Тесты онлайн, бесплатный конструктор тестов. Психологические тестирования, тесты на проверку знаний.
Список вопросов базы знанийМатематический анализ (курс 3)
Вопрос id:744870 Установить соответствие между линейными однородными дифференциальными уравнением и его общим решением
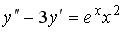
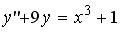
Вопрос id:744871 Частное решение линейного неоднородного дифференциального уравнения второго порядка ?) ?) ?) ?) Вопрос id:744872 Частному решению дифференциального уравнения ?) ?) ?) ?) Вопрос id:744873 На рисунке представлена геометрическая иллюстрация комплексного числа
?) ?) ?) ?) Вопрос id:744874 В комплексной области множество Вопрос id:744875 Взаимно-однозначное отображение расширенной комплексной плоскости ?) логарифмическая ?) линейная ?) дробно-линейная ?) степенная Вопрос id:744877 Вычислить различные степени комплексного числа i
Вопрос id:744878 Геометрический смысл производной функции комплексного переменного заключается в следующем ?) модуль производной равен коэффициенту растяжения в точке z0 при отображении w=f(z) ?) аргумент производной равен углу между радиус-вектором точки z0 и осью х-ов ?) аргумент производной равен углу поворота касательной в точке z0 к любой кривой, проходящей через эту точку, чтобы получить направление касательной в точке w0 к образу данной кривой при отображении w=f(z) ?) модуль производной равен длине радиус-вектора в точке z0 Вопрос id:744879 Действительная часть комплексного числа ?) 1 ?) –1 ?) 2 ?) 0 Вопрос id:744880 Действительная часть комплексного числа ?) 0 ?) –1 ?) 2 ?) 3 Вопрос id:744881 Для заданных функций комплексного переменного указать их производные
Вопрос id:744882 Для каждого корня из комплексного числа укажите результат его вычисления
Вопрос id:744883 Для каждого предела укажите результат его вычисления
Вопрос id:744887 Для функций комплексного переменного существуют следующие типы функций ?) когеррентные ?) эллиптические ?) гиперболические ?) тригонометрические Вопрос id:744888 Если ?) ?) ?) ?) Вопрос id:744889 Если ?) 8+i ?) 2+i ?) 4+4i ?) 8+4i Вопрос id:744890 Если ?) 1-i ?) 3-i ?) 3+3i ?) 2-3i Вопрос id:744891 Если ?) ?) ?) ?) 9 Вопрос id:744892 Если ?) 1+2i ?) 2+2i ?) 2+i ?) 4+i Вопрос id:744893 Задана функция комплексного переменного ?) функция ?) модуль производной должен быть равен 0 ?) выполняется условие ?) модуль производной должен быть больше единицы Вопрос id:744894 Значение функции ?) 3+2i ?) 3i ?) 2i ?) 2+3i Вопрос id:744895 Значение функции ?) 3+2i ?) 1-i ?) 2i ?) 1+i Вопрос id:744896 Значение функции ?) ?) i ?) 1 ?) 2i Вопрос id:744897 Из двух множеств: а) ?) только b) ?) ни а), ни b) ?) а) и b) ?) только а) Вопрос id:744898 Интеграл ?) ?) ?) ?) Вопрос id:744899 Интеграл Вопрос id:744900 Количество различных значений Вопрос id:744901 Комплексное число можно представить в следующих формах ?) степенная ?) алгебраическая ?) интегральная ?) тригонометрическая Вопрос id:744902 Мнимая часть комплексного числа ?) –1 ?) 1 ?) 2 ?) 0 Вопрос id:744903 Мнимая часть комплексного числа ?) 3 ?) 0 ?) 6 ?) –1 Вопрос id:744904 Модуль числа Вопрос id:744905 Модуль числа Вопрос id:744906 Найти произведение комплексных чисел в тригонометрической форме и указать соответствие между числами и их произведениями
Вопрос id:744907 Найти произведение комплексных чисел и указать соответствие между числами и их произведениями
Вопрос id:744908 Найти разность комплексных чисел и указать соответствие между числами и их разностью
Вопрос id:744909 Найти соответствие между алгебраическими формами комплексных чисел и их модулями
Вопрос id:744910 Найти соответствие между алгебраическими формами комплексных чисел и их модулями и аргументами
Вопрос id:744911 Найти соответствие между алгебраическими формами комплексных чисел и их модулями и главными значениями аргументов
Вопрос id:744912 Найти соответствие между алгебраическими формами комплексных чисел и их показательной формой записи
Вопрос id:744913 Найти соответствие между алгебраическими формами комплексных чисел и их тригонометрической формой
Вопрос id:744914 Найти соответствие между показательной формой записи комплексных чисел и их алгебраической формой записи
Вопрос id:744915 Найти сумму комплексных чисел и указать соответствие между числами и их суммами
Вопрос id:744916 Найти частное комплексных чисел в алгебраической форме и указать соответствие между числами и их частным
Вопрос id:744917 Найти частное комплексных чисел в тригонометрической форме и указать соответствие между числами и их частными
Вопрос id:744918 Отображение является конформным отображением в точке z0, если выполняются следующие условия ?) при отображении сохраняются углы между любыми двумя кривыми в точке z0 ?) при отображении сохраняются расстояния от любых двух точек до начала координат ?) растяжение в точке z0 зависит от аргумента функции ?) растяжение в точке z0 не зависит от направления Вопрос id:744919 При делении числа
Вопрос id:744920 При делении числа ?) модуль частного равен частному модулей чисел ?) аргумент частного равен сумме аргументов ?) аргумент частного равен разности аргументов чисел ?) модуль частного равен произведению модулей чисел Вопрос id:744921 При умножении числа ?) аргументы этих чисел перемножаются ?) аргументы этих чисел складываются ?) модули этих чисел складываются ?) модули этих чисел перемножаются Вопрос id:744922 При умножении числа
Вопрос id:744923 Степень равна ___ (ответ – целое число) |
Copyright tests.ithead.ru 2013-2026
, тогда тригонометрическая форма записи этого числа имеет вид







равна ___ (ответ – целое число)