующим функциональным рядом ?) функция f(x) непосредственно разлагается в ряд Вопрос id:745281 Для ряда ?) сходится при р > 1 ?) расходится при р ≤ 1 ?) сходится при р ≤ 1 ?) сходится при р=1 Вопрос id:745282 Если f(x)~ Вопрос id:745283 Если в интервале периодичности функция f(x) определяется разными формулами, то для нее ___ ряд Фурье. Заполните пробел в утверждении (глаголом) Вопрос id:745284 Если в ряду Вопрос id:745285 Если какая-либо функция разлагается в ___(какой?) ряд, то он является ее рядом Тейлора. Заполните пробел в формулировке утверждения Вопрос id:745286 Если некоторый ряд сходится условно, то ?) предел общего члена равен нулю ?) это законочередующийся ряд ?) его члены монотонно убывают по абсолютной величине ?) его члены монотонно убывают Вопрос id:745287 Если общий член ряда содержит ___ (какую?) функцию, то обычно применяют признак Даламбера Вопрос id:745288 Если общий член ряда содержит факториал n!, то обычно применяют признак___(укажите имя автора признака) Вопрос id:745289 Если периодическая функция f(x) разлагается в ряд Фурье, то на всей числовой оси он сходится: к ?) к сумме односторонних пределов в точках разрыва ?) к полусумме односторонних пределов в точках разрыва ?) к значению функции в точках непрерывности ?) к полусумме значений в концах интервала периодичности Вопрос id:745290 Если предел общего члена ряда не равен нулю, то ряд ___ (укажите как ведет себя этот ряд) Вопрос id:745291 Если ряд ?) расходится при четных n и сходится при нечетных n ?) сходится при четных n и расходится при нечетных n ?) расходится при любых n ?) сходится при любых n Вопрос id:745292 Если система ненулевых функций , то эта система называется ___ на промежутке [a,b]. Внесите определяемое понятие |
Copyright tests.ithead.ru 2013-2026
f(x)×g(x)dx ;
. Тогда косинус угла между элементами x4 и 1 в пространстве L2 [0,2] равен
. Тогда косинус угла между элементами x и x3 в пространстве L2 [0,3] равен


,
f(x)×g(x)dx. Тогда скалярное произведение элементов 2х и 

, указать ту, которая не удовлетворяет аксиоме тождественности: 






, то эта система называется ___ на промежутке [a,b]. Внесите определяемое понятие