Тесты онлайн, бесплатный конструктор тестов. Психологические тестирования, тесты на проверку знаний.
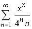
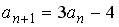
Список вопросов базы знанийМатематический анализ (курс 7)Вопрос id:752768 Коэффициент при х2 ряда Тейлора в окрестности точки х0 для функции f(x) равен ?) ?) f(x0) ?) ?) 0 Вопрос id:752769 Коэффициент при х3 ряда Маклорена функции f(x) равен ?) ?) ?) ?) 1 Вопрос id:752770 Коэффициент при х3 ряда Маклорена функции у = е-х равен ?) ?) 1 ?) ?) Вопрос id:752771 Коэффициент при х3 ряда Маклорена функции у = е2х равен ?) ?) ?) ?) 1 Вопрос id:752772 Коэффициент при х3 ряда Тейлора в окрестности точки х0 = 1 для функции f(x) равен ?) ?) ?) 1 ?) Вопрос id:752773 Коэффициент при х3 ряда Тейлора в окрестности точки х0 для функции f(x) равен ?) 1 ?) f(x0) ?) f’’(x0) ?) Вопрос id:752774 Коэффициент при х4 ряда Маклорена для функции f(x) равен ?) ?) ?) 1 ?) f(0) Вопрос id:752776 Коэффициент ряда Фурье элемента f(x) = x2 по ортогональной системе 1, coskx, sinkx, k = 1,2,… пространства L2[-p,p] при сosx равен ___(укажите число). Вопрос id:752777 Коэффициент Фурье а1 для функции ?) 1 ?) ∞ ?) –1 ?) 0 Вопрос id:752778 Коэффициент Фурье а3 для функции ?) ∞ ?) 0 ?) –2 ?) 1 Вопрос id:752779 На всей числовой оси ряд Маклорена функции у = cos 3x ?) сходится абсолютно ?) сходится условно ?) сходится ?) расходится Вопрос id:752780 На всей числовой прямой ряды Маклорена для функций А ) у = cos 3x В) у = sin 4x ?) сходится А), В) расходится ?) оба сходятся ?) оба расходятся ?) сходится В), А) расходится Вопрос id:752781 На всей числовой прямой ряды Маклорена для функций А ) у = е3х В) у = е-3х ?) оба расходятся ?) сходится А), В) расходится ?) сходится В), А) расходится ?) оба сходятся Вопрос id:752782 Необходимое условие сходимости ряда состоит в том, что предел ?) общего члена ряда равен нулю ?) общего члена ряда не существует ?) частной суммы ряда равен нулю ?) общего члена ряда равен бесконечности Вопрос id:752783 Нулевой член ряда Маклорена для функции f(x) равен ?) f(0) ?) ?) ?) 0 Вопрос id:752784 Нулевой член ряда Тейлора в окрестности точки х0 для функции f(x) равен ?) ?) f(x0) + ?) f(x0) ?) Вопрос id:752785 Область сходимости степенного ряда имеет вид …?) ?) ?) ?) Вопрос id:752786 Общий член последовательности ?) ![]() ?) ![]() ?) ![]() ?) ![]() Вопрос id:752787 Общий член ряда 1- ?) ?) ?) ?) Вопрос id:752788 Общий член ряда ?) ?) ?) ?) Вопрос id:752789 Ортогональная система функций ?) ![]() ?) ![]() ?) ![]() ?) условие Парсеваля-Стеклова Вопрос id:752790 Отклонение точки от положения равновесия при гармоническом колебании задается формулой ?) эта формула может иметь вид ?) ?) Эта формула определяет синусоидальную функцию. ?) Число Вопрос id:752791 Оценку коэффициентов Фурье любой квадратично интегрируемой функции Вопрос id:752792 Первый отличный от нуля член разложения в ряд Маклорена функции ?) ?) 1 ?) 2x ?) Вопрос id:752793 Первый отличный от нуля член разложения в ряд Маклорена функции ?) 1 ?) 2x ?) x ?) Вопрос id:752794 Первый отличный от нуля член разложения в ряд Маклорена функции ?) ?) 2x ?) 1 ?) x Вопрос id:752795 Первый отличный от нуля член разложения в ряд Тейлора некоторой функции ?) ?) ?) ?) Вопрос id:752796 Первый отличный от нуля член разложения в ряд Тейлора функции ?) ?) -2 ?) 0 ?) 1 Вопрос id:752797 Первый отличный от нуля член разложения в ряд Тейлора функции ?) -1 ?) ?) 1 ?) Вопрос id:752798 По интегральному признаку Коши-Маклорена ряд Вопрос id:752799 По признаку Даламбера ряд Вопрос id:752800 По радикальному признаку Коши ряд Вопрос id:752801 Последовательность задана рекуррентным соотношением ?) 83 ?) 29 ?) 56 ?) 11 Вопрос id:752802 Последовательность, имеющая предел, называется ___ (какой?) последовательностью. (Ответ дайте одним словом) Вопрос id:752803 При исследовании вопроса о сходимости ряда Фурье функции ?) Дирихле ?) Абеля ?) Днни-Липшица ?) Коши Вопрос id:752804 При перестановки членов знакопеременного сходящегося ряда он ( укажите возможные случаи): А) будет сходящимся; В) будет расходящимся ?) только А) ?) возможно А) ?) возможно В) ?) всегда В) Вопрос id:752805 При разложении в ряд Фурье некоторой функции Вопрос id:752806 При разложении функции в ряд Тейлора можно вместо соответствующего остаточного члена исследовать сходимость ряда Тейлора, как обычного___( какого?) ряда. Заполните пробел в формулировке утверждения Вопрос id:752807 Признак Дирихле сходимости ряда Фурье справедлив для периодической функции ?) ограничена ?) кусочно-монотонна ?) может иметь конечное число точек разрыва первого рода ?) может иметь конечное число точек разрыва второго рода. Вопрос id:752808 Признак сходимости Даламбера анализирует отношение Вопрос id:752809 Признак сходимости Дирихле применяется при разложении ?) функции в ряд Фурье в комплексной форме ?) в ряд Фурье периодической функции с произвольным периодом ?) в ряд Фурье функции, для которой не существует ряда Тейлора. ?) функции в тригонометрический ряд Фурье Вопрос id:752810 Пусть ?) расходится при ?) сходится при ?) сходится при ?) сходится при Вопрос id:752811 Пусть . Укажите условие, при котором ряд ?) ?) ?) ?) Вопрос id:752812 Пусть функция ?) , ?) ?) ?) Вопрос id:752813 Пятый член ряда ?) ?) ?) ?) Вопрос id:752814 Пятый член ряда ?) ?) ?) ?) 5 Вопрос id:752815 Пятый член ряда ?) ?) 1 ?) ?) Вопрос id:752816 Радиус сходимости степенного ряда 1 + х + х2 + … + хn + … равен ___( укажите число) Вопрос id:752817 Радиус сходимости степенного ряда Вопрос id:752818 Радиус сходимости степенного ряда равен…?) 1 ?) 1,2 ?) ?) 0 |
Copyright tests.ithead.ru 2013-2026
имеет вид …






. Укажите условие, при котором ряд
,
равен…